Hydrogen Evolution on Mechanically Synthesized Particles of Tungsten- and Iron-Based Carbides: WC, Fe3C, Fe3W3C, Fe6W6C
- Authors: Lyalina N.V.1, Syugaev A.V.1, Eryomina M.A.1, Lomayeva S.F.1
-
Affiliations:
- Udmurt Federal Research Center, Ural Branch, Russian Academy of Sciences
- Issue: Vol 97, No 11 (2023)
- Pages: 1638-1646
- Section: PHYSICAL CHEMISTRY OF NANOCLUSTERS, SUPRAMOLECULAR STRUCTURES, AND NANOMATERIALS
- Submitted: 26.12.2023
- Published: 01.11.2023
- URL: https://ogarev-online.ru/0044-4537/article/view/233071
- DOI: https://doi.org/10.31857/S0044453723110213
- EDN: https://elibrary.ru/OOBRFK
- ID: 233071
Cite item
Full Text
Abstract
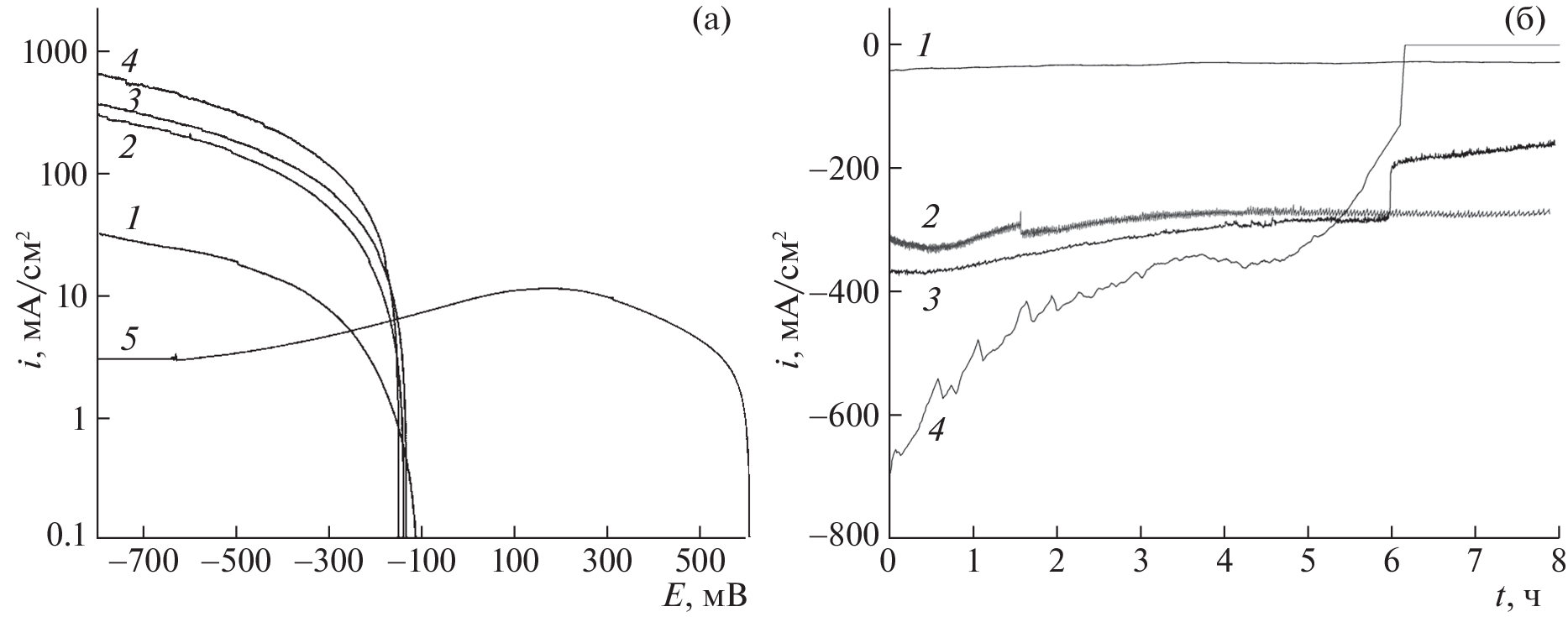
The electrocatalytic activity of a number of mechanically activated/mechanically alloyed carbide phases of iron and tungsten and Fe3W3C and Fe6W6C bimetallic carbides in the evolution of hydrogen has been studied. Electrocatalysts have been prepared by compacting carbide particles with polyaniline as a conducting polymer. The highest activity is exhibited by Fe3C and WC nanocrystalline particles. Metallic phases in the composition of the particles slow down the rate of hydrogen evolution. Subsequent annealing of these particles transforms metallic phases to bimetallic carbides and accelerates the hydrogen evolution. The activity of the phases of Fe3W3C and Fe6W6C bimetallic carbides in the hydrogen evolution is fairly high, but they are inferior to the Fe3C and WC nanocrystalline particles.
