Размер и содержание наночастиц меди в ионообменной матрице для интенсивного стационарного электровосстановления растворенного в воде кислорода
- Авторы: Кравченко Т.А.1, Фертикова Т.Е.2, Головин И.А.1, Мартынов А.Э.1
-
Учреждения:
- Воронежский государственный университет
- Воронежский государственный медицинский университет
- Выпуск: Том 97, № 12 (2023)
- Страницы: 1729-1738
- Раздел: ФИЗИЧЕСКАЯ ХИМИЯ НАНОКЛАСТЕРОВ, СУПРАМОЛЕКУЛЯРНЫХ СТРУКТУР И НАНОМАТЕРИАЛОВ
- Статья получена: 26.12.2023
- Статья опубликована: 01.12.2023
- URL: https://ogarev-online.ru/0044-4537/article/view/233061
- DOI: https://doi.org/10.31857/S0044453723120154
- EDN: https://elibrary.ru/BRAWUF
- ID: 233061
Цитировать
Полный текст
Аннотация
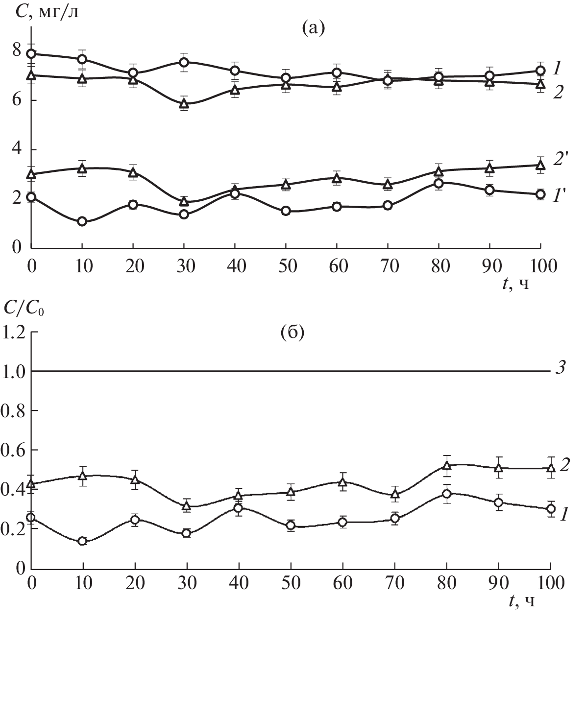
Исследованы медь-ионообменные композиты с частицами металлического компонента различных размеров и содержания в электровосстановлении растворенного в воде кислорода. Показано, что первичный размерный эффект имеет существенное значение для образцов с низкой емкостью по металлу: чем меньше размер частиц металла, тем выше скорость процесса. В то же время на высокоемких по металлу образцах процесс происходит примерно с одинаковой скоростью на частицах меди, полученных разными восстановителями, из-за близкого размера. Проявляется вторичный размерный эффект коллективного взаимодействия частиц металла. Выполнен совместный учет воздействия размера и содержания частиц металла с помощью предложенного наноразмерного комплекса, представляющего соотношение емкости и размера. Показано, что на уровне перколяции электронной проводимости наноразмерный комплекс достигает предельной величины, соответствующей наиболее высокой степени развития реакционной поверхности, что позволяет увеличить ток до предельно допустимого. Процесс восстановления кислорода происходит по нескольким маршрутам: за счет реакции электровосстановления на частицах меди в основном на поверхности зерен нанокомпозита и за счет автокаталитической химической реакции с электрорегенерируемыми наночастицами металла в объеме зерен нанокомпозита. В целом процесс электровосстановления кислорода выходит на интенсивный стационарный режим.
Ключевые слова
Об авторах
Т. А. Кравченко
Воронежский государственный университет
Email: krav280937@yandex.ru
Россия, Воронеж
Т. Е. Фертикова
Воронежский государственный медицинский университет
Email: krav280937@yandex.ru
Россия, Воронеж
И. А. Головин
Воронежский государственный университет
Email: krav280937@yandex.ru
Россия, Воронеж
А. Э. Мартынов
Воронежский государственный университет
Автор, ответственный за переписку.
Email: krav280937@yandex.ru
Россия, Воронеж
Список литературы
- Сергеев Г.В. Нанохимия: учебное пособие М.: КДУ, 2007. 333 с.
- Крылов О.В. Гетерогенный катализ: учебное пособие для вузов М.: ИКЦ “Академкнига”, 2004. 679 с.
- Ролдугин В.И. Физикохимия поверхности М.: Интеллект, 2008. 568 с.
- Суздалев И.П. Нанотехнология: физико-химия нанокластеров, наноструктур, наноматериалов М.: КомКнига, 2006. 532 с.
- Пул Ч., Оуэнс Ф. Нанотехнологии М.: Техносфера, 2006. 336 с.
- Мелихов И.В. Физико-химическая эволюция твердого тела М.: БИНОМ, Лаборатория знаний, 2009. 309 с.
- Помогайло А.Д., Розенберг А.С., Уфлянд И.Е. Наночастицы металлов в полимерах М.: Химия, 2000. 672 с.
- Сергеева О.В., Рахманов С.К. Введение в нанохимию: пособие для студ. хим. фак. Минск: БГУ, 2009. 175 с.
- Чоркендорф И., Наймантсведрайт Х. Современный катализ и химическая кинетика: научное издание. Долгопрудный: Издательский Дом “Интеллект”, 2010. 504 с.
