Эффективность и механизм действия цинкового комплекса нитрило-трис-метиленфосфоновой кислоты как ингибитора коррозии низкоуглеродистой стали в нейтральных бромид- и иодидсодержащих водных средах
- Авторы: Казанцева И.С.1, Чаусов Ф.Ф.1, Воробьёв В.Л.1, Ломова Н.В.1, Исупов Н.Ю.1
-
Учреждения:
- Удмуртский федеральный исследовательский центр Уральского отделения РАН
- Выпуск: Том 98, № 2 (2024)
- Страницы: 37-51
- Раздел: ХИМИЧЕСКАЯ КИНЕТИКА И КАТАЛИЗ
- Статья получена: 22.09.2024
- Статья одобрена: 22.09.2024
- Статья опубликована: 23.09.2024
- URL: https://ogarev-online.ru/0044-4537/article/view/264408
- DOI: https://doi.org/10.31857/S0044453724020043
- EDN: https://elibrary.ru/RDVJXG
- ID: 264408
Цитировать
Полный текст
Аннотация
Потенциодинамическим методом исследовано влияние цинкового комплекса нитрило-трис-метиленфосфоновой кислоты Na4[Zn{N(CH2PO3)3}]·13H2O на коррозионно-электрохимическое поведение низкоуглеродистой стали в нейтральных водных средах в присутствии ионов Br– и I–. Состав и структура пассивных пленок, сформированных при различных потенциалах и составе среды, изучены методом рентгеновской фотоэлектронной спектроскопии с послойным травлением. В среде боратно-борнокислого буферного раствора (pH 7.4) при концентрации ионов Br– и I– 1.4 ммоль/дм3 оптимальная концентрация ингибитора составляет 0.2–2.0 г/дм3. Br–-ионы проявляют большую коррозионную активность по сравнению с I–-ионами, вызывают неравномерную коррозию. I–-ионы преимущественно адсорбируются на неокисленном железе и практически не разрушают оксидно-гидроксидную часть пленки. В присутствии ингибитора Na4[Zn{N(CH2PO3)3}]·13H2O на поверхности стали формируются защитные пленки, содержащие помимо оксидов и гидроксидов железа гетерометаллический полиядерный комплекс [Fe1/2Zn1/2(H2O)3μ-H4{N(CH2PO3)3}]n. Степень конверсии ингибитора в данный комплекс в I–-содержащих средах выше, чем в Br–-содержащих.
Полный текст
ВВЕДЕНИЕ
Бромиды и иодиды присутствуют как в природных, так и в технологических средах. В частности, соединения брома входят в состав пестицидов, катализаторов, буровых растворов [1], антипиренов [2]. Концентрированные рассолы LiBr находят применение в системах абсорбционного охлаждения [1, 3]. Бромид и йодид серебра являются компонентами фотоэмульсий и отработанных фоторастворов. Йодиды калия и натрия применяют в составе лекарств и антисептиков [4], в аналитической химии при редокс-титровании [5].
Несмотря на распространенность бромидов и йодидов, их влияние на коррозию металлических материалов изучено в значительно меньшей степени, чем хлоридов. Обстоятельные исследования влияния ионов галогенидов (Cl–, Br–, I–) на коррозию металлов и сплавов (в частности, хром, железо, никель, нержавеющие стали) провели Колотыркин и соавт. [6]; было установлено, что их вредное воздействие уменьшается в ряду Cl– > Br– > I–. Коррозионная стойкость металлов и сплавов обычно обусловлена пассивным состоянием, характеризующимся наличием непрерывной пассивирующей пленки, содержащей продукты коррозии и отделяющей поверхность металла от коррозионной среды [7]. Коррозионная стойкость металла может быть оценена по величине потенциала питтингообразования Epit, который для многих металлов описывается полулогарифмической зависимостью от концентрации агрессивных ионов [A], чаще всего галогенид-ионов [8]:
Epit = a + b lg [A],
где a и b – константы. Агрессивность галогенид-ионов тем выше, чем ниже константа a (aCl– < aBr– <aI–). Позднее такой же порядок депассивирующей способности галогенид-ионов отмечался во многих работах [9–18].
Большинством авторов обсуждаются три основных механизма депассивации: механизм проникновения, механизм разрыва пленки и механизм адсорбции [19].
С позиций механизма проникновения ионы Br– и I– оказались менее агрессивными для Al, Cu, Fe, Ni и их сплавов, чем ионы Cl–, из-за меньшего радиуса последних (см. табл. 1) и, как следствие, большей способности проникать через решетку оксида. Лиань и др. исследовали методом рентгеновской фотоэлектронной спектроскопии пленки, сформированные на поверхности металлических стекол на основе Fe в кислых растворах, содержащих Cl–- и Br–-ионы, и не обнаружили Br– в составе пленки, в то время как Cl– присутствовал во внешнем слое пленки [23].
В рамках модели адсорбционного механизма [24, 25] депассивация начинается с адсорбции агрессивных анионов на поверхности оксида с дальнейшим образованием переходных комплексов с катионами металла и переносом их в коррозионную среду, что приводит к истончению пассивного слоя.
Халил и др. [13] считали, что образование растворимых комплексов, связанное с адсорбцией агрессивных анионов на поверхности металла, инициирует растворение пассивной пленки. Они исследовали влияние ионов Cl–, Br–, I– на пассивную пленку на железе методом рентгеновской фотоэлектронной спектроскопии (РФЭС). Наибольшее уменьшение толщины пассивной пленки наблюдалось с ионами Cl–, а наименьшее – с ионами I–. Штреблов связывал коррозионную активность галогенид-ионов с различной стабильностью их комплексов с металлами [26].
В модели точечных дефектов предполагается [27], что катионные вакансии в пассивной пленке мигрируют от границы пленка/раствор к границе металл/пленка. Если инжекция катионов металла на границе металл/пленка происходит с меньшей скоростью, чем образование вакансий, последние накапливаются на границе металл/пленка, приводя к росту напряжений внутри пассивной пленки и ее последующему разрушению. Было исследовано влияние ионного радиуса галогенид-иона на индуцирование разрушения углеродистой стали при рН 8.9 [28]. Экспериментальные результаты показывают, что критический потенциал питтингообразования располагается в порядке Cl– > Br– > I– >> F–, что в рамках модели точечных дефектов связывается с величинами энергии расширения кислородной вакансии, изменения энтропии и энергии дегидратации аниона (см. табл. 1).
Таблица 1. Значения ионного радиуса (r), ионного потенциала (Πi), абсолютной жесткости (ηB), энтальпии гидратации (ΔHhyd) и энергии Гиббса адсорбции (ΔGads) на субстрате Fe(110) для ионов F–, Cl–, Br– и I–
Ион | r, нм [20] | Πi, e/нм | ηB, эВ [21] | ΔHhyd, кДж/моль [20] | ΔGads, кДж/моль [22] |
F– | 0.133 | 7.519 | 7.0 | –510 | — |
Cl– | 0.181 | 5.525 | 4.7 | –367 | –54.39 |
Br– | 0.196 | 5.102 | 4.2 | –336 | –58.58 |
I– | 0.220 | 4.545 | 3.7 | –291 | –62.67 |
Гуо и др. изучали специфический эффект адсорбции галогенид-ионов на поверхности низкоуглеродистой стали в кислых средах электрохимическими методами и рассчитали энергию адсорбции Cl–, Br– и I–-ионов на субстрате Fe(110) методом Монте-Карло [22] (см. табл. 1). Прочность адсорбции галогенидов на активном металле, покрытие поверхности галогенид-ионами и эффективность ингибирования увеличиваются с увеличением ионного радиуса галогенид-иона [1, 29, 30].
С позиций теории жестких и мягких кислот и оснований [31] поверхность d-металлов является «мягким» реагентом, но при окислении она приобретает свойства «жестких» реагентов, по крайней мере, при образовании Fe2O3, Al2O3, MgO [32]: значения абсолютной жесткости Fe, Fe2+, Fe3+ составляют 3.7, 7.3, 13.1 эВ соответственно [21]. С этих позиций склонность I– адсорбироваться на неокисленном железе является вполне обоснованной (см. табл. 1). Изучение адсорбции йодид-ионов на различных оксидах железа в широком диапазоне рН и ионной силы раствора подтвердило предположение о низкой адсорбционной способности I– на оксидах железа [33]. С ростом ионного радиуса галогенид-ионов и, как следствие, их поляризуемости и гидрофобности возрастает способность этих ионов адсорбироваться на поверхности железа в кислых средах [32].
Галогенид-анионы, адсорбируясь на поверхности стали, уменьшают положительный заряд металла и тем самым облегчают адсорбцию органических катионов [34]. Многие исследователи отмечают синергетический эффект действия йодид-ионов и органических ингибиторов коррозии в кислых средах [34-42]. В кислых растворах существует высокая вероятность того, что органическая молекула подвергнется протонированию. В таком случае синергизм с галогенид-ионами может улучшить показатели адсорбции и ингибирования [43].
В работе [44] рассмотрен процесс пассивации поверхности углеродистой стали в нейтральных водных средах в присутствии Cl–-ионов и ингибитора нитрило-трис-метиленфосфонато-цинката тетранатрия Na4[Zn{N(CH2(PO3)3}] (ZnNTP), структура которого детально описана в [45]. В условиях встречной диффузии ионов Fe2+ и ZnNTP через оксидную пассивную пленку протекает реакция [46]:
1/2nFe2+ + n[Zn{N(CH2PO3)3}]4– + 7nH2O → [Fe1/2Zn1/2(H2O)3μ-H4{N(CH2PO3)3}]n + 1/2nZn(OH)2 + 3nOH–, (1)
ведущая к образованию практически не растворимого в воде полимерного гетерометаллического комплекса [Fe1/2Zn1/2(H2O)3μ-H4{N (CH2PO3)3}]n (FeZnNTP, структура которого представлена в работе [47], и гидроксида цинка). Наличие в структуре пассивной пленки гетерополиядерного комплекса FeZnNTP приводит к снижению растворимости пассивной пленки, ее проницаемости для диффузии ионов железа и, следовательно, к уменьшению скорости коррозии. Этот механизм ингибирования коррозии получил название координационной пассивации [44].
В настоящей работе изучено влияние ионов Br– или I– на процессы координационной пассивации стали Ст3кп в присутствии ингибитора коррозии ZnNTP в нейтральных водных средах.
ЭКСПЕРИМЕНТАЛЬНАЯ ЧАСТЬ
Синтез ZnNTP осуществляли по описанной методике [46]. Структура полученного соединения соответствует структуре, установленной ранее методом монокристального рентгено-структурного анализа [45, 46]. Элементный анализ: вычислено для Na4[Zn{N(CH2PO3)3}]·13H2O (мас. %): P 13.57, Zn 9.55; найдено (мас. %): P 13.65±0.5, Zn 9.7±0.2, P 13.57, Zn 9.55.
Для коррозионных испытаний использовали образцы низкоуглеродистой стали Ст3кп (ГОСТ 380-2005, элементный состав, мас. %: С 0.20, Cr 0.1, V 0.02, Ti 0.01, Ni 0.0, Mn 0.22, Si 0.0, остальное – Fe). Образцы обрабатывали наждачной бумагой до Ra = 0.6–1 мкм, затем промывали дистиллированной водой, обезжиривали этанолом и высушивали в эксикаторе.
В качестве коррозионной среды использовали боратно-борнокислый буферный раствор (ББР) с pH 7.4 [48] с добавками NaBr («х.ч.») и NaI («ч.д.а») в следующей концентрационной шкале (ммоль/дм3): 0.028, 0.14, 0.28, 0.56, 1.4, 2.8, 5.6. Для добавок ZnNTP использовали концентрационную шкалу (г/дм3): 0.05, 0.20, 1.00, 2.00, 3.00, 5.00, 7.00, 10.00.
Коррозионные исследования поляризационным методом проводили, используя насыщенный хлоридсеребряный электрод сравнения ЭСр-10101 и вспомогательный платиновый электрод ЭПВ-1-100. Все величины потенциалов в работе даны относительно электрода Ag, AgCl | KCl (нас.) (ХСЭ). Перед регистрацией поляризационных кривых испытуемый образец выдерживали при потенциале –0.8 В в течение 10 мин. Поляризационные кривые регистрировали в интервале потенциалов от –1.0 В до +1.5 В со скоростью развертки потенциала 2 мВ/с в условиях естественной аэрации электролита.
Рентгеновские фотоэлектронные спектры (РФЭ-спектры) получали с поверхности образцов, подвергнутых поляризации при заданных значениях анодного потенциала в течение 10 мин. Образец переносили из ячейки в среду диэтилового эфира («ч.д.а»), затем образец, смоченный эфиром, быстро устанавливали в рабочую камеру спектрометра и немедленно вакуумировали последнюю до 10–4–10–5 Па, исключая контакт поверхности образца с воздухом.
РФЭС проводили с использованием рентгеновского фотоэлектронного спектрометра ЭМС-3 (УдмФИЦ УрО РАН) [49] с магнитной фокусировкой электронов при возбуждении AlKα-излучением (hν = 1486.6 эВ). РФЭС с послойным травлением поверхности образцов ионами Ar с энергией 1000 эВ проводили с использованием рентгеновского фотоэлектронного спектрометра ЭС-2401 (ФГУП ЭЗАН) с возбуждением MgKα-излучением (hν = 1253.6 эВ). Шкала энергии связи электронов (EB) была откалибрована с использованием линии C1s (EB = 284.5 эВ). Вычитание фона проводили по Ширли [50], статистическую обработку данных выполняли с помощью программного обеспечения Fityk 0.9.8 [51] в открытом доступе.