About the authors
N. V. Lyalina
Udmurt Federal Research Center, Ural Branch, Russian Academy of Sciences
Email: nvlyalina@udman.ru
426067, Izhevsk, Russia
A. V. Syugaev
Udmurt Federal Research Center, Ural Branch, Russian Academy of Sciences
Email: mrere@mail.ru
426067, Izhevsk, Russia
M. A. Eryomina
Udmurt Federal Research Center, Ural Branch, Russian Academy of Sciences
Email: mrere@mail.ru
426067, Izhevsk, Russia
S. F. Lomayeva
Udmurt Federal Research Center, Ural Branch, Russian Academy of Sciences
Author for correspondence.
Email: mrere@mail.ru
426067, Izhevsk, Russia
References
- Safizadeh F., Ghali E., Houlach G. // Int. J. Hydrogen Energy. 2015. V. 40. P. 256 https://doi.org/10.1016/j.ijhydene.2014.10.109
- Du Y., Zang M., Wang Z. et al. // J. Mater. Chem. A. 2019. V. 7. P. 8602. https://doi.org/10.1039/C9TA00557A
- Zhou M., Sun Q., Shen Y. et al. // Electochimica Acta. 2019. V. 306. P. 651. https://doi.org/10.1016/j.electacta.2019.03.160
- Bentley C.L., Andronescu C., Smialkowski M. et al. // Angewandte Chemie Int. Ed. 2018. V. 57. P. 4093. https://doi.org/10.1002/anie.201712679
- Seo B., Jung G.Y., Kim J.H. et al. // Nanoscale. 2018. V. 10. P. 3839. https://doi.org/10.1039/C7NR08161H
- Nguyen Q.T., Nguyen P.D., Nguyen D.N. et al. // ACS Appl. Mater. Interfaces. 2018. V. 10. P. 8659. https://doi.org/10.1021/acsami.7b18675
- De Silva U., Masud J., Zhang N. et al. // J. Mater. Chem. A. 2018. V. 6. P. 7608. https://doi.org/10.1039/C8TA01760C
- Tang S., Zhang Z., Xiang J. et al. // Front. Chem. 2022. V. 10. P. 1073175. https://doi.org/10.3389/fchem.2022.1073175
- Chen Y.-Y., Zhang Y., Jiang W.-J. et al. // ACS Nano. 2016. V. 10. P. 8851. https://doi.org/10.1021/acsnano.6b04725
- Yang C.C., Zai S.F., Zhou Y.T. et al. // Adv. Funct. Mater. 2019. V. 29. P. 1901949. https://doi.org/10.1002/adfm.201901949
- Tang Y., Lan K., Li F., Jiang P. et al. // Int. J. Hydrogen Energy. 2019. V. 44. P. 9328. https://doi.org/10.1016/j.ijhydene.2019.02.115
- Liu Y.-R., Hu W.-H., Li X. et al. // Appl. Surf. Sci. 2016. V. 384. P. 51. https://doi.org/10.1016/j.apsusc.2016.05.007
- Dong T., Zhang X., Cao Y. et al. // Inorg. Chem. Front. 2019. V. 6. P. 1073. https://doi.org/10.1039/C8QI01335G
- Wang X.-L., Tang Y.-J., Huang W. et al. // ChemSusChem. 2017. V. 10. P. 2402. https://doi.org/10.1002/cssc.201700276