- Трипачев О.В., Тарасевич М.Р. // Журн. физ. химии. 2013. Т. 87. С. 835 [Tripachev O.V. and Tarasevich M.R. // Russ. J. Phys. Chem. A, 2013. V. 87. P. 820].
- Lu Y. and Chen W. // J. Power Sources, 107 (2012). P. 107.
- Cuenya B.R., Behafarid F. // Surface Science Reports, 70 (2015). P. 135.
- Sarkar S., Guibal E., Quignard F. et al. // J. Nanopart Res (2012) 14: P. 715.
- Erikson H., Lusi M., Sarapuu A. et al. // Electrochimica Acta. V. 188 (2016). P. 301.
- Selvaraju T., Ramaraj R. // PRAMANA – Indian Academy of Sciences V. 65. № 4. J. of October 2005 Physics. P. 713.
- Ting Ch.-Ch., Liu Ch.-Hs., Tai Ch.-Y. et al. // J. of Power Sources. 2015. № 280. P. 166.
- Reske R., Mistry H., Behafarid F. et al. // J. Am. Chem. Soc. 2014. № 136. P. 6978.
- Nesselberger M., Roefzaad M., Hamou R F. et al. // Nature Materials. 2013. № 12. P. 919.
- Proch S., Wirth M., White H.S. et al. // J. Am. Chem. Soc. 2013. № 135. P. 3073.
- Чернавский П.А., Панкина Г.В., Иванцов М.И. и др. // Журн. физич. химии. 2013. Т. 87. № 8. С. 1356–1360 [Chernavsky P.A., Pankina G.V., Ivantsov M.I. et al. // Russ. J. Phys. Chem. A, 2013. V. 87. № 8. P. 1356–1360].
- Leontyev I.N., Belenov S.V., Guterman V.E. et al. // J. Phys. Chem. C. 2011. № 115. P. 5429–5434.
- Ярославцев А.Б. // Российские нанотехнологии. 2012. Т. 7. № 9–10. С. 8–18 [Yaroslavtsev A.B. // Nanotechnologies in Russia, 2012. V. 7. Nos. 9–10. P. 437.]
- Кравченко Т.А., Полянский Л.Н., Калиничев А.И., Конев Д.В. Нанокомпозиты металл-ионообменник. М.: Наука, 2009. 391 с.
- Кравченко Т.А., Золотухина Е.В., Чайка М.Ю., Ярославцев А.Б. Электрохимия металл-ионообменных нанокомпозитов. М.: Наука; 2013. 365 с.
- КравченкоТ.А., Вахнин Д.Д., Придорогина В.Е. и др. // Электрохимия. 2019. Т. 55. № 12. С. 1524. [Kravchenko T.A., Vakhnin D.D., Pridorogina V.E. et al. // Russ. J. of Electrochemistry, 2019. V. 55. № 12. P. 1251].
- Вахнин Д.Д., Полянский Л.Н., Кравченко Т.А. и др. // Журн. физ. химии. 2019. Т. 93. № 5. С. 749 [Vakhnin D.D., Polyanskii L.N., Kravchenko T.A. et al. // Russ. J. Phys. Chem. A, 2019. V. 93. № 5. P. 793].
- Фертикова Т.Е., Фертиков С.В., Исаева Е.М. и др. // Конденсированные среды и межфазные границы. 2021. Т. 23. № 43. С. 614 [Fertikova T.E., Fertikov S.V., Isaeva E.M., et al. // Condensed Matter and Interphases (in Russian), 2021. V. 23. № 4. P. 614].
- Вахнин Д.Д. Полянский Л.Н., Козадеров О.А. и др. // Российские нанотехнологии, 2022. Т. 17. № 6. С. 799 [Vakhnin D.D., Fertikova T.E., Polyanskii L.N. et al. // Nanobiotechnology Reports, 2022. V. 17. № 6. Р. 811].
- . СанПиН 2.1.3684-21 “Санитарно-эпидемиологические требования к содержанию территорий городских и сельских поселений, к водным объектам, питьевой воде и питьевому водоснабжению, атмосферному воздуху, почвам, жилым помещениям, эксплуатации производственных, общественных помещений, организации и проведению санитарно-противоэпидемических (профилактических) мероприятий”. 66 с.
- СанПиН 1.2.3685-21 “Гигиенические нормативы и требования к обеспечению безопасности и (или) безвредности для человека факторов среды обитания”. 1143 с.
- Кравченко Т.А., Шевцова Е.А., Крысанов В.А. // Сорбционные и хроматографические процессы. 2021. Т. 21. № 5. С. 630 [Kravchenko T.A., Shevtsova E.A., Krysanov V.A. // Sorption and Сhromatographic Рrocesses, 2021. V. 21. № 5. P. 630].
- Кравченко Т.А., Полянский Л.Н., Крысанов В.А. и др. // 16-е Совещание с международным участием “Фундаментальные проблемы ионики твердого тела”. Московская обл., г. Черноголовка, 27 июня–03 июля 2022 г. С. 171–173. web-site: http://fpssi16.altes.su/
- Миркин Л.И. Рентгеноструктурный анализ. Справочное руководство: Получение и измерение рентгенограмм. М.: Наука, 1976. 326 с.
- Muraviev D.N., Domenech B., Bastos-Arrieta J. et al. // Ion Exchange Technologies. 2012. P. 35–72.
Дополнительные файлы








