Determination of the Stability Constants of Supramolecular Complexes of Ester Derivatives of Betulin with Randomly Methylated β-Cyclodextrin by Affinity Capillary Electrophoresis
- Authors: Sursyakova V.V.1, Levdansky V.A.1, Rubaylo A.I.1,2
-
Affiliations:
- Institute of Chemistry and Chemical Technology, Federal Research Center “Krasnoyarsk Scientific Center,” Siberian Branch, Russian Academy of Sciences
- Siberian Federal University
- Issue: Vol 97, No 10 (2023)
- Pages: 1464-1470
- Section: PHYSICAL CHEMISTRY OF NANOCLUSTERS, SUPRAMOLECULAR STRUCTURES, AND NANOMATERIALS
- Submitted: 18.10.2023
- Published: 01.10.2023
- URL: https://ogarev-online.ru/0044-4537/article/view/140330
- DOI: https://doi.org/10.31857/S0044453723100230
- EDN: https://elibrary.ru/PTZXWM
- ID: 140330
Cite item
Full Text
Abstract
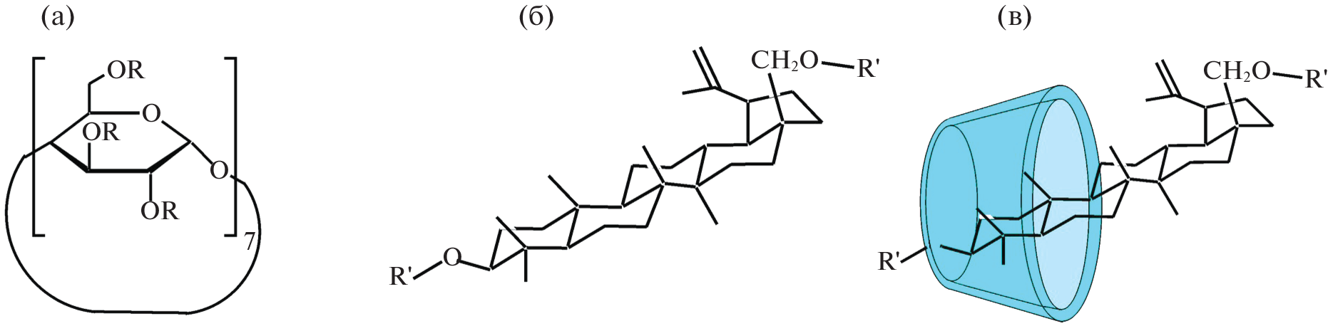
Using affinity capillary electrophoresis, the stability constants of inclusion complexes of a number of betulin ester derivatives with randomly methylated β-cyclodextrin in 0.0100 M sodium tetraborate (pH 9.18, ionic strength 0.0200 M) at 25°С were determined for the first time. The decimal logarithms of the stability constants of 1 : 1 complexes of betulin 3,28-diphthalate, betulin 3,28-disulfate, and betulin 3,28-disuccinate in a 95% confidence interval were 4.64 ± 0.05, 4.78 ± 0.02, and 4.94 ± 0.02, respectively. The logarithms of the stability constants of 1 : 2 complexes of betulin 3,28-diphthalate and betulin 3,28-disulfate were 7.91 (6.66–8.19) and 8.02 (7.63–8.23), respectively. It was determined that betulin 3,28-disuccinate forms only 1 : 1 complex. The obtained stability constants of 1 : 1 complexes are generally higher than those of the complexes of the same compounds with β-cyclodextrin (β-CD) and lower than those for dimethyl-β-CD, γ-CD, and (2-hydroxypropyl)-γ-CD complexes.
About the authors
V. V. Sursyakova
Institute of Chemistry and Chemical Technology, Federal Research Center “Krasnoyarsk Scientific Center,” Siberian Branch, Russian Academy of Sciences
Email: viktoria_vs@list.ru
660036, Krasnoyarsk, Russia
V. A. Levdansky
Institute of Chemistry and Chemical Technology, Federal Research Center “Krasnoyarsk Scientific Center,” Siberian Branch, Russian Academy of Sciences
Email: viktoria_vs@list.ru
660036, Krasnoyarsk, Russia
A. I. Rubaylo
Institute of Chemistry and Chemical Technology, Federal Research Center “Krasnoyarsk Scientific Center,” Siberian Branch, Russian Academy of Sciences; Siberian Federal University
Author for correspondence.
Email: viktoria_vs@list.ru
660036, Krasnoyarsk, Russia; 660041, Krasnoyarsk, Russia
References
- Crini G. // Chem. Rev. 2014. V. 114. P. 10940. https://doi.org/10.1021/cr500081p
- Толстиков Г.А., Флехтер О.Б., Шульц Э.Э. и др. // Химия в интересах устойчивого развития. 2005. Т. 13. С. 1. Tolstikov G.A., Flekhter O.B., Shultz E.E. et al. // Chem. Sustainable Develop. 2005. V. 13. P. 1.