ОБСУЖДЕНИЕ РЕЗУЛЬТАТОВ
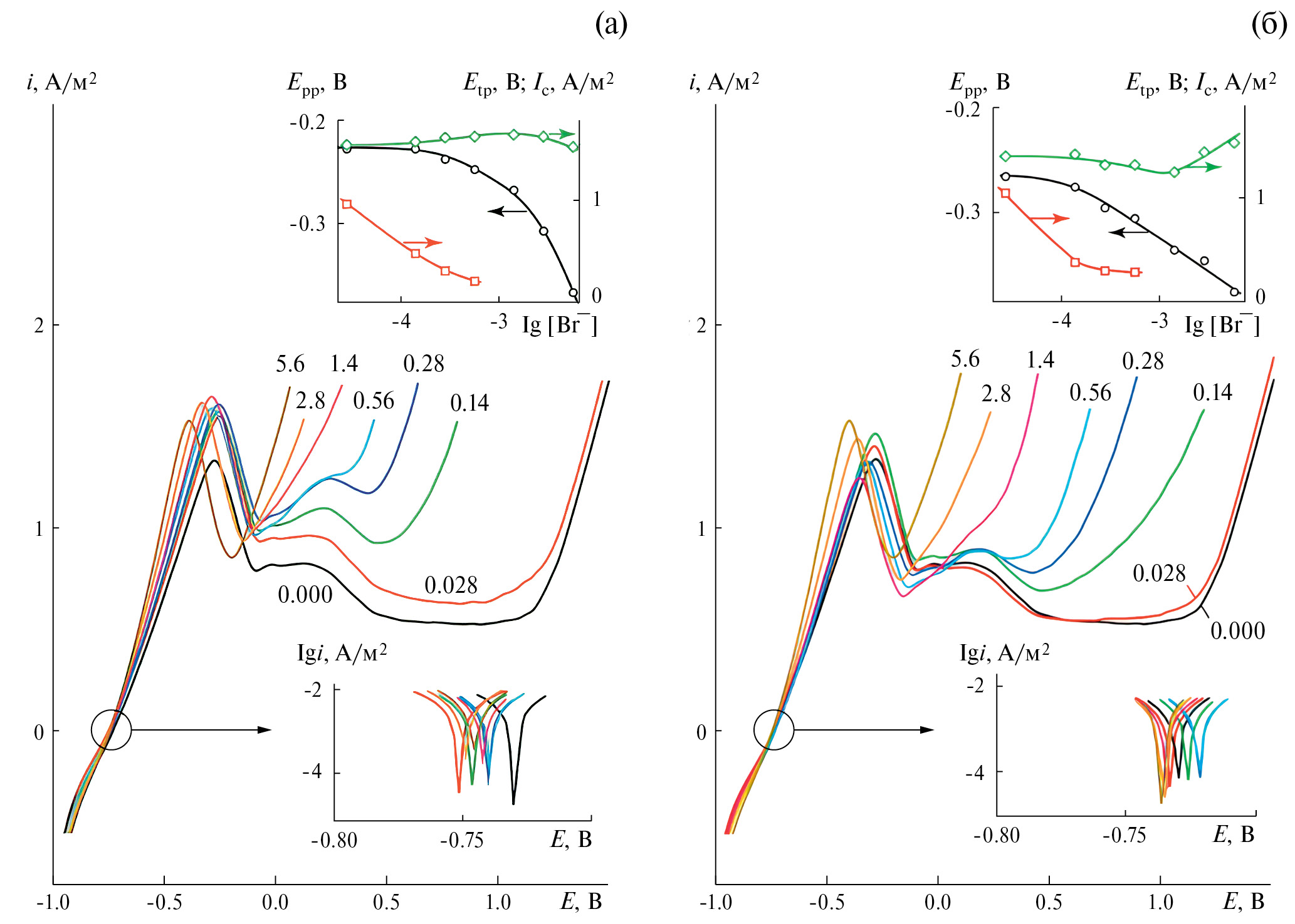
Поляризационные кривые стали Ст3кп в ББР без добавок и с добавками Br– и I–-ионов различных концентраций приведены на рис. 1. Значения потенциала образца и плотности тока анодного растворения в характерных точках полученных поляризационных кривых представлены в табл. 2.
Рис. 1. Анодные поляризационные кривые образцов стали Ст3кп в ББР (pH 7.4) с добавками различных концентраций ионов Br– (a) и I– (б); цифры на кривых обозначают концентрацию галогенид-иона в г/дм3. Зависимость плотности тока анодного растворения металла i, А/м2, от потенциала образца E, В. На врезках показаны участки поляризационных кривых в окрестности потенциала разомкнутой цепи Eoc в логарифмическом масштабе плотности тока; зависимости критической плотности тока анодного растворения металла ic (1), потенциала начала пассивации Epp (2) и потенциала транспассивности Etp (3) от логарифма концентрации галогенид-иона lg[X–], где X = Br, I.
Таблица 2. Характеристические точки анодных поляризационных кривых образцов стали Ст3кп в чистом ББР и с добавками Br–- и I–-ионов и ингибитора ZnNTP
Состав коррозионной среды – концентрация добавок | Характеристические точки анодных поляризационных кривых | |||||
Потенциал, В | Плотность анодного тока, A/м2 | |||||
CХ– (ммоль/дм3) | Cinh (г/л) | Разомкнутой цепи Eoc | Начала пассивации Epp | Транс-пассивности Etp | Критическая ic | Мини-мальная в пассивной области ip min |
0 | 0 | –0.73 | –0.27 | 1.21 | 1.33 | 0.52 |
Х = Br– | ||||||
0.028 | 0 | –0.75 | –0.25 | 1.19 | 1.54 | 0.62 |
0.14 | 0 | –0.75 | –0.25 | 0.71 | 1.57 | 0.92 |
0.28 | 0 | –0.74 | –0.26 | 0.54 | 1.61 | 1.03 |
0.56 | 0 | –0.74 | –0.27 | 0.44 | 1.62 | 0.89 |
1.4 | 0 | –0.74 | –0.29 | – | 1.64 | – |
2.8 | 0 | –0.75 | –0.33 | – | 1.62 | – |
5.6 | 0 | –0.75 | –0.39 | – | 1.52 | – |
1.4 | 0.05 | –0.73 | –0.39 | – | 0.83 | – |
1.4 | 0.2 | –0.72 | –0.38 | 0.14 | 0.62 | 0.56 |
1.4 | 2.0 | –0.73 | –0.43 | 0.20 | 0.57 | 0.52 |
1.4 | 3.0 | –0.76 | –0.44 | 0.21 | 1.00 | 0.66 |
1.4 | 5.0 | –0.77 | –0.47 | 0.23 | 1.11 | 0.58 |
1.4 | 7.0 | –0.78 | –0.48 | 0.31 | 1.14 | 0.55 |
1.4 | 10.0 | –0.78 | –0.53 | 1.08 | 1.13 | 0.52 |
Х = I– | ||||||
0.028 | 0 | –0.73 | –0.28 | 1.18 | 1.39 | 0.54 |
0.14 | 0 | –0.73 | –0.28 | 0.52 | 1.45 | 0.69 |
0.28 | 0 | –0.72 | –0.31 | 0.44 | 1.31 | 0.76 |
0.56 | 0 | –0.72 | –0.32 | 0.43 | 1.31 | 0.70 |
1.4 | 0 | –0.73 | –0.35 | – | 1.24 | – |
2.8 | 0 | –0.74 | –0.35 | – | 1.43 | – |
5.6 | 0 | –0.74 | –0.39 | – | 1.52 | – |
1.4 | 0.05 | –0.72 | –0.36 | – | 0.88 | – |
1.4 | 0.20 | –0.72 | –0.37 | 0.14 | 0.68 | 0.61 |
1.4 | 1.00 | –0.73 | –0.35 | 0.23 | 0.68 | 0.65 |
1.4 | 3.00 | –0.76 | –0.44 | 0.21 | 0.98 | 0.60 |
1.4 | 5.00 | –0.76 | –0.47 | 0.22 | 1.07 | 0.55 |
1.4 | 7.00 | –0.77 | –0.48 | 0.29 | 1.15 | 0.52 |
1.4 | 10.00 | –0.80 | –0.49 | 0.72 | 1.23 | 0.56 |
В целом влияние Br– и I–-ионов на коррозионно-электрохимическое поведение Ст3кп имеет много общего. Значения потенциала разомкнутой цепи Eoc мало зависят от природы и концентрации галогенид-иона. Величины потенциала начала пассивации Epp в обоих случаях снижаются с увеличением концентрации ионов, что, по мнению авторов [52], связано с тем, что кратковременное присутствие галогенид-ионов способствует быстрому росту пассивной пленки и улучшает ее защитные свойства. Значения потенциала транспассивности Etp для сред с добавками Br– и I– близки и имеют тенденцию к уменьшению с