- Su J., Zhou J., Wang L. et al. // Sci. Bull. 2017. V. 62. P. 633. https://doi.org/10.1016/j.scib.2016.12.011
- Ma Y., Guan G., Hao X. et al. // Renew. Sust. Energ. Rev. 2017. V. 75. P. 1101. https://doi.org/10.1016/j.rser.2016.11.092
- Ko Y.-J., Cho J.-M., Kim I. et al. // Appl. Catal. B. Environmental. 2017. V. 203. P. 684. https://doi.org/10.1016/j.apcatb.2016.10.085
- Ma Y.-Y., Lang Z.-L., Yan L.-K. et al. // Energy Environ. Sci. 2018. V. 11. P. 2114. https://doi.org/10.1039/C8EE01129J
- Song C., Wu S., Shen X. et al. // J. Colloid Interf. Sci. 2018. V. 524. P. 93. https://doi.org/10.1016/j.jcis.2018.04.026
- Li S., Ren P., Yang C. et al. // Sci. Bull. 2018. V. 63. P. 1358. https://doi.org/10.1016/j.scib.2018.09.016
- Болдырев В.В. // Успехи химии. 2006. Т. 73. № 3. С. 203. (Boldyrev V.V. // Russian Chemical Reviews. 2006. V. 75. № 3. P. 177). https://doi.org/10.1070/rc2006v075n03abeh001205
- Syugaev A.V., Lyalina N.V., Lomayeva S.F. et al. // J. Solid State Electrochem. 2015. V. 19. P. 2933. https://doi.org/10.1007/s10008-015-2903-y
- Syugaev A.V., Lyalina N.V., Lomayeva S.F. et al. // J. Solid State Electrochem. 2016. V. 20. P. 775. https://doi.org/10.1007/s10008-015-3108-0
- Wu Z., Fang B., Bonakdarpoun A. et al. // Appl. Catal. B: Environ. 2012. V. 125. P. 59. https://doi.org/10.1016/j.apcatb.2012.05.013
- Ambrosi A., Chia X., Sofer Z. et al. // Electrochem. Commun. 2015. V. 54. P. 36. https://doi.org/10.1016/j.elecom.2015.02.017
- Сюгаев А.В., Лялина Н.В., Ломаева С.Ф. и др. // Физикохимия поверхности и защита материалов. 2012. Т. 48. С. 429 (Syuagev A.V., Lyalina N.V., Lomayeva S.F. et al. // Prot. Met. Phys. Chem. Surf. 2012. V. 48. P. 515). https://doi.org/10.1134/S2070205112050127
- Сюгаев А.В., Ломаева С.Ф., Решетников С.М. // Физикохимия поверхности и защита материалов. 2010. Т. 46. С. 74 (Syuagev A.V., Lomayeva S.F., Reshetnikov S.M. // Prot. Met. Phys. Chem. Surf. 2010. V. 46. P. 82). https://doi.org/10.1134/S2070205110010120
- Shelekhov E.V., Sviridova T.A. // Met. Sci. Heat Treat. 2000. V. 42. P. 309. https://doi.org/10.1007/BF02471306
- https://www.ill.eu/sites/fullprof/
- Ломаева С.Ф. // ФММ. 2007. Т. 104. С. 403 (Lomayeva S.F. // Phys. Met. Metallogr. 2007. V. 104. P. 388). https://doi.org/10.1134/S0031918X07100092
Supplementary files