- Sbârcea L., Ledeţi A., Udrescu L. et al. // J. Therm. Anal. Calorimetry. 2019. V. 138. P. 2787. https://doi.org/10.1007/s10973-019-08359-6
- Claude B., Morin Ph., Lafosse M., Andre P. // J. Chromatogr. A. 2004. V. 1049. P. 37. https://doi.org/10.1016/j.chroma.2004.06.133
- Fontanay S., Kedzierewicz F., Duval R.E., Clarot I. // J. Incl. Phenom. Macrocycl. Chem. 2012. V. 73. P. 341. https://doi.org/10.1007/s10847-011-0063-y
- Попова О.В., Сурсякова В.В., Бурмакина Г.В. и др. // Докл. АН. 2015. Т. 461. № 1. С. 41. Popova O.V., Sursyakova V.V., Burmakina G.V. et al. // Dokl. Chem. 2015. V. 461. № 1. P. 67. https://doi.org/10.1134/S001250081503003910.1134/S0012500815030039https://doi.org/10.7868/S0869565215070154
- Ren T., Xu Z. // Electrophoresis. 2018. V. 39. P. 1006. https://doi.org/10.1002/elps.201700408
- Sursyakova V.V., Levdansky V.A., Rubaylo A.I. // J. Mol. Liq. 2019. V. 283. P. 325. https://doi.org/10.1016/j.molliq.2019.03.092
- Sursyakova V.V., Levdansky V.A., Rubaylo A.I. // Electrophoresis. 2020. V. 41. P. 112. https://doi.org/10.1002/elps.201900347
- Sursyakova V.V., Levdansky V.A., Rubaylo A.I. // Anal. Bioanal. Chem. 2020. V. 412. P. 5615. https://doi.org/10.1007/s00216-020-02777-4
- Sursyakova V.V., Levdansky V.A., Rubaylo A.I. // J. Sib. Fed. Univ. Chem. 2020. V. 13. № 4. P. 534. https://doi.org/10.17516/1998-2836-0203
- Sursyakova V.V., Levdansky V.A., Rubaylo A.I. // Electrophoresis. 2021. V. 42. P. 700. https://doi.org/10.1002/elps.202000189
- Sursyakova V.V., Rubaylo A.I. // J. Sep. Sci. 2021. V. 44. № 22. P. 4200. https://doi.org/10.1002/jssc.202100507
- Sursyakova V.V., Levdansky V.A., Rubaylo A.I. // Electrophoresis. 2022. V. 43. P. 535. https://doi.org/10.1002/elps.202100173
- Sursyakova V.V., Levdansky V.A., Rubaylo A.I. // J. Sep. Sci. 2022. V. 45. № 19. P. 3745. https://doi.org/10.1002/jssc.202200453
- Sursyakova V.V., Maksimov N.G., Levdansky V.A., Rubaylo A.I. // J. Incl. Phenom. Macrocycl. Chem. 2023. V. 103. № 3–4. P. 109. https://doi.org/10.1007/s10847-023-01182-5
- Buko V., Zavodnik I., Palecz B. et al. // J. Mol. Liq. 2020. V. 309. art. № 113118. https://doi.org/10.1016/j.molliq.2020.113118
- Dehelean C.A., Soica C., Peev C. et al. // Farmacia. 2011. V. 59. № 1. P. 51.
- Popova O.V., Sursyakova V.V., Burmakina G.V. et al. // J. Sib. Fed. Univ. Chem. 2016. V. 9. № 2. P. 171. https://doi.org/10.17516/1998-2836-2016-9-2-171-176
- Sursyakova V.V., Maksimov N.G., Levdansky V.A., Rubaylo A.I. // J. Pharm. Biomed. Anal. 2018. V. 160. P. 12. https://doi.org/10.1016/j.jpba.2018.07.038
- Sursyakova V.V., Levdansky V.A., Rubaylo A.I. // Electrophoresis. 2019. V. 40. P. 1656. https://doi.org/10.1002/elps.201800516
- Olabi M., Stein M., Wätzig H. // Methods. 2018. V. 146. P. 76. https://doi.org/10.1016/j.ymeth.2018.05.006
- Dubský P., Dvořák M., Ansorge M. // Anal. Bioanal. Chem. 2016. V. 408. P. 8623. https://doi.org/10.1007/s00216-016-9799-y
- Bowser M.T., Chen D.D.Y. // J. Phys. Chem. A. 1999. V. 103. P. 197. https://doi.org/10.1021/jp982917e
- Bowser M.T., Chen D.D.Y. // Anal. Chem. 1998. V. 70. P. 3261. https://doi.org/10.1021/ac9713114
- Levdanskii V.A., Levdanskii A.V., Kuznetsov B.N. // Chem. Nat. Compounds. 2017. V. 53 P. 310. https://doi.org/10.1007/s10600-017-1976-5
- Левданский В.А., Левданский А.В., Кузнецов Б.Н. Способ получения дифталата бетулинола: патент 2614149 РФ // Опубл. 23.03.2017.
- Левданский В.А., Левданский А.В., Кузнецов Б.Н. Способ получения дисукцината бетулинола: патент 2638160 РФ // Опубл. 12.12.2017.
- Le Saux T., Varenne A., Gareil P. // Electrophoