Наночастицы селена, стабилизированные амфифильными молекулярными щетками с различной степенью полимеризации боковых цепей: спектральные и структурно-морфологические характеристики
- Authors: Валуева С.В.1, Иванов И.В.1, Волков А.Я.1, Вылегжанина М.Э.1, Боровикова Л.Н.1, Кутин А.А.1, Якиманский А.В.1
-
Affiliations:
- Институт высокомолекулярных соединений РАН
- Issue: Vol 98, No 2 (2024)
- Pages: 144-154
- Section: PHYSICAL CHEMISTRY OF NANOCLUSTERS, SUPRAMOLECULAR STRUCTURES, AND NANOMATERIALS
- Submitted: 22.09.2024
- Accepted: 22.09.2024
- Published: 23.09.2024
- URL: https://ogarev-online.ru/0044-4537/article/view/264424
- DOI: https://doi.org/10.31857/S0044453724020141
- EDN: https://elibrary.ru/RCIQBS
- ID: 264424
Cite item
Full Text
Abstract
Амфифильные молекулярные щетки, или графт-сополимеры (графт-СП), с гидрофобной полиимидной основной цепью и гидрофильными боковыми цепями полиметакриловой кислоты (ПМАК), при высоких значениях степени полимеризации m боковых цепей и плотности их прививки можно потенциально использовать в качестве наноконтейнеров при адресной доставке лекарственных препаратов/агентов. В настоящей работе в качестве загружаемого агента использовали наночастицы селена в нуль-валентной форме (Se0), обладающие комплексом уникальных свойств: фотоэлектрическими, полупроводниковыми, каталитическими и биомедицинскими. Широким спектром методов (УФ / видимая спектроскопия, рентгеноструктурный анализ, динамическое / электрофоретическое рассеяние света, атомно-силовая и просвечивающая электронная микроскопия) было проведено сравнительное исследование свободных графтсополимеров (с варьируемой степенью полимеризации гидрофильных боковых цепей ПМАК) и графтсополимеров, загруженных наночастицами селена. Показано влияние топологии графт-СП на структурно-морфологические и спектральные характеристики как свободных амфифильных молекулярных щеток, так и щеток, загруженных наночастицами селена.
Full Text
ВВЕДЕНИЕ
В последнее время в науке и прикладных исследованиях проявляется большой интерес к полимерным объектам, носящим название «полимерные щетки» – привитые сополимеры с узкодисперсными, плотно привитыми боковыми цепями (polymer brushes). Наиболее перспективными объектами изучения в этой области являются амфифильные молекулярные щетки, которые содержат функциональные группы с разным сродством к полярным и неполярным растворителям [1–7]. Самоорганизация амфифильных молекулярных щеток, которой можно управлять, изменяя их структуру, состав или соотношение компонентов, является эффективным инструментом для создания на основе таких сополимеров наноструктурированных материалов [8–13], которые перспективны для использования в биомедицине, сельском хозяйстве и биотехнологии [14, 15]. Кроме того, структурные и топологические особенности позволяют использовать эти объекты в качестве сверхмягких эластомеров [16, 17], молекулярных зондов и датчиков [18, 19], смазочных материалов [20], покрытий [21] и фоторезисторов [22]. Усложнение архитектуры сополимеров, например, путем введения дополнительных блоков в структуру макромолекул и создания условий для их ветвления, расширяет возможности для получения на их основе молекулярных щеток [23, 24]. Структурные особенности этих сополимеров могут влиять на их физико-химические свойства (кристалличность, температуру стеклования, поведение расплава и т.д.) [25–27]. Актуальность исследования данных полимерных систем определяется возможностями вариации их свойств путем направленного управления архитектурой, структурными параметрами цепи (длина основной цепи, плотность прививки и длина боковых цепей) и химической природой термодинамически не совместимых основной и боковых цепей. Классическим примером таких объектов являются амфифильные молекулярные щетки (графт-СП) с гидрофобной полиимидной основной цепью и гидрофильными боковыми цепями полиметакриловой кислоты (ПМАК). Эти сополимеры при высоких значениях степени полимеризации боковых цепей и плотности их прививки обладают хорошей растворимостью в воде и проявляют способность инкорпорировать в гидрофобную часть лекарственные препараты/агенты за счет гидрофобных взаимодействий [28–30].
Модификация графт-СП с узкодисперсными плотно привитыми боковыми цепями ПМАК наночастицами (НЧ) биогенных элементов (металлов/неметаллов) может усилить и расширить спектр физико-химических и медико-биологических свойств синтезированных на их основе наноматериалов. В качестве загружаемого агента в настоящей работе использовали гидрофобные НЧ биогенного элемента-металлоида селена в нуль-валентной форме (Se0). Комплексы на основе НЧ селена весьма актуальны, поскольку этот химический элемент имеет уникальные фотоэлектрические, полупроводниковые, каталитические и биомедицинские свойства: например, он способен проявлять высокую противоопухолевую активность [31–36].
Целью данной работы являлись сравнительные исследования широким спектром методов (УФ/видимая спектроскопия, рентгеноструктурный анализ, динамическое/электрофоретическое рассеяние света, атомно-силовая и просвечивающая электронная микроскопия) структурно-морфологических и спектральных характеристик свободных и загруженных НЧ Se0 графт-СП с гидрофильными боковыми цепями полиметакриловой кислоты варьируемой длины. Молекулярно-массовые параметры графт-СП представлены в табл. 1.
Таблица 1. Молекулярно-массовые параметры графт-СП
№ | ПИ основная цепь | графт-СП | |||
Mn×10-3 | n | Ð | m | fin, % | |
1 | 31.2 | 49 | 2.5 | 60 | 100 |
2 | 30.5 | 48 | 2.6 | 65 | 100 |
3 | 31.2 | 49 | 2.5 | 120 | 100 |
4 | 30.5 | 48 | 2.6 | 125 | 100 |
5 | 30.5 | 48 | 2.6 | 180 | 100 |
6 | 30.5 | 48 | 2.6 | 250 | 100 |
7 | 31.2 | 49 | 2.5 | 270 | 100 |
Обозначения: fin – плотность прививки боковых цепей полиметакриловой кислоты, получилось 100%, т.е. боковая цепь привита к каждому звену основной цепи; Ð – индекс полидисперсности; n – степень полимеризации ПИ основной цепи; m – степень полимеризации боковых цепей ПМАК.
ЭКСПЕРИМЕНТАЛЬНАЯ ЧАСТЬ
Материалы
Синтез графт-СП с полиимидной основной цепью и боковыми цепями ПМАК
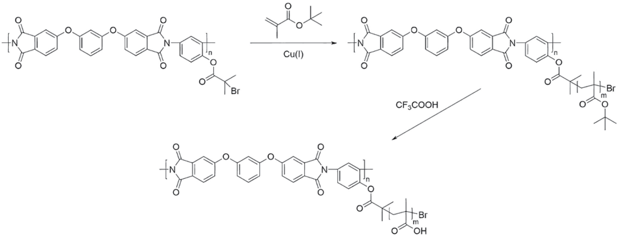
Синтез образцов амфифильных молекулярных щеток с полиимидной основной цепью и боковыми цепями полиметакриловой кислоты (ПИ-прив-ПМАК или графт-СП) включал получение щеток-прекурсоров ПИ-прив-ПТБМА с боковыми цепями поли(трет-бутилметакрилата) (ПТБМА) методом ATRP на мультицентровых полиимидных макроинициаторах c последующим полимераналогичным кислотным гидролизом ТБМА звеньев боковых цепей (рис. 1) [37]. Молекулярно-массовые характеристики синтезированных щеток (таблица 1) определяли методом мультидетекторной гель-проникающей хроматографии (ГПХ) для молекулярных щеток-прекурсоров ПИ-прив-ПТБМА. Для этого были выделены индивидуальные боковые цепи ПТБМА путем селективного щелочного гидролиза полиимидной основной цепи в ранее найденных условиях [38, 39]. По отношению значений теоретической и экспериментальной степени полимеризации боковых цепей, вычисленной по конверсии мономера по данным газовой хроматографии и определенной методом ГПХ соответственно, рассчитывали плотность прививки боковых цепей fin (таблица 1) [38]. Все синтезированные образцы ПИ-прив-ПМАК характеризовались fin = 100%, при которой на каждое повторяющееся звено полиимидной основной цепи приходится одна боковая цепь ПМАК.
Рис. 1. Схема синтеза графт-СП (ПИ-прив-ПМАК) методом ATRP
Синтез НЧ нуль-валентного селена
Синтез НЧ нуль-валентного селена (Se0) осуществлялся в результате реакции (1) между селенистой (H2SeO3) и аскорбиновой (C6H8O6) кислотами:
. (1)
В реакционную колбу помещали водный раствор графт-СП и селенистой кислоты (эту смесь перемешивали при комнатной температуре 20 мин), затем добавляли раствор аскорбиновой кислоты согласно уравнению реакции (1) в мольном соотношении селенистой кислоты к аскорбиновой 1:2. После введения всех компонентов раствор выдерживали при комнатной температуре в течение суток. После завершения реакции раствор приобретал красновато-оранжевый цвет. В водных нанодисперсиях концентрации компонентов составляли: Сграфт-СП. = = 0.1 мас. %, СSe = 0.005 мас. %, т.е. массовое соотношение ν компонентов составляло ν = СSe/Сграфт-СП = 0.05. Введение в реакционную среду графт-СП позволило получить стабильные растворы красновато-оранжевого цвета, сохраняющие свои физико-химические свойства в течение двух месяцев, рН селен-содержащих растворов составляла 3.32–3.35. Для синтеза НЧ селена использовались селенистая и аскорбиновая кислоты («Вектон», Санкт- Петербург).
МЕТОДЫ ИССЛЕДОВАНИЯ
Рентгеноструктурный анализ (РСА)
Съемка порошковых образцов графт-СП была проведена на дифрактометре SEIFERT XRD 3003 TT при комнатной температуре. Использовали CuKα-излучение с длиной волны λ = 1.5406 Å.
Регистрация спектров поглощения
Измерения оптической плотности D водных растворов графт-СП и соответствующих селенсодержащих дисперсий проводили на спектрофотометре СФ-256 УВИ (ЛОМО «Фотоника», Россия) в диапазоне длин волн 200–900 нм, в кварцевых кюветах с толщиной фотометрического слоя 1 см. Относительная суммарная погрешность при регистрации спектров не превышала 2%.
Изучение морфологии графт-СП и селенсодержащих нанодисперсий методом атомно-силовой микроскопии (АСМ)
Морфологические исследования графт-СП и соответствующих нанодисперсий Se0/графт-СП проводили на атомно-силовом микроскопе Nanotop NT-206 (ОДО «Микротестмашины», Беларусь). Растворы наносили на поверхность свежего скола слюды. Измерения выполняли в атмосферных условиях в контактном режиме с использованием кремниевых кантилеверов FMG01 с коэффициентом жесткости k = 3.0 Н/м и радиусом кривизны кончика острия 10 нм.