ростом концентрации галогенид-ионов. Концентрация Br–-ионов практически не влияет на величину критической плотности тока растворения металла ic, такая же тенденция наблюдается в случае с I–-ионами при концентрации не более 1.4 ммоль/дм3, при больших концентрациях I– величины ic возрастают. Значения ic и плотности тока в пассивной области ip в растворах с Br– оказываются выше, чем в растворах с соответствующими концентрациями I–. При концентрации I–-ионов 0.56 ммоль/дм3 на анодной поляризационной кривой наблюдается значительно более широкая пассивная область, чем при такой же концентрации Br–-ионов.
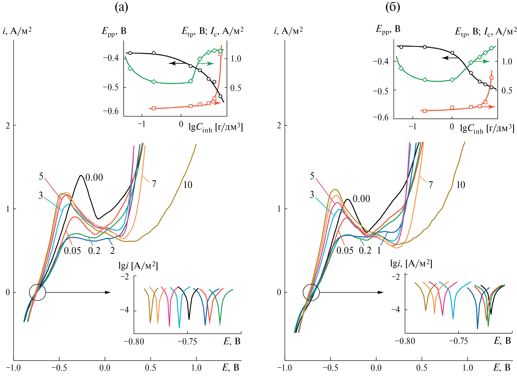
На рис. 2 представлены анодные поляризационные кривые образцов Ст3кп с добавками 1.4 ммоль/дм3 ионов Br– и I– и ингибитора ZnNTP в различных концентрациях. С увеличением концентрации ингибитора Cinh Eoc незначительно снижается. Очевидно, что увеличение концентрации ингибитора в коррозионной среде облегчает формирование пассивной пленки: Epp постепенно снижается с увеличением Cinh. Добавки уже 0.2 г/дм3 ингибитора способствуют появлению пассивной области. В небольших концентрациях ZnNTP снижает ic, с этой точки зрения оптимальная концентрация ингибитора в коррозионной среде составляет 0.2–2 г/дм3, введение ингибитора в больших концентрациях приводит к росту ic. При концентрациях ингибитора 3 г/дм3 и более в пассивной области можно выделить два участка: при более положительных значениях потенциала наблюдаются участки с пониженной плотностью тока, причем в средах с I–-ионами падение плотности тока более существенно. При Cinh < 5 г/дм3 Etp практически не меняется с ростом концентрации ингибитора, однако при больших концентрациях ингибитора наблюдается значительное увеличение Etp.
Рис. 2. Анодные поляризационные кривые образцов стали Ст3кп в ББР (pH 7.4) с добавками 1.4 ммоль/дм3 ионов Br– (а) и I– (б) и различных количеств ингибитора ZnNTP; цифры на кривых обозначают концентрацию ингибитора ZnNTP в г/дм3. Зависимость плотности тока анодного растворения металла i, А/м2, от потенциала образца E, В. На врезках показаны участки поляризационных кривых в окрестности потенциала разомкнутой цепи Eoc в логарифмическом масштабе плотности тока; зависимости критической плотности тока анодного растворения металла ic (1), потенциала начала пассивации Epp (2) и потенциала транспассивности Etp (3) от логарифма концентрации ZnNTP lg[Cing].
На анодных поляризационных кривых в области потенциалов (–0.1)–0.3 В наблюдаются области с повышенными значениями плотности тока, что можно объяснить процессом окисления Fe2+:
(2)
В средах, содержащих Br– и I–, возможно протекание реакций окисления с участием галогенид-ионов. Окисление ионов Br–, вероятно, происходит в области транспассивности:
(3)
Окисление I– протекает при более низких значениях потенциала:
(4)
(5)
Трииодид-ион образуется в результате реакции комплексообразования:
(6)
Окислителем для I–-ионов могут выступать ионы Fe3+:
(7)
Следует отметить, что продукты взаимодействия Br– и I–-ионов с ионами Fe2+ и Fe3+ растворимы в воде: при 25 °С растворимость FeBr2 в воде составляет 116, FeBr3 – 455 г на 100 мл воды, FeI2 растворим в воде [57]. По этим причинам солевая пассивация поверхности электрода маловероятна. FeI3 нестабилен ввиду протекания реакции (7) [56]. Стабилизация соединений Fe3+ с I– возможна за счет комплексообразования: авторами [58] синтезированы нейтральные комплексы Fe3+ с I– и тетраметилмочевиной.
