Спектрометр миллиметрового диапазона для исследования молекул и слабосвязанных комплексов в сверхзвуковой газовой струе
- Авторы: Тарабукин И.В.1, Панфилов В.А.1, Пойдашев Д.Г.1, Сурин Л.А.1
-
Учреждения:
- Институт спектроскопии РАН
- Выпуск: Том 98, № 6 (2024)
- Страницы: 15-20
- Раздел: ЭКСПЕРИМЕНТАЛЬНАЯ И ТЕОРЕТИЧЕСКАЯ СПЕКТРОСКОПИЯ ГАЗОВОЙ ФАЗЫ
- Статья получена: 28.12.2024
- Статья одобрена: 28.12.2024
- Статья опубликована: 29.12.2024
- URL: https://ogarev-online.ru/0044-4537/article/view/274747
- DOI: https://doi.org/10.31857/S0044453724060037
- EDN: https://elibrary.ru/PYMWVC
- ID: 274747
Цитировать
Полный текст
Аннотация
Представлена конструкция спектрометра миллиметрового диапазона длин волн для исследования вращательных спектров молекул и слабосвязанных молекулярных комплексов в сверхзвуковой газовой струе. Спектрометр использует в качестве источника излучения высокостабильный СВЧ-синтезатор (1–22 ГГц) в сочетании с активными умножителями частоты и охватывает диапазон 50–170 ГГц. Газ истекает из сопла вдоль направления распространения излучения, которое совершает два прохода через вакуумную камеру. Для этого импульсное сопло размещено в центре уголкового отражателя, на который попадает излучение. Поглощение в струе регистрируется детекторными диодами с барьером Шоттки. Предложенная схема соосного распространения излучения и молекулярного пучка обеспечивает лучшую чувствительность и более высокое спектральное разрешение по сравнению с обычно используемой перпендикулярной конфигурацией. Инструментальное разрешение спектрометра составляет 30–40 кГц, а погрешность измерения частоты оценивается в 3–4 кГц. Зарегистрированные спектры редких изотопологов CO и слабосвязанных комплексов Ne–CO демонстрируют возможности нового спектрометра.
Полный текст
Спектрометр миллиметрового диапазона для исследования молекул и слабосвязанных комплексов в сверхзвуковой газовой струе1
ВВЕДЕНИЕ
Сверхзвуковые газовые струи являются эффективным методом охлаждения молекул и создания слабосвязанных комплексов и небольших кластеров для их исследования с помощью спектроскопии высокого разрешения [1]. В настоящее время микроволновые спектры молекулярных комплексов регистрируют преимущественно импульсными микроволновыми фурье-спектрометрами: либо в сочетании с резонатором Фабри–Перо [2], либо с применением более новой их модификации – широкополосными спектрометрами с чирпированными импульсами [3, 4], в которых осуществляется перестройка частоты по диапазону внутри импульса. Наиболее эффективно такие спектрометры работают в сантиметровом диапазоне длин волн до 40 ГГц. Для измерения переходов на более высоких частотах (в диапазоне миллиметровых и субмиллиметровых длин волн) применяются методы прямого поглощения.
Впервые методы прямого поглощения для спектроскопии ван-дер-ваальсовых комплексов были применены Bumgarner и Blake в 1989 г. [5], а затем в 1990 г. Zwart и др. [6]. Обе группы использовали непрерывную молекулярную струю. Следующим шагом стала замена непрерывной струи на импульсную. При этом расход газа значительно уменьшился, а импульсный характер струи позволил внести дополнительную «модуляцию», что несколько повысило чувствительность [7]. Подобно импульсным микроволновым фурье-спектрометрам, использование резонатора позволяет значительно увеличить эффективную длину поглощения и, следовательно, чувствительность и спектрометров прямого поглощения. Один из резонаторных спектрометров, работающих в миллиметровом диапазоне [8, 9], был успешно применен для наблюдений вращательно-разрешенного спектра димеров воды, зарегистрированного в равновесных условиях, близких к атмосферным [10, 11]. Другим примером является спектрометр на базе оротрона, в котором исследуемый газ вводится в резонатор генератора миллиметрового излучения и который обладает чрезвычайно высокой чувствительностью [12]. Сочетание этого внутрирезонаторного спектрометра со сверхзвуковой газовой струей [13] позволило обнаружить и исследовать в миллиметровом диапазоне длин волн целый ряд слабосвязанных ван-дер-ваальсовых комплексов, включая кластеры с гелием и молекулярным водородом [14].