Одновременно с получением рельефа метод АСМ позволяет сканировать поверхность в режиме контраста латеральных сил (torsion), что выявляет области с различным коэффициентом трения. Экспериментальные данные обрабатывали с помощью программы Surface Explorer, в том числе рассчитывали среднеарифметическое отклонение профиля Ra и среднеквадратичное отклонение профиля Rq для отображаемого участка поверхности1.
Определение гидродинамических размеров и ζ-потенциала
Определение гидродинамических размеров селенсодержащих наноструктур и ζ-потенциала нанодисперсий проводили иономером S220-Kit (Mettler Toledo; производитель – Malvern Instruments Ltd (Великобритания), модель Zetasizer NanoZS).
Исследования селенсодержащих нанодисперсий методом просвечивающей электронной микроскопии (ПЭМ)
Исследования селенсодержащих нанодисперсий методом просвечивающей электронной микроскопии (ПЭМ) проводили на электронном микроскопе BS-500 (Tesla, Чехия) при ускоряющем напряжении U=60 кВ, в диапазоне увеличений 9000–30000. Перед исследованием нанодисперсии наносили на медную сетку и сушили на воздухе.
рН-метрия
Для измерения рН селенсодержащих нанодисперсий использовали милливольтметр И-160 МИ (НПО «Измерительная техника»).
ОБСУЖДЕНИЕ РЕЗУЛЬТАТОВ
На дифрактограмме линейного полиимида (ПИ), к которому в дальнейшем прививали боковые цепи ПМАК, (рис. 2а, 1) наблюдался широкий рефлекс, который может быть результатом сложения двух или трех рефлексов в области 2ϴ от 18 до 220, что свидетельствует о паракристаллической структуре ПИ; линейные цепи (проводились РСА-исследования образца ПМАК с ММ, близкой ММ изученных графт-сополимеров: Mw = 35000) имеют существенно более упорядоченную структуру, чем ПИ (рис. 2а, 2). По данным РСА, образцы свободных графт-СП (не загруженных НЧ Se0) имеют слабо упорядоченную кристаллическую структуру. Наименее упорядоченными являлись образцы с короткими боковыми цепями (m = 60 и 65): на картине дифракции в области углов рассеяния 2ϴ = 10–40о наблюдался ряд накладывающихся друг на друга рефлексов (рис. 2б, 1 и 2). При дальнейшем увеличении степени полимеризации m боковых цепей ПМАК наблюдались небольшой сдвиг рефлексов в сторону больших углов и возрастание степени упорядоченности (рис. 2б, 3, 4, 6). Для образца с максимальной длиной боковых цепей (m = 270) на дифрактограмме в области углов 2ϴ = 18–35о наблюдался менее интенсивный широкий максимум (рис. 2б, 7), т.е. его кристаллическая структура выражена слабее, чем у образцов 3–6. Некоторое сужение рефлексов на дифрактограмме образца с m = 180 (рис. 2б, 5) свидетельствует о большей упорядоченности и более плотной упаковке этого образца по сравнению с образцами 3, 4, 6 и 7, т.е. можно предположить, что этот образец по своей структуре (по параметру m) соответствует особой точке.
Рис. 2. Дифрактограммы образцов: а – линейный ПИ (1) и линейная ПМАК (кривая 2); б – графт-СП с привитыми боковыми цепями ПМАК с различной степенью полимеризации m, равной 60 (1), 65 (2), 120 (3), 125 (4), 180 (5), 250 (6) и 270 (7)
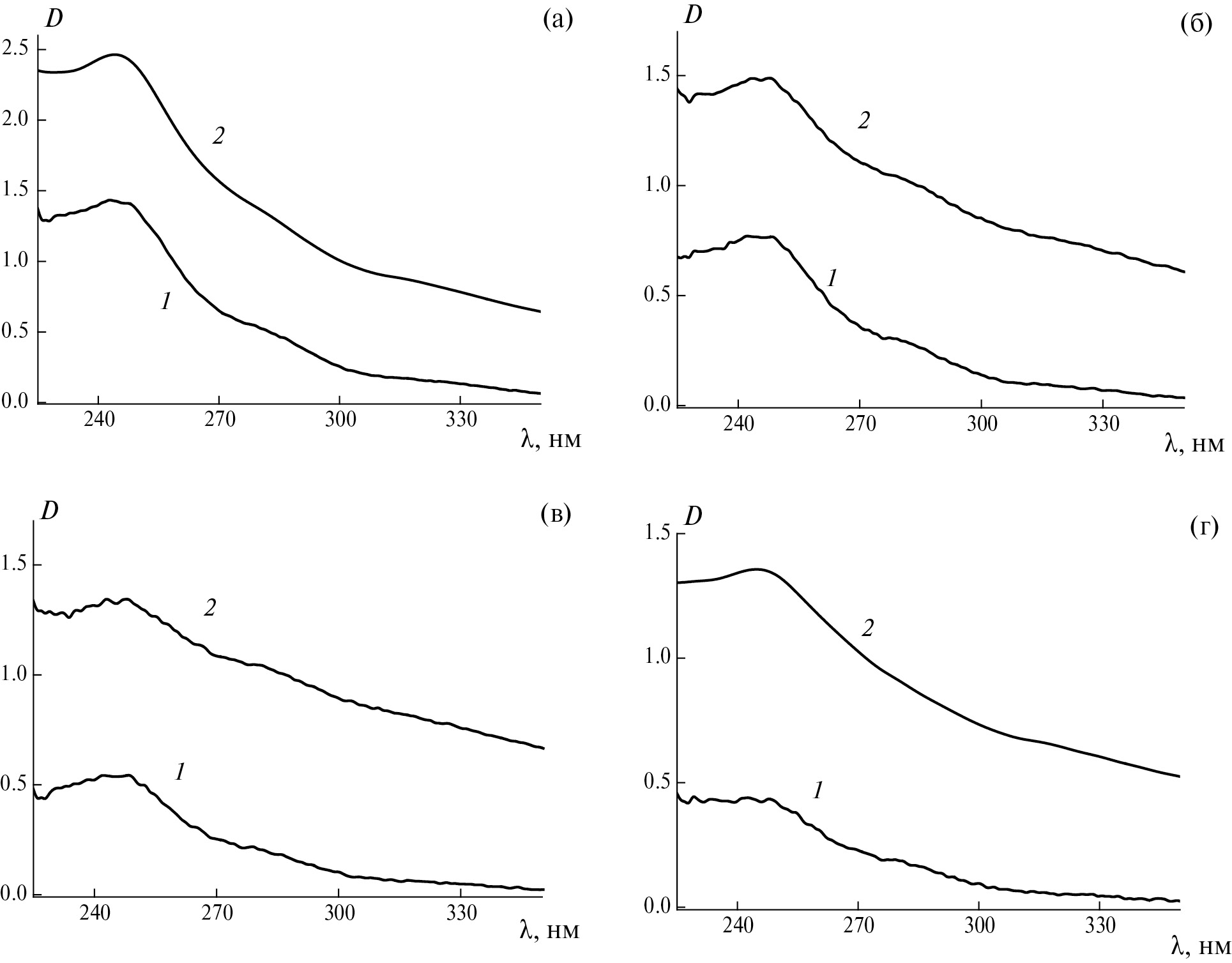
На рис. 3а представлены спектры поглощения свободных амфифильных молекулярных щеток при варьировании степени полимеризации m боковых цепей ПМАК. Следует отметить, что форма кривых практически одинакова. Все кривые имеют достаточно четкий максимум при λmax= 245 нм. Кроме этого, в интервале λ = 275–295 нм для всех исследованных образцов графт-СП наблюдается «плечо», наиболее ярко выраженное для образцов 3 и 4 (m = 120 и 125). Важно отметить, что чем больше значение m, тем меньше величина оптической плотности D. Однако начиная с m = 180 величина оптической плотности практически не зависит от m. Таким образом, при m >180 спектральная картина заметно отличается от той, что наблюдалась при меньших значениях параметра m, т.е. и на основании спектральных данных точку m = 180 можно также трактовать как особую точку.
Рис. 3. Оптические спектры поглощения: а – свободных амфифильных молекулярных щеток (графт-СП), б – графт-СП, загруженных НЧ селена Se0; при варьировании степени полимеризации m боковых цепей ПМАК: 1 – 60, 2 – 65, 3 – 120, 4 – 125, 5 – 180, 6 – 250, 7 – 270
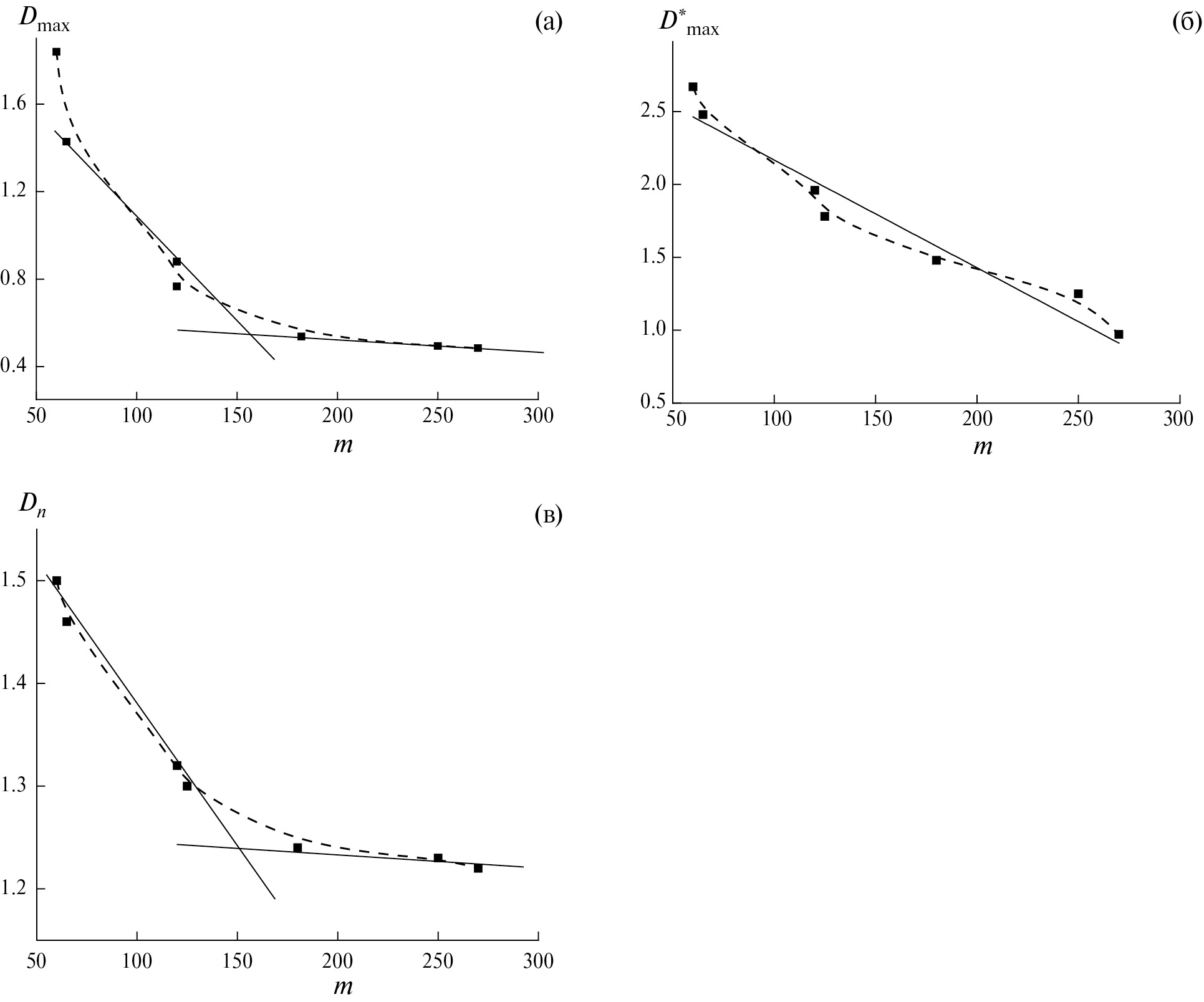
На рис. 4а представлена зависимость Dmax= f(m), которая имеет параболический вид и описывается уравнением Dmax=2.81–0.0022 m+ +5.02×10-5m2 (расчет проведен в программе Origin 8). Касательные, проведенные к ветвям параболы, пересекаются в точке m = 160, что находится в непосредственной близости к предполагаемой на основании спектральных данных и данных РСА особой точке m = 180.
Рис. 4. Зависимости величины оптической плотности Dmax (а) и Dmax* (б) при λ = λmax (λmax= 245 нм) от параметра m для свободных (а) и загруженных (б) щеток; в – зависимость приведенной величины Dn от m (где Dn=D/D265) для загруженных НЧ селена амфифильных молекулярных щеток
На рис. 3б представлены спектры поглощения графт-СП, загруженных НЧ селена Se0, при варьировании степени полимеризации m боковых цепей ПМАК. Исследованные наносистемы, так же, как и свободные щетки, имеют выраженный при λmax= 245 нм максимум оптической плотности, а также «плечо» в интервале λ = 260–290 нм, сдвинутое, по сравнению со свободными графт-СП, в «синюю область». Таким образом, в случае наносистем Se0/графт-СП имеет место суперпозиция вкладов в величину оптической плотности от графт-СП и НЧ селена (максимум полосы поглощения для коллоидного селена наблюдается при λ = 256 нм) [40]. При этом, как и в случае свободных амфифильных молекулярных щеток, чем больше значение m, тем меньше величина оптической плотности D*. Зависимость D*max=f(m) при λmax= 245 нм, представленная на рис. 4б, имеет линейный характер и описывается уравнением D*max =2.907–0.00739m.
Ввиду того что зависимость Dmax=f(m) (при λmax= 245 нм) для свободных амфифильных молекулярных щеток и щеток, загруженных НЧ Se0, описывается разными уравнениями, а зависимости оптической плотности от m при λ= 265 нм для щеток, загруженных НЧ Se0, не наблюдается, были рассчитаны значения приведенной оптической плотности Dn=Dmax/DSe (где DSe – значение оптической плотности при λ= 265 нм). Зависимость Dn=f(m), представленная на рис. 4в, имеет вид параболы и описывается уравнением Dn=1.72-0.0045m+1.012×10-5m2. Касательные, проведенные к двум ветвям этой параболы, пересекаются вблизи особой точки m = 180.
На рис. 5, а–г, для нескольких образцов (m = 65, 125, 180 и 250) сопоставлены спектры поглощения свободных амфифильных молекулярных щеток и щеток, загруженных НЧ Se0. Во всех случаях наблюдается существенное возрастание величины оптической плотности при переходе от свободных графт-СП к нанодисперсиям Se0/графт-СП.
Рис. 5. Спектры поглощения свободных щеток (1) и соответствующих щеток, загруженных НЧ селена (2), при варьировании параметра m: 65 (а), 125 (б), 180 (в), 250 (г)
На рис. 6, а–г, представлены изображения поверхности тонких пленок, отлитых из водных растворов свободных амфифильных молекулярных щеток графт-СП с различной степенью полимеризации m боковых цепей, полученных методом атомно-силовой микроскопии (АСМ) в режиме контраста латеральных сил. На изображениях для графт-СП четко прослеживается тенденция уплотнения пленки исследуемого образца при возрастании параметра m и ощутимое влияние топологии амфифильной молекулярной щетки на морфологическую картину пленки. Так, для графт-СП с m = 60 пленка имеет однородную нанопористую структуру с диаметром пор ~100 нм (рис. 6а). Совсем иная картина наблюдается для графт-СП при m = 125: здесь прослеживается тенденция к ассоциации и ориентации макромолекул графт-СП (рис. 6б). Наиболее структурированной выглядит пленка образца с m = 180 (особая точка): в этом случае образуются «шиш-кебаб»-подобные структуры (рис. 6в). Пленка образца с m = 250 имеет очень плотную структуру, образованную ориентированными агрегатами амфифильных молекулярных щеток, образующих микродомены (рис. 6г).
Рис. 6. АСМ-изображения (в режиме контраста латеральных сил) поверхности тонких пленок, полученных из водных растворов свободных (а–г) и загруженных НЧ Se0 (д–з) амфифильных молекулярных щеток (графт-СП), при варьировании степени полимеризации m боковых цепей ПМАК: 65 (а, д), 125 (б, е), 180 (в, ж), 250 (г, з)
На torsion-изображениях, полученных для селенсодержащих наносистем Se0/графт-СП при ν = 0.05 (рис. 6, д–з), четко визуализируются дискретные структуры практически сферической формы с диаметром DАСМ = от 80 до 400 нм (табл. 2). Важно отметить, что наименьшие размеры сферических наноструктур наблюдаются в особой точке для графт-СП с m = 180, где DАСМ = 80–200 нм (табл. 2). Это аналогично тому, что наблюдалось методом динамического рассеяния света (ДРС) для наносистем Se0/графт-СП: в случае щетки с m = 180 величина диаметра наноструктуры была минимальной и составляла Dh = 68 нм (табл. 3). Величины расчетных математических параметров отклонений профиля Ra и Rq для щеток, загруженных наночастицами селена, достигают своих минимальных значений также и в случае щетки с m = 180 (табл. 2). Важно отметить, что в случае нанодисперсии Se0/графт-СП, полученной на графт-СП с m = 180, помимо сферических дискретных наноструктур визуализируются также «капсулы» размером 200–400 нм (рис. 7). Похожие «капсулы» наблюдались в работах [41, 42]. Значения среднеарифметического и среднеквадратичного отклонений профиля для данного участка поверхности соответственно составляют Ra=1.1 нм и Rq=1.5 нм.
Таблица 2. Размеры сферических наноструктур DАСМ и расчетные математические параметры отклонений профиля Ra и Rq, определенные методом АСМ для пленок, полученных на слюде из нанодисперсий Se0/графт-СП, при варьировании параметра m
m | DАСМ, нм | Ra, нм | Rq, нм |
60 | 200–300 | 7.9 | 12.5 |
125 | 200–300 | 4.9 | 7.1 |
180 | 80–200 | 3.1 | 6.2 |
270 | 200–300 | 3.9 | 7.5 |
Таблица 3. Гидродинамические размеры Dh и ζ-потенциал селенсодержащих нанодисперсий Se0/графт-СП, определенные методом динамического и электрофоретического рассеяния света при варьировании параметра m
m | Dh, нм | ζ-потенциал |
60 | 130 | -12.3 |
65 | 128 | -12.0 |
120 | 124 | -10.9 |
125 | 130 | -10.6 |
180 | 68 | -7.9 |
250 | 142 | -8.2 |
270 | 123 | -8.0 |
Рис. 7. АСМ-изображения (топография, 3D) и профиль поверхности тонкой пленки, полученной из селенсодержащей нанодисперсии Se0/графт-СП (m = 180)
Таким образом, широким спектром физических методов (УФ/видимой спектроскопии, ДРС и АСМ) в растворе и в пленке была показана возможность регулирования спектральных, размерных и морфологических характеристик наноструктур Se0/графт-СП путем варьирования степени полимеризации m боковых цепей графт-СП.
На рис. 8 представлена микрофотография селенсодержащей нанодисперсии Se0/графт-СП (m=180), полученная методом ПЭМ. Для этой наносистемы наблюдаются объекты двух типов: 1) сплошные дискретные наноструктуры с достаточно узким распределением по размерам: DПЭМ = 100–300 нм; 2) полые «сферы» диаметром DПЭМ = 300 нм (эти объекты по форме и размерам совпадают с теми, что наблюдались методом АСМ для «капсул»).
Рис. 8. Микрофотография селенсодержащей нанодисперсии Se0/графт-СП (m = 180)
Для селенсодержащих нанодисперсий Se0/графт-СП были определены значения ζ-потенциала. Полученные значения ζ-потенциала не достигают пороговой величины этого параметрам ζ = ±30 мВ (табл. 3), что указывает на сравнительно невысокую степень стабильности изученных нанодисперсий [43–46]. Разница в абсолютном значении величины ζ-потенциала для селенсодержащих нанодисперсий может быть отражением различного термодинамического состояния дисперсий при стабилизации НЧ селена амфифильными молекулярными щетками с варьируемой степенью полимеризации m боковых цепей ПМАК.
ЗАКЛЮЧЕНИЕ
Некоторое сужение рефлексов на дифрактограмме образца графт-СП со степенью полимеризации m боковых цепей ПМАК, равной 180, свидетельствует о большей упорядоченности и более плотной упаковке этого образца по сравнению с другими образцами графт-СП, т.е. степень полимеризации боковых цепей m =180 соответствует особой точке. Показано, что при m>180 спектральная картина для свободных амфифильных молекулярных щеток при варьировании степени полимеризации m боковых цепей ПМАК заметно отличается от той, что наблюдалась при меньших значениях параметра m, т.е. и на основании спектральных данных точку m = 180 можно трактовать как особую точку. Данные АСМ демонстрируют существенные изменения в морфологической картине пленок, отлитых из водных растворов графт-СП при изменении степени полимеризации m боковых цепей ПМАК амфифильных молекулярных щеток. Наиболее интересная морфологическая картина наблюдается для образца с m = 180 (особая точка): в этом случае образуются «шиш-кебаб»-подобные структуры. Широким спектром физических методов, в растворе и в пленке, проведено сравнительное исследование наночастиц селена, стабилизированных амфифильными молекулярными щетками с различной степенью полимеризации m боковых цепей ПМАК. Показана возможность регулирования спектральных, размерных и структурно-морфологических характеристик нанодисперсий Se0/графт-СП путем варьирования степени полимеризации m боковых цепей графт-СП. Сопоставление спектров поглощения свободных амфифильных молекулярных щеток и щеток, загруженных НЧ Se0, показало, что во всех случаях наблюдается возрастание величины оптической плотности при переходе от свободных графт-СП к нанодисперсиям Se0/графт-СП. Методами АСМ и ДРС обнаружено, что наименьшие размеры сферических наноструктур наблюдаются в особой точке для графт-СП с m = 180. Установлено, что величины расчетных математических параметров отклонений профиля Ra и Rq для нанодисперсий Se0/графт-СП также достигают своих минимальных значений в особой точке (m = 180). Обнаружено, что для селенсодержащей нанодисперсии, полученной на щетке с m = 180, помимо сферических дискретных наноструктур наблюдаются также «капсулы» размером 200–400 нм.