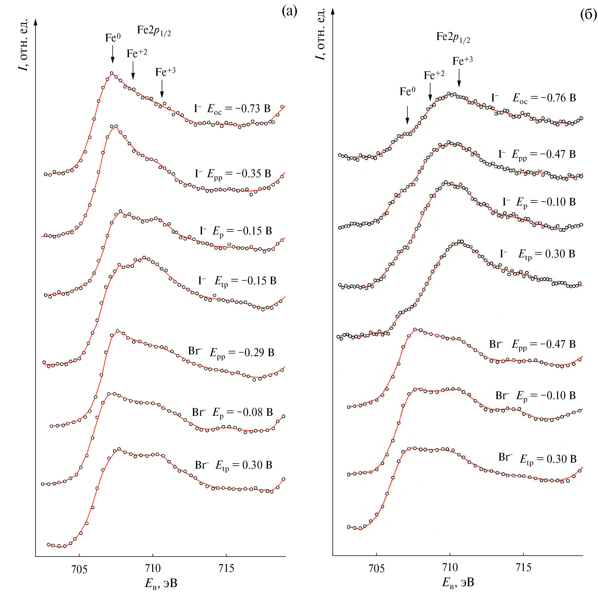
На рис. 3 а представлены РФЭ-спектры Fe2p3/2-электронов пассивных пленок, сформированных на образцах стали Ст3кп в ББР (pH 7.4), содержащем 1.4 ммоль/дм3 ионов I– или Br– при различных значениях анодного потенциала: Еос, Ерр, потенциале, соответствующем минимальному значению плотности тока в условно-пассивной области Ер, и потенциале области транспассивности Еtp. Анализ спектров показывает, что при всех значениях потенциала поверхностные пленки содержат значительное количество неокисленного железа, Fe2p3/2-спектр которого имеет максимум интенсивности при EB = 706.7–707.2 эВ. Особенно значителен вклад Fe в пленках, сформированных при низких значениях потенциала, – Еос, Ерр. В пленках, образованных при Ер и Еtp, возрастают доли окисленного железа Fe2+ (EB = 709.3–710.5 эВ) и Fe3+ (EB = 710.8–711.7 эВ). Следует отметить, что пленки, сформированные при Etp в йодидсодержащей среде, характеризуются преобладанием окисленных форм железа Fe2+ и Fe3+, в отличие от пленок, сформированных в среде с Br–.
На рис. 3б представлены РФЭ-спектры Fe2p3/2-электронов пассивных пленок, сформированных на образцах стали Ст3кп в ББР (pH 7.4), содержащем 1.4 ммоль/дм3 ионов I– или Br– и 5 г/дм3 ингибитора ZnNTP при различных значениях анодного потенциала: Еос, Ерр, потенциале области пассивности Ер и Еtp. Судя по интенсивностям максимумов Fe, пленки, сформированные в присутствии ингибитора, содержат меньшее количество неокисленного железа, чем пленки, образующиеся в безингибиторной среде. Анализ спектров показывает, что пассивные слои, образующиеся в ББР, содержащем Br– и ZnNTP, состоят из неокисленного железа и окисленных форм Fe2+ и Fe3+ в приблизительно одинаковых количествах. Напротив, спектры пленок, сформированных в ББР, содержащем I– и ZnNTP, характеризуются максимумами при 709.3–710.5 и 710.8–711.7 эВ, соответствующими окислительным состояниям Fe2+ и Fe3+ соответственно, металлическое железо представлено малоинтенсивными максимумами при EB = 706.7–707.2 эВ.
Рис. 3. РФЭ-спектры Fe2p3/2-электронов пассивных пленок, сформированных на образцах стали Ст3кп в ББР (pH 7.4), с добавками 1.4 ммоль/дм3 ионов I–/Br– при различных значениях потенциала (а) и с добавками 1.4 ммоль/дм3 ионов I–/Br– и 5 г/дм3 ингибитора ZnNTP при различных значениях потенциала (б). Зависимость интенсивности потока фотоэлектронов от энергии связи Eв.
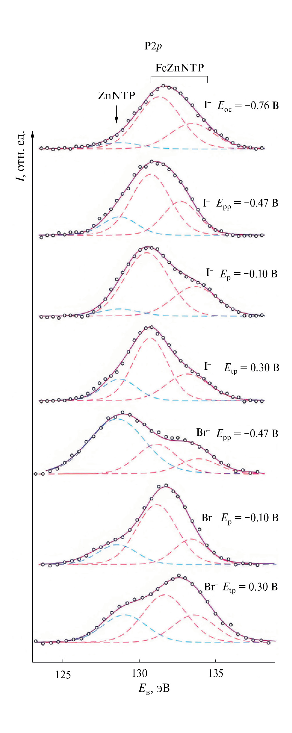
Спектры P2p-электронов фосфора поверхности пассивных пленок (рис. 4) включают три составляющих с максимумами интенсивности при 133.3–133.5, 134.4–134.6 и 135.2– –135.3 эВ. Составляющая с максимумом энергии связи EB = 133.3–133.5 эВ соответствует спектру Р2р-электронов эталонного ингибитора ZnNTP. Все атомы фосфора в PO3-группах ингибитора ZnNTP, каждая из которых связана с атомом металла, являющегося донором электронов, химически эквиваленты. Составляющие спектра с максимумами энергии EB = 134.4–134.6 и EB = 135.2–135.3 эВ соответствуют P2p-спектру эталонного комплекса FeZnNTP, в котором атомы фосфора находятся в химически неэквивалентных PO3-группах: две PO3-группы участвуют в координации атома металла, являющегося донором электронов, и имеют меньшую величину энергии связи P2p-электронов (EB = 134.4–134.6 эВ), а третья PO3-группа не координирована атомом металла и имеет большую величину энергии связи (EB = 135.2–135.3 эВ).
Рис. 4. РФЭ-спектры Р2р-электронов пассивных пленок, сформированных на образцах стали Ст3кп в ББР (pH 7.4), с добавками 1.4 ммоль/дм3 ионов I–/Br– и 5 г/дм3 ингибитора ZnNTP при различных значениях потенциала. Зависимость интенсивности потока фотоэлектронов от энергии связи Eв.
Анализ спектров пассивных слоев, образованных в йодидсодержащих средах при различных значениях потенциала, показывает, что в пленках преобладает продукт реакции (1) FeZnNTP, который образуется в условиях встречной диффузии ионов Fe2+ и ZnNTP через оксидную пленку. Адсорбированный ингибитор ZnNTP содержится в незначительных количествах, что свидетельствует о полноте протекания реакции (1). Максимальная степень конверсии ZnNTP в продукт реакции FeZnNTP наблюдается в пассивной области при Ер = –0.10 В. В транспассивной области (Etp = 0.30 В) интенсивность составляющих спектра Р2р-электронов, соответствующих комплексу FeZnNTP, также остается высокой.
Спектры пленок, сформированных в бромидсодержащих средах при потенциале начала пассивации Epp, в отличие от пленок, образованных в иодидсодержащих средах, характеризуются значительным вкладом составляющей, соответствующей непрореагировавшему ингибитору ZnNTP. Судя по интенсивности составляющей с EB = 133.3–133.5 эВ в пленке, сформированной при Ер в присутствии Br–, степень превращения исходного ингибитора в гетерометаллический комплекс FeZnNTP, ниже, чем в пленке, сформированной в аналогичных условиях в присутствии I–, также доля комплекса FeZnNTP в пленке, сформированной при Etp в среде с Br–-ионами, оказывается меньше, чем в пленке, сформированной в среде с I–-ионами.