В упомянутых выше спектрометрах прямого поглощения с газовой струей, последняя была ориентирована перпендикулярно направлению распространения излучения. В то же время для импульсных микроволновых фурье-спектрометров было показано, что соосное распространение излучения и молекулярного газа может заметно повысить чувствительность [15]. K. A. Walker и A. R. W. McKellar в 2001 г. воспользовались этим преимуществом и спроектировали спектрометр миллиметрового диапазона таким образом, чтобы молекулярная струя распространялась параллельно излучению [16]. Для этого сопло было вмонтировано в уголковый отражатель, на который фокусировалось излучение от диода Ганна (75–110 ГГц). В данной статье мы описываем новый спектрометр миллиметрового диапазона с похожей конфигурацией, но построенный на элементах современной микроволновой техники, обеспечивающих значительное улучшение в спектральном разрешении и чувствительности. Потенциальные возможности созданного спектрометра продемонстрированы на примере измерений вращательных переходов редких изотопологов CO и слабосвязанного комплекса Ne–CO.
ЭКСПЕРИМЕНТАЛЬНАЯ ЧАСТЬ
Принципиальная схема нового спектрометра со сверхзвуковой струей представлена на рис. 1. Миллиметровое излучение генерируется СВЧ-синтезатором (Rohde&Schwarz SMF100A) с использованием одного из трех активных умножителей частоты (Radiometer Physics AFM) для различных диапазонов: 50–75, 75–110 и 110–170 ГГц. Выходное излучение умножителя направляется из рупора через тефлоновую линзу и проволочно-сетчатый поляризатор в вакуумную камеру. На фланце с противоположной стороны камеры установлен уголковый отражатель, который возвращает излучение обратно. Вершина отражателя повернута на 45° относительно направления оси поляризации падающего излучения, что приводит к повороту направления его поляризации на 90°. После второго прохождения через камеру луч снова попадает на поляризатор, который теперь действует как зеркало и отражает излучение через вторую линзу в работающий при комнатной температуре широкополосный детектор на диоде Шоттки с нулевым смещением (Virginia Diodes). Используются три детектора, соответствующие трем диапазонам частот умножителей.
Рис. 1. Схема спектрометра миллиметрового диапазона со сверхзвуковой струей
Источник молекулярной струи расположен в вакуумной камере из нержавеющей стали диаметром 340 мм, которая откачивается с помощью гибридного турбомолекулярного насоса на магнитном подвесе со скоростью откачки до 3000 л/с (Pfeiffer Vacuum ATH 3204 M) и многоступенчатого насоса Рутса (Pfeiffer Vacuum ACP 40) со скоростью откачки 37 м3/ч. Импульсное сопло (General Valve Series 9, диаметр отверстия 1.0 мм) установлено в центре уголкового отражателя так, что истечение газа из сопла происходит соосно направлению распространения излучения. Такая конфигурация приводит к доплеровскому расщеплению линий в наблюдаемом спектре. Для определения центральной частоты необходимо усреднить значения частот двух компонент. Сопло работает с частотой повторения до 40 Гц с длительностью импульса 300–500 мкс. Для охлаждения молекулярного газа и формирования молекулярных комплексов соответствующая газовая смесь при давлении на входе в сопло 2–5 бар создается с помощью регуляторов потока (MKS Instruments G Series). При работе сопла давление в вакуумной камере составляет менее 1 мТорр.