КОНФЛИКТ ИНТЕРЕСОВ
Авторы заявляют об отсутствии конфликта интересов, требующего раскрытия в данной статье.
1 ГОСТ 25142-82. Шероховатость поверхности. Термины и определения. (СТ СЭВ 1156-78). Дата введения – 1983-01-01.
About the authors
С. В. Валуева
Институт высокомолекулярных соединений РАН
Author for correspondence.
Email: svalu67@mail.ru
Russian Federation, Санкт-Петербург
И. В. Иванов
Институт высокомолекулярных соединений РАН
Email: svalu67@mail.ru
Russian Federation, Санкт-Петербург
А. Я. Волков
Институт высокомолекулярных соединений РАН
Email: svalu67@mail.ru
Russian Federation, Санкт-Петербург
М. Э. Вылегжанина
Институт высокомолекулярных соединений РАН
Email: svalu67@mail.ru
Russian Federation, Санкт-Петербург
Л. Н. Боровикова
Институт высокомолекулярных соединений РАН
Email: svalu67@mail.ru
Russian Federation, Санкт-Петербург
А. А. Кутин
Институт высокомолекулярных соединений РАН
Email: svalu67@mail.ru
Russian Federation, Санкт-Петербург
А. В. Якиманский
Институт высокомолекулярных соединений РАН
Email: svalu67@mail.ru
Russian Federation, Санкт-Петербург
References
- Narumi A., Matsuda T., Kaga H., Satoh T. et al. // Polymer. 2002. V. 43. P. 4835.
- Zhao W., Fonsny P., FitzGerald P., Warr G.G. et al. // Polym. Chem. 2013. V. 4. P. 2140.
- Wang J., Yao K., Wang C., Tang C. et al. // J. Mater. Chem. B. 2013. V. 1. P. 2324.
- Tripathy J., Mishra D.K., Yadav M., Behari K. // Carbohyd. Polym. 2010. V. 79. P. 40. https://doi.org/10.1016/j.carbpol.2009.07.026
- Akbulut H., Endo T., Yamada S., Yagci Y. // J. Polym. Sci. A Polym. Chem. 2015. V. 53. P. 1785. https://doi.org/10.1002/pola.27621
- Liang M., Jhuang Y.J., Zhang C.F., Tsai W.J. et al. // Eur. Polym. J. 2009. V. 45. P. 2348. https://doi.org/10.1016/j. eurpolymj.2009.05.008
- Fu G.D., Kang E.T., Neoh K.G., Lin C.C. et al. // Macromolecules. 2005. V. 38. P. 7593. https:// doi.org/10.1021/ma0506435
- Rodchenko S., Amirova A., Milenin S., Ryzhkov A. et al. // Eur. Polym. J. 2020. V. 140. P.110035. doi: 10.1016/j.eurpolymj.2020.110035
- Zhao W., Fonsny P., Fitzgerald P., Warr G.G. et al. // Polym. Chem. 2013. V. 4. P. 2140. https://doi.org/10.1039/C3PY21038C
- Wang J., Yao K., Wang C., Tang C. et al. // J. Mater. Chem. B. 2013. V. 1. P. 2324. https://doi.org/10.1039/C3TB20100G
- Lee H., Pietrasik J., Sheiko S.S., Matyjaszewski K. // Prog. Polym. Sci. 2010. V. 35. P. 24. https://doi.org/10.1016/j. progpolymsci.2009.11.002
- Chang H.-Y., Lin Y.-L., Sheng Y.-J., Tsao H.-K. // Macromolecules. 2012. V. 45. P. 4778. https://doi.org/10.1021/ma3007366
- Lian X., Wu D., Song X., Zhao H. // Ibid. 2010. V. 43. P. 7434. https://doi.org/10.1021/ma101452h
- Senaratne W., Andruzzi L., Ober C.K. // Biomacromolecules. 2005. V. 6. P. 2427. https://doi.org/10.1021/bm050180a
- Peng S., Bhushan B. // RSC Adv. 2012. V. 2. P. 8557. https://doi.org/10.1039/C2RA20451G
- Vatankhah-Varnosfaderani M., Daniel W.F.M., Everhart M.H. et al. // Nature. 2017. V. 549. P. 497.
- Pakula T., Zhang Y., Matyjaszewski K. et al. // Polymer. 2006. V. 47. № 20. P. 7198.
- Nese A., Lebedeva N.V., Sherwood G., Averick S. et al. // Macromolecules. 2011. V. 44. № 15. P. 5905.
- Xu H., Sun F.C., Shirvanyants D.G. et al. // Adv. Mater. 2007. V. 19. № 19. P. 2930.
- Banquy X., Burdynska J., Lee D.W. et al. // J. Am. Chem. Soc. 2014. V. 136. № 17. P. 6199.