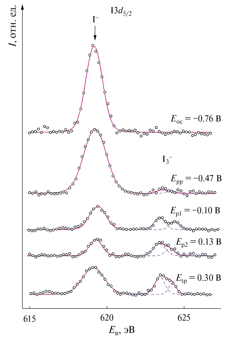
На рис. 5 представлены РФЭ-спектры I3d5/2-электронов пассивных пленок, сформированных на образцах стали Ст3кп в ББР (pH 7.4), содержащем 1.4 ммоль/дм3 ионов I– и 5 г/дм3 ингибитора ZnNTP при различных значениях анодного потенциала: Еос, Ерр, потенциалах области пассивности Ер1 и Ер2, Еtp. Очевидно, что все пленки, независимо от значения потенциала, при котором они сформированы, содержат значительное количество I–-ионов, о чем свидетельствуют максимумы на спектрограммах при EB = 619.2–619.3 эВ. Однако особенно велика интенсивность пиков I– в спектрах пассивных слоев, образованных при Еос и Ерр. С ростом потенциала формирования пленки появляются фрагменты спектра, соответствующие трийодид-иону I3–, который образуется в результате протекания реакций (4)–(6). Спектр I3– включает две составляющие с максимумами интенсивности при 623.6 и 624.5 эВ. Составляющая с ЕВ = 623.6 эВ соответствует концевым атомам I в линейной структуре I3–, составляющая с ЕВ = 624.5 эВ – центральному атому I [59]. РФЭ-спектры с послойным травлением ионами Ar пленок, сформированных в йодидсодержащих растворах, показали присутствие I– и I3– только на поверхности. В отличие от I–-ионов, Br–-ион не регистрируется в РФЭ-спектрах.
Рис. 5. РФЭ-спектры I3d5/2-электронов пассивных пленок, сформированных на образцах стали Ст3кп в ББР (pH 7.4), с добавками 1.4 ммоль/дм3 ионов I– и 5 г/дм3 ингибитора ZnNTP при различных значениях потенциала. Зависимость интенсивности потока фотоэлектронов от энергии связи Eв.
На поверхности пассивной пленки (δ = 1 нм) на образцах, поляризованных при Ер в ББР с добавками 1.4 ммоль/дм3 Br– и I– (рис. 6), доля кислорода составляет около 65 ат.%. Доля железа на образце, поляризованном в присутствии I–, – ~ 15 ат.%, в присутствии Br– – ~ 25 ат.%. На образце, поляризованном в йодидсодержащей среде, на глубине 20 нм доля железа возрастает до ~ 55 ат.%, доля кислорода снижается до ~ 35 ат.%. На образце, поляризованном в среде, содержащей Br–, наблюдается плавное изменение концентрации Fe и O – на глубине 30 нм эти величины составляют около 40 и 50 ат.% соответственно. Условная толщина оксидно-гидроксидной части пассивной пленки, сформированной в среде I–, соответствующая мольному соотношению O:FeO 1:1, составляет около 12 нм. В пленке, образованной в бромидсодержащей среде, мольное соотношение O:FeO, равное 1:1, не достигается даже на глубине травления 30 нм.
Рис. 6. Профили элементного состава поверхностных слоев образцов стали Ст3кп, подвергнутых поляризации в ББР (рН 7.4), с добавкой 1.4 ммоль/дм3 I– при Ер = –0.15 В (а) и с добавкой 1.4 ммоль/дм3 Br– при Ер = –0.08 В (б). Зависимость концентрации основных элементов c от глубины травления δ.
На поверхности пассивной пленки (δ = 1 нм) на образце, поляризованном в ББР с добавкой 1.4 ммоль/дм3 I– и 5 г/дм3 ZnNTP при Ер = –0.10 В (рис. 7a), доля железа составляет ~ 15 ат.%, доля кислорода – ~ 53 ат.%. На образце, поляризованном в ББР с добавкой 1.4 ммоль/дм3 Br– и 5 г/дм3 ZnNTP при Ер = –0.10 В (рис. 7б), эти величины составляют ~ 20 ат.% и ~ 57 ат.% соответственно. Для обоих образцов доля Fe повышается до ~ 65 ат.% на глубине 20 нм, а доля О снижается до ~ 20 ат.%. Эти изменения для пленок, сформированных в йодидсодержащих средах, носят более плавный характер, чем в бромидсодержащих средах. Условная толщина оксидно-гидроксидной части пленки, сформированной в присутствии I– и ZnNTP, с мольным соотношением Fe:O 1:1 составляет 4–5 нм; пленки, сформированной в среде Br– и ZnNTP, – 7–8 нм.
Характер изменения атомной доли элементов N, P, Zn, входящих в состав ингибитора, носит различный характер для пленок, образованных в средах, содержащих I– и Br–-ионы (рис. 7). В йодидсодержащих средах доли N и P на поверхности значительно выше, чем в глубине, и превышают 5 ат.%, на глубине 20 нм содержание N, P и Zn составляет приблизительно от 3 до 5 ат.%. В пленках, сформированных в бромидсодержащих средах, наблюдается более низкое содержание N, P и Zn даже на поверхности (не более 5 ат.%) и более плавное изменение концентраций этих элементов, чем в пленках, образованных в средах с I–-ионами.
Рис. 7. Профили элементного состава поверхностных слоев образцов стали Ст3кп, подвергнутых поляризации в ББР (рН 7.4), с добавкой 1.4 ммоль/дм3 I– и 5 г/дм3 ZnNTP при Ер = –0.10 В (а) и с добавкой 1.4 ммоль/дм3 Br– и 5 г/дм3 ZnNTP при Ер = –0.10 В (б). Зависимость концентрации основных элементов c от глубины травления δ.
Таким образом, характер действия бромид- и йодид-ионов на коррозионно-электрохи- мическое поведение стали Ст3кп является во многом сходным, но, судя по величинам ic и ip в чистом ББР без добавок, I–-ион оказывается менее агрессивным по сравнению с Br–-ионом. Этот факт хорошо согласуется с данными РФЭ-спектроскопии. Обладая средним значением абсолютной жесткости (ηB = 4.2 эВ), Br–, по-видимому, практически не адсорбируется ни на неокисленном железе (ηB = 3.7 эВ), ни на его оксидах и гидроксидах (ηB (Fe2+) = 7.3 эВ; ηB (Fe3+) = 13.1 эВ). При этом Br–-ионы активно взаимодействует с поверхностью образца с образованием хорошо растворимых комплексов [FeBrn], которые переходят в электролит. Оксидно-гидроксидные пленки, образующиеся в бромидсодержащих средах, характеризуются значительной толщиной – более 30 нм, что свидетельствует об интенсивных окислительных процессах. Тем не менее эти пленки отличаются несплошностью, о чем свидетельствуют максимумы на спектрах Fe2p3/2-электронов при EB = 706.7–707.2 эВ, соответствующие Fe0, на основании чего можно заключить, что Br–-ионы стимулируют локальную коррозию.
В отличие от ионов Br–, I–-ионы хорошо адсорбируются на поверхности неокисленного железа, тем самым замедляя коррозионные процессы, что подтверждают данные поляризационных измерений и РФЭС. Очевидно, что I–-ионы практически не разрушают оксидную пленку, что также согласуется с данными РФЭС.