Для измерения сигнала поглощения используется частотная модуляция СВЧ-синтезатора на частоте 10 кГц. Сигнал с детектора демодулируется синхронным усилителем, работающим на удвоенной частоте модуляции с постоянной времени 200 мкс. Далее сигнал с выхода синхронного усилителя поступает на цифровой осциллограф, выполняющего функцию стробируемого интегратора, который запускается импульсом сопла. Искажения базовой линии минимизируются за счет установки одних ворот интегратора на время открытия сопла, а других незадолго до его открытия, с последующим вычитанием результирующих сигналов. Спектрометр управляется через интерфейс Ethernet/LAN, который обеспечивает связь между компьютером, СВЧ-синтезатором и осциллографом. Для регистрации линии поглощения частота СВЧ-синтезатора изменяется в диапазоне 0.2 МГц, в результате чего на выходе умножителя частоты (×6) за 200 шагов сканируется диапазон 1.2 МГц. Спектр записывается как в направлении вверх по частоте, так и вниз, а результаты усредняются для учета каких-либо возможных систематических ошибок. Частота синтезатора была привязана к внешнему опорному сигналу 10 МГц от рубидиевого стандарта (Ruknar). Погрешность определения центров линий оценивается в 3–4 кГц при соотношении сигнал/шум не менее 10.
ОБСУЖДЕНИЕ РЕЗУЛЬТАТОВ
Чувствительность и разрешающая способность представленного выше спектрометра были проверены путем измерения вращательных переходов J = 1–0 (J – квантовое число вращательного углового момента) редких изотопологов монооксида углерода (СО) с естественным содержанием. Ввиду большой значимости СО как вторичного стандарта, охватывающего диапазон миллиметровых волн вплоть до дальнего инфракрасного диапазона, а также в астрофизических наблюдениях, имеется достаточно большой объем высокоточных спектроскопических данных об этой молекуле и ее изотопологах. Переходы с низкими значениями J изотопологов 12C18O, 13C16O и 13C18O наблюдались с помощью метода спектроскопии насыщения поглощения (провалы Лэмба) с точностью 1 кГц или даже лучше [17–20]. Помимо тестирования нашего спектрометра, представленные здесь результаты дают наиболее точное значение частоты самого нижнего вращательного перехода 13C18O, включая его впервые разрешенную сверхтонкую структуру, обусловленную спином ядра 13C.
На рис. 2 представлена запись перехода J = 1–0 молекулы 12C18O (естественное содержание 0.2%). Линия представляет собой доплеровский дублет, полученный в результате прохождения молекулярного пучка вдоль двух противоположно направленных волн излучения. Сигнал поглощения регистрируется как вторая производная от формы линии поскольку синхронный усилитель принимает сигнал на удвоенной частоте модуляции. Представленный спектр представляет результат сложения двух сканов. Двести точек были получены в диапазоне 1 МГц (всего усреднялось 8 импульсов сопла на точку). Наиболее примечательной особенностью является очень узкая наблюдаемая ширина линии (около 30 кГц на несущей частоте 110 ГГц), что было достигнуто благодаря соосному распространению молекулярной струи и излучения. Для обычной «перпендикулярной» ориентации типичная доплеровская ширина линий на этих частотах составляет около 300–500 кГц в зависимости от газа-носителя. Определенная частота перехода 109782.1775(30) МГц хорошо согласуется с предыдущими высокоточными измерениями [18] (см. табл. 1).
Рис. 2. Вращательный переход J = 1–0 молекулы 12C18O. Линия представляет собой доплеровский дублет, полученный в результате прохождения молекулярного пучка вдоль двух противоположно направленных волн излучения
Таблица 1. Наблюдаемые переходы J = 1–0 изотопологов 12C18O, 13C16O, 13C18O
F' – F" | Данная работа, МГц | Ранее измеренные, МГц | Разность, кГц | |
12C18O | 109782.1775(30) | 109782.17569(40)a | 1.8 | |
13C16O | 0.5–0.5 | 110201.3190(30) | 110201.3233(10)b | –4.3 |
1.5–0.5 | 110201.3725(30) | 110201.3697(10)b | 3.3 | |
13C18O | 0.5–0.5 | 104711.3565(40) | 104711.3624c | –5.9 |
1.5–0.5 | 104711.4135(40) | 104711.4128c | 0.7 |
a [18].
b [19].
c Значения, рассчитанные из фита измеренных переходов вместе с известными субдоплеровскими переходами с более высокими числами J [20].