- Xu B., Feng C., Hu J. et al. // ACS Appl. Mater. Interfaces. 2016. V. 8. № 10. P. 6685.
- Sun G., Cho S., Clark C., Verkhoturov S.V. et al. // J. Am. Chem. Soc. 2013. V. 135. № 11. P. 4203.
- Sheiko S.S., MoÈller M. // Chem. Rev. 2001. V. 101. P. 4099.
- Sheiko S.S., Sumerlin B.S., Matyjaszewski K. // Prog. Polym. Sci. 2008. V. 33. P. 759.
- Sheiko S.S., Prokhorova S.A., Beers K.L. et al.// Macromolecules. 2001. V. 34. P. 8354.
- Das A., Petkau-Milroy K., Klerks G. et al. // ACS Macro. Lett. 2018. V. 7. P. 546. https://doi.org/10.1021/acsmacrolett.8b00168
- Hansen N.M.L., Gerstenberg M., Haddleton D.M., Hvilsted S. // J. Polym. Sci. Pol. Chem. 2008. V. 46. P. 8097. https://doi.org/10.1002/pola.23107
- Валуева С.В., Вылегжанина М.Э., Митусова К.А. и др. // Поверхность. Рентгеновские, синхротронные и нейтронные исследования. 2021. № 4. С. 3. https://doi.org/10.31857/S1028096021040154 [Valu- eva S.V., Vylegzhanina M.E., Mitusova K.A. et al. // J. of Surface Investigation: X-ray, Synchrotron and Neutron Techniques. 2021. V. 15. № 2. P. 313. https://doi.org/10.1134/S1027451021020336]
- Валуева С.В., Суханова Т.Е., Вылегжанина М.Э., Мелешко Т.К. // ЖТФ. 2020. Т. 90, вып. 9. С. 1462. https://doi.org/10.21883/JTF.2020.09.49676.11-20 [Valueva S.V., Sukhanova T.E., Vylegzhanina M.E., Meleshko T.K. // Tech. Phys. 2020. V. 65. № 9. P. 1403. https://doi.org/10.1134/S1063784220090273]
- Валуева С.В., Вылегжанина М.Э., Митусова К.А., Якиманский А.В. // Матер. Объединенной конференции «Электронно-лучевые технологии и рентгеновская оптика в микроэлектронике» («КЭЛТ-2021»). 13–17 сентября 2021. Черноголовка, Россия. М.: ООО «Футурис Принт», 2021. С. 180–182.
- Wang S.F., Lu L.C., Gruetzmacher J.A. et al. // Macromolecules. 2005. V. 38. P. 7358. https://doi.org/10.1021/ma050884c
- Valueva S.V., Vylegzhanina M.E., Mitusova K.A. et al. // J. of Sur. Invest.: X-ray, Synchrotron and Neutron Techniques. 2021. V. 15. № 2. P. 313. https://doi.org/10.1134/S1027451021020336
- Valueva S.V., Vylegzhanina M.E., Borovikova L. N. et al. // Ibid. 2023. V. 17. № 1. P. 150. https://doi.org/10.1134/S102745102301024X
- Sukhanova T.E., Valueva S.V., Vylegzhanina M.E. et al. Selenium: Dietary Sources, Properties and Role in Human Health. Nova Science Publishers, Inc. New York. USA. 2015. C. 6. P. 159.
- Валуева С.В., Боровикова Л.Н., Коренева В.В. и др. // Журн. физ. химии. 2007. Т. 81. № 1. С. 1329.
- Валуева С.В., Суханова Т.Е., Матвеева Н.А. и др. // Сб. статей Второй междунар. научно-практической конф. «Высокие технологии, фундаментальные и прикладные исследования в физиологии и медицине» (PhysioMedi). 26‒28 октября 2011. Санкт-Петербург, Россия. С. 130.
- Meleshko T.K., Ivanov I.V., Kashina A.V. et al. // Polym. Sci. Ser. B. 2018. V. 60. № 1. P. 35. https://doi.org/10.1134/S1560090418010098
- Yakimansky A.V., Meleshko T.K., Ilgach D.M. et al. // J. Polym. Sci., Part A: Polym. Chem. 2013. V. 51. P. 4267. https://doi.org/10.1002/pola.26846
- Meleshko T.K., Ivanova A.S., Kashina A.V. et al. // Polym. Sci. Ser. B. 2017. V. 59. P. 674. https://doi.org/10.1134/S1560090417060045
- Бусев А.И. Колориметрические (фотометрические) методы определения неметаллов. М.: Издательство иностранной литературы, 1963. 467 с.
- Voronin D.V., Kozlova A.A., Verkhovskii R.A. et al. // Int. J. Mol. Sci. 2020. V. 21. P. 2323. https://doi.org/10.3390/ijms21072323
- Bollhorst T., Rezwan K., Maas M. // Chem. Soc. Rev. (Review Article). 2017. V. 46. P. 209. https://doi.org/10.1039/C6CS00632A
- Sperling R.A., Parak W.J. // Phil. Trans. R. Soc. A. 2010. V. 368. P. 1333. https://doi.org/10.1098/rsta.2009.0273
- Akagi T., Watanabe K., Kim H., Akashi M. // Langmuir. 2010. V. 26. № 4. P. 2406. https://doi.org/10.1021/la902868g
- Elsabahy M., Karen L. // J. Chem. Phys. 2017. V. 147. 020901. https://doi.org/10.1063/1.4990501
- Elsabahy M., Karen L. // Chem. Soc. Rev. 2012. V. 41. № 7. P. 2545. https://doi.org/10.1039/c2cs15327k
Supplementary files