По данным РФЭС, в процессе увеличения потенцала анода происходит окисление I– до I3– в соответствии с уравнениями реакций (4)–(6). В работе [60] изучалась адсорбция I– и I3– на оксидах никеля. Обнаружено, что ионы I− действуют как необратимые пассивирующие агенты естественных дефектов поверхности NiO, а ионы I3− – как необратимые пассивирующие агенты электрогенерированных заряженных участков Ni3+ и Ni4+. Можно предположить, что взаимодействие поверхности Fe и FeOx с ионами I− протекает аналогично процессам в никельсодержащей системе. Преобладание окисленных форм железа, по данным РФЭС, хорошо согласуется с предположением, что на оксидах железа наблюдается адсорбция ионов I3–, которые, по данным [60], могут выступать в качестве пассиватора. Толщина оксидно-гидроксидной части пленки, сформированной в среде ББР с добавкой I–-ионов, составляет около 12 нм – это существенно меньше толщины пленки, образованной в среде с Br–-ионами, и свидетельствует о меньшей интенсивности окислительных процессов в йодидсодержащих средах.
Анализ данных поляризационных измерений в бромид- и йодидсодержащих средах с добавкой ингибитора ZnNTP показывает, что действие ZnNTP как ингибитора коррозии сильнее проявляется в бромидсодержащих средах. По данным РФЭС, пленки, сформированные в присутствии Br–-ионов, содержат значительное количество неокисленного железа, в отличие от пленок, образованных в среде c I–-ионами. Анализ спектров Р2р-электронов с послойным травлением свидетельствует, что в бромидсодержащих средах степень превращения исходного ингибитора ZnNTP в комплекс FeZnNTP ниже, чем в йодидсодержащих средах. Связывая этот факт с процессом активного разрушения оксидно-гидроксидной пленки в присутствии Br–-ионов, можно предположить, что адсорбция ZnNTP с большей вероятностью протекает на окисленной поверхности железа. Толщина оксидно-гидроксидной части пленки, образующейся в присутствии Br– и ZnNTP, – 7–8 нм, пленки, образующейся в присутствии I– и ZnNTP, – 4–5 нм. Таким образом, и в присутствии ингибитора окисление является более активным в бромидсодержащих средах по сравнению с йодидсодержащими средами. Сопоставление величин толщины оксидно-гидроксидной части пленок в Br–-содержащих средах в отсутствие и с добавкой ZnNTP (более 30 нм и 7–8 нм соответственно) свидетельствует о существенном замедлении коррозионных процессов в ингибиторной среде ввиду протекания реакции (1), которая, во-первых, является конкурентной реакции образования растворимых комплексов [FeBrn], а во-вторых, способствует образованию защитного слоя. Однако, судя по максимумам интенсивности Fe0 в спектрах Fe2p1/2-электронов, образованные в ингибиторной среде в присутствии Br– пленки оказываются менее сплошными, чем пленки, образованные в среде с I– и ZnNTP.
ЗАКЛЮЧЕНИЕ
По данным электрохимических измерений и РФЭС, в среде ББР (рН 7.4) в безингибиторной среде Br–-ионы проявляют большую коррозионную активность по отношению к Ст3кп по сравнению с I–-ионами. Коррозия в присутствии ионов Br– носит неравномерный характер. Ионы Br– и I–образуют с ионами железа растворимые комплексы [FeXn], которые переносятся в коррозионную среду. Пленки, сформированные в йодидсодержащих средах, отличаются большей сплошностью, чем пленки, сформированные в бромидсодержащих средах. I–-ионы адсорбируются преимущественно на неокисленном железе и в меньшей степени, чем Br–, разрушают оксидно-гидроксидную пленку. Образующиеся в процессе окисления I– трииодид-ионы I3–, по-видимому, склонны к адсорбции на оксидах и гидроксидах железа, хотя влияние I3– на коррозионные процессы остается неясным и требует дальнейшего изучения.
Введение ингибитора ZnNTP в коррозионную среду изменяет состав и структуру пассивной пленки: помимо оксидов и гидроксидов Fe(II) и Fe(III), в пленке обнаруживается гетерометаллический полиядерный комплекс FeZnNTP, существенно повышающий защитные антикоррозионные свойства пассивной пленки. Процесс конверсии исходного ZnNTP в продукт FeZnNTP в большей степени реализуется в йодидсодержащих средах, где поверхность образца содержит большее количество окисленного железа по сравнению с поверхностью образца в бромидсодержащих средах. Условная толщина оксидно-гидроксидной части пленки, сформированной в ингибиторной среде в присутствии Br–, – 7–8 нм, в присутствии I– – 4–5 нм. Оксидно-гидроксидные пленки, легированные гетерометаллическим комплексом FeZnNTP, характеризуются сплошностью и низкой проницаемостью для ионов железа и коррозионной среды. Особенно эффективно проявляются защитные свойства FeZnNTP в бромидсодержащих средах.
Ингибитор ZnNTP эффективно подавляет коррозионные процессы в нейтральных водных средах, содержащих Br–- и I–-ионы. Присутствие ингибитора в коррозионной среде способствует пассивации стали и возрастанию потенциала транспассивности Etp. Оптимальная концентрация ингибитора ZnNTP в средах, содержащих 1.4 ммоль/дм3 Br– или I–-ионов, составляет 0.2–2 г/дм3 – в данных условиях наблюдаются минимальные значения критической плотности тока ic и плотности тока в пассивной области ip.
Об авторах
И. С. Казанцева
Удмуртский федеральный исследовательский центр Уральского отделения РАН
Email: chaus@udman.ru
Россия, Ижевск
Ф. Ф. Чаусов
Удмуртский федеральный исследовательский центр Уральского отделения РАН
Автор, ответственный за переписку.
Email: chaus@udman.ru
Россия, Ижевск
В. Л. Воробьёв
Удмуртский федеральный исследовательский центр Уральского отделения РАН
Email: chaus@udman.ru
Россия, Ижевск
Н. В. Ломова
Удмуртский федеральный исследовательский центр Уральского отделения РАН
Email: chaus@udman.ru
Россия, Ижевск
Н. Ю. Исупов
Удмуртский федеральный исследовательский центр Уральского отделения РАН
Email: chaus@udman.ru
Россия, Ижевск
Список литературы
- Kappes M.A. // Corros. Rev. 2019. V. 38. № 1. P. 1.
- Кодолов В.И. Замедлители горения полимерных материалов. М.: Химия, 1980. 274 с.
- Itzhak D., Elias O. // Corrosion. 1994. V. 50. P. 131.
- Comprehensive Handbook of Iodine: Nutritional, Biochemical, Pathological and Therapeutic Aspects / By ed. Preedy V.R., Burrow G.N., Watson R. Academic Press, 2009. 1334 p.
- Петрашень В.И. Объемный анализ. М.: Госхимиздат, 1946. 292 с.
- Колотыркин Я.М., Головина Г.В., Флорианович Г.М. // Докл. АН СССР. 1963. Т. 148. № 5. С. 1106.
- Heusler K.E., Landolt D., Trasatti S. // Pure and Appl. Chem. 1989. V. 61. № 1. P. 19.
- Strehblow H.-H., Titze B. // Corros. Sci. 1977. V. 17. P. 461.
- Tousek J. // Corros. Sci. 1975. V. 15. P. 147.
- De Castro M.A.C., Wilde B.E. // Corros. Sci. 1979. V. 19. № 11. P. 923.
- Janik-Czachor M. // J. Electrochem. Soc. 1981. V. 128. № 12. P. 513C.
- Ogura K., Ohama T. // Corrosion. 1981. V. 37. P. 569.
- Khalil W., Haupt S., Strehblow H.-H. // Mater. Corros. 1985. V. 36. № 1. P. 16.
- Vásquez Moll V.D., Acosta C.A., Salvarezza R.C. et al. // Corros. Sci. 1985. V. 25. P. 239.
- Szklarska-Smialowska Z. Pitting and crevice corrosion. Houston, TX: NACE International, 2005. 88 p.
- Tzaneva B.R., Fachikov L.B., Raicheff R.G. // Corros. Eng. Sci. Technol. 2006. V. 41. P. 62.
- Pahlavan S., Moazen S., Taji I. et al. // Corros. Sci. 2016. V. 112. P. 233.
- Salih S.M., Shakir I.K., Al-Sammarraie A.M.A. // Mater. Sci. Appl. 2017. V. 8. № 12. P. 889.
- Soltis J. // Review. Cor. Sci. 2015. V. 90. P. 5.
- Trompette J.L. // Corros. Sci. 2014. V. 82. P. 108.
- Parr R.G., Pearson R.G. // J. Am. Chem. Soc. 1983. V. 105. P. 7512.
- Guo L., Ou Y., Shen X. et al. // J. Electrochem. Sci. 2017. V. 12. P. 7064.
- Liang D.D., Wei X.S., Wang Y. et al. // J. Alloys Compd. 2018. V. 766. P. 964.
- Колотыркин Я.М. Металл и коррозия. М.: Металлургия, 1985. 88 с.
- Hoar T.P., Jacob W.R. // Nature. 1967. V. 216. P. 1299.
- Strehblow H.-H. Corrosion mechanisms in theory and practice (ed. P. Marcus and J. Oudar). NY: Marcel Decker, 1995. 201 p.
- Макдональд Д.Д. // Электрохимия. 2012. Т. 48. № 3. С. 259.
- Ghanbari E., Saatchi A., Kovalov D. et al. // Conference: CORROSION 2018. At: Phoenix Convention Center. Phoenix, AZ, USA. Paper № 11025.
- Jesionek M., Szklarska-Smialowska Z. // Corros. Sci. 1983. V. 23. P. 183.
- Abd El Rehim S.S., Abd El Wahaab S.M., Abdel Maguid E.A. // Mater. Corros. 1986. V. 37. P. 550.
- Pearson R.G. // J. Am. Chem. Soc. 1985. V. 107. P. 6801.
- Кузнецов Ю.И. // Успехи химии. 2004. Т. 73. С. 79.
- Wang G., Qafoku N.P., Szecsody J.E. et al. // ACS Earth and Space Chem. 2019. V. 3. № 11. P. 2415.
- Mor E., Scotto V., Wrubl C. // Br. Corros. J. V. 7. № 6. P. 276.
- Oguzie E.E., Li Y., Wang F.H. // J. Colloid Interface Sci. 2007. V. 310. № 1. P. 90.
- Obot I.B. // Port. Electrochimica Acta. 2009. V. 27. № 5. P. 539.
- Mansri A., Bouras B., Tennouga L. et al. // Der Pharma Chem. 2012. V. 4. № 5. P. 1803.
- Adam M.R., Rahim A.A., Shah A.M. // Ann. For. Sci. 2015. V. 72. № 1. P. 9.
- Sangeetha Y., Meenakshi S., Sundaram C.S. // Adv. Mater. Lett. 2016. V. 7. № 7. P. 587.
- Liu H., Yang Y.-J., Wang L. et al. // Int. J. Electrochem. Sci. 2018. V. 13. P. 10718.
- Ojo F.K; Adejoro I.A; Akpomie K.G. et al. // J. Appl. Sci. Environ. Manage. 2018. V. 22. № 5. P. 775.
- Zhou L., Cheng W., Wang D. et al. // J. Electrochem. Sci. Technol. 2022. V. 13. № 1. P. 138.
- Singh P., Chauhan D.S., Chauhan S.S. et al. // Chemistry Select. 2021. V. 6. P. 11417.
- Kazantseva I.S., Chausov F.F., Lomova N.V. et al. // Mater. Today Commun. 2022. V. 32. Article number 104022.
- Сомов Н.В., Чаусов Ф.Ф. // Кристаллография. 2014. Т. 59. № 1. С. 71. [Somov N.V., Chausov F.F. // Crystallogr. Rep. 2014. V. 59. P. 66.]
- Chausov F.F., Kazantseva I.S., Reshetnikov S.M. et al. // Chemistry Select. 2020. V. 5. P. 13711.
- Chausov F.F., Lomova N.V., Dobysheva L.V. et al. // J. Solid State Chem. 2020. V. 286. Article number 121324.
- Holmes W. // Anat. Rec. 1943. V. 86. P. 157.
- Trapeznikov V.A., Shabanova I.N., Kholzakov A.V. et al. // J. of Electron Spectroscopy and Related Phenomena. 2004. 2004. V. 137–140. P. 383.
- Shirley D.A. // Phys. Rev. 1972. V. 5. P. 4709.
- Wojdyr M. // J. Appl. Crystallogr. 2010. V. 43. P. 1126.
- Xu L., Wu P., Zhu X. et al. // Corros. Sci. 2022. V. 207. Article number 110563.
- Pourbaix M. Atlas of Electrochemical Equilibria in Aqueous Solutions. Houston: National Association of Corrosion Engineers, 1974. 644 p.
- Лурье Ю.Ю. Справочник по аналитической химии. М.: Химия, 1965. 390 с.
- Laurence G.S., Ellis K.J. // J. Chem. Soc. Dalton. 1972. V. 20. P. 2229.
- Lemire R.J., Palmer D.A., Taylor P., Schlenz H. Chemical Thermodynamics of Iron. Part 2. Boulogne-Billancourt: OECD NEA, 2020. 921 p.
- Рабинович В.А., Хавин З.Я. Краткий химический справочник. Л.: Химия, 1977. 376 c.
- Pohl S., Opitz U., Saak W. et al. // Z. Аnorg. Аllg. Chem. 1993. Bd. 619. S. 608.
- Arbman M., Holmberg S., Lundholm M. et al. // J. Chem. Phys. 1983. V. 81. P. 113.
- Bonomo M., Dini D., Marrani A.G. // Langmuir. 2016. V. 32. P. 11540.
Дополнительные файлы