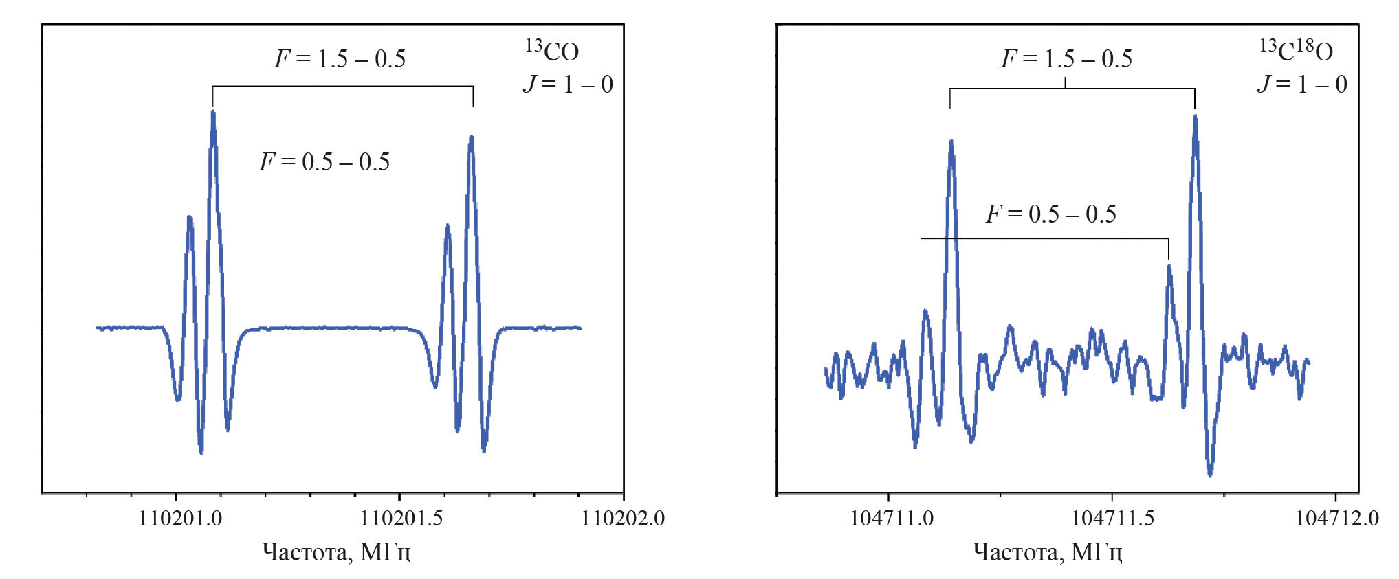
Достигнутая высокая разрешающая способность нашего спектрометра дает возможность наблюдать сверхтонкую спин-вращательную структуру линий CO, обусловленную ядерным спином 13C (I = 1/2). Записи спектров перехода J = 1–0 изотопологов 13C16O (природное содержание 1.1%) и 13C18O (природное содержание 0.0022%) представлены на рис. 3. Большее расщепление является инструментальным, связанным с доплеровским сдвигом (как и в случае 12C18O на рис. 2), а меньшее обусловлено спин-вращательным взаимодействием ядра 13C. Упомянутый в таблице и на рисунке параметр F – квантовое число полного углового момента молекулы (F = J + I). Расщепление линии составляет 53.5 кГц для 13C16O и 57.0 кГц для 13C18O соответственно. Сверхтонкая структура 13C18O разрешена и описана впервые. Измеренные частоты переходов приведены в табл. 1. Их отклонения от наиболее точных значений, известных для 13С16О [19] и 13С18О [20], составляют 1–4 кГц, что находится в пределах нашей экспериментальной погрешности для всех компонент, кроме очень слабой F = 0.5–0.5, где отклонение составляет 5.9 кГц.
Рис. 3. Вращательные переходы J = 1–0 изотопологов 13C16O (слева) и 13C18O (справа). Большее расщепление обусловлено доплеровским сдвигом, а меньшее – спин-вращательным взаимодействием ядра 13C
Возможности нового спектрометра для изучения ван-дер-ваальсовых комплексов демонстрируются на примере комплекса Ne–CO и его изотополога с 22Ne. Этот комплекс является одним из наиболее слабосвязанных с энергией глобального минимума –49.41 см–1 и энергией диссоциации 31.45 см–1 [21]. Спектры вращательных переходов J = 3–2, K = 1–0 (K – проекция вращательного углового момента J на межмолекулярную ось) комплексов 20Ne–CO (естественное содержание 90.92%) и 22Ne–CO (естественное содержание 8.82%) показаны на рис. 4. Использовалась газовая смесь 3% CO в Ne при давлении 4–5 бар. Наблюдаемые частоты переходов согласуются с предыдущими измерениями, полученными на высокочувствительном внутрирезонаторном спектрометре на базе оротрона [22], но сейчас они определены с точностью 3–4 кГц по сравнению с 30 кГц в более раннем исследовании.
Рис. 4. Вращательные переходы J = 3–2, K = 1–0 комплексов 20Ne–CO (слева) и 22Ne–CO (справа). Расщепление обусловлено доплеровским сдвигом из-за движения молекулярного пучка относительно двух бегущих волн
ВЫВОДЫ
В данной статье мы описали новый спектрометр миллиметрового диапазона с молекулярной струей, который подходит для наблюдения молекул и слабосвязанных ван-дер-ваальсовых комплексов. За счет параллельного (соосного) распространения молекулярного пучка и излучения спектрометр обеспечивает высокую чувствительность и высокое спектральное разрешение. Точность определения частоты переходов составляет 3–4 кГц для линий с сигнал/шум не менее 10. Достигнутая разрешающая способность спектрометра (30 кГц на частотах порядка 100 ГГц) позволяет наблюдать сверхтонкую структуру линий, что было продемонстрировано на примере спин-вращательной структуры, обусловленной ядерным спином 13C в изотопологах CO. Для перехода J = 1–0 в 13C18O эта структура наблюдалась впервые.
В общем случае наблюдение ядерного сверхтонкого расщепления энергетических уровней на компоненты дает подробную информацию об электронной структуре молекул и химических связях. Для слабосвязанных молекулярных комплексов параметры сверхтонкой структуры (описывающие квадрупольное, спин-спиновое спин-вращательное взаимодействия) могут предоставить дополнительную ценную информацию о межмолекулярной динамике и потенциале взаимодействия. Более того, сверхтонкая структура вращательных спектров настолько специфична, что ее анализ может помочь различить спектры, происходящие от разных ядерных спиновых изомеров, для тех комплексов, которые содержат симметричные исходные мономеры.
В будущем замена детекторов Шоттки на широкополосный криогенный болометр позволит улучшить чувствительность спектрометра как минимум на порядок. Спектрометр также хорошо подходит для экспериментов по двойному резонансу, поскольку конструкция вакуумной камеры позволяет легко ввести излучение накачки в область распространения молекулярной струи и зондирующего излучения, взаимодействуя таким образом с ними одновременно.
Работа выполнена в рамках темы ФФУУ-2022-0004 Института спектроскопии РАН.
Авторы заявляют об отсутствии конфликта интересов.
1 Иркутская обл., пос. Чара, 3–7 июля 2023 года.
Об авторах
И. В. Тарабукин
Институт спектроскопии РАН
Автор, ответственный за переписку.
Email: surin@isan.troitsk.ru
Руанда, Москва
В. А. Панфилов
Институт спектроскопии РАН
Email: surin@isan.troitsk.ru
Россия, Москва
Д. Г. Пойдашев
Институт спектроскопии РАН
Email: surin@isan.troitsk.ru
Россия, Москва
Л. А. Сурин
Институт спектроскопии РАН
Email: surin@isan.troitsk.ru
Россия, Москва
Список литературы
- Havenith M. Infrared Spectroscopy of Molecular Clusters. H.: Springer Berlin, 2002. 120 p. https://doi.org/10.1007/3-540-45457-8
- Balle T.J., Flygare W.H. // Rev. Sci. Instrum. 1981. V. 52. P. 33. https://doi.org/10.1063/1.1136443
- Brown G.G., Dian B.C., Douglass K.O. et al. // Rev. Sci. Instrum. 2008. V. 79. P. 053103. https://doi.org/10.1063/1.2919120
- Brown G.G., Dian B.C., Douglass K.O. et al. // J. Mol. Spectrosc. 2006. V. 238. P. 200. https://doi.org/10.1016/j.jms.2006.05.003
- Bumgarner R.E., Blake G.A. // Chem. Phys. Lett. 1989. V. 161. P. 308. https://doi.org/10.1016/0009-2614(89)85090-0
- Zwart E., ter Meulen J.J., Meerts W.L. // Chem. Phys. Lett. 1990. V. 166. P. 500. https://doi.org/10.1016/0009-2614(90)87141-D
- Hepp M., Gendiesch R., Pak I. et al. // Mol. Phys. 1997. V. 92. P. 229. https://doi.org/10.1080/002689797170428
- Krupnov A.F., Tretyakov M. Yu., Parshin V.V. et al. // J. Mol. Spectrosc. 2000. V. 202. P. 107. https://doi.org/10.1006/jmsp.2000.8104
- Tretyakov M. Yu., Krupnov A.F., Koshelev M.A. et al. // Rev. Sci. Instrum. 2009. V. 80. P. 093106. https://doi.org/10.1063/1.3204447
- Tretyakov M. Yu., Serov E.A., Koshelev M.A. et al. // Phys. Rev. Lett. 2013. V. 110. P. 093001. https://doi.org/10.1103/PhysRevLett.110.093001
- Tretyakov M. Yu., Koshelev M.A., Serov E.A. et al. // Physics-Uspekhi 2014. V. 57. P. 1083. https://doi.org/10.3367/ufne.0184.201411c.1199
- Dumesh B.S., Surin L.A. // Rev. Sci. Instrum. 1996. V. 67. P. 3458. https://doi.org/10.1063/1.1147159
- Surin L.A., Dumesh B.S., Lewen F. et al. // Rev. Sci. Instrum. 2001. V. 72. P. 2535. https://doi.org/10.1063/1.1369640
- Surin L.A. // JETP Lett. 2013. V. 97. P. 57. https://doi.org/10.1134/S0021364013010104
- Grabow J.-U., Stahl W. // Z. Naturforsch. A Phys. Sci. 1990. V. 45. P. 1043. https://doi.org/10.1515/zna-1990-0817
- Walker K.A., McKellar A.R.W. // J. Mol. Spectrosc. 2001. V. 205. P. 331. https://doi.org/10.1006/jmsp.2000.8272
- Ziurys L.M., Barclay W.L., Jr., Anderson M.A. et al. // Rev. Sci. Instrum. 1994. V. 65. P. 1517. http://dx.doi.org/10.1063/1.1144885
- Cazzoli G., Puzzarini C., Lapinov A.V. // Astrophys. J. 2003. V. 592. L95. https://doi.org/10.1086/377527
- Cazzoli G., Dore L., Cludi L. et al. // J. Mol. Spectrosc. 2002. V. 215. P. 160. https://doi.org/10.1006/jmsp.2002.8604
- Klapper G., Lewen F., Belov S.P. et al. // Z. Naturforsch. 2000. V. 55a. P. 441. https://doi.org/10.1515/zna-2000-3-410
- Wang Z., Feng E., Yu H. et al. // J. Chem. Phys. 2011. V. 134. P. 024320. https://doi.org/10.1063/1.3517313
- Winnewisser G., Dumesh B.S., Pak I. et al. // J. Mol. Spectrosc. 1998. V. 192. P. 243.
Дополнительные файлы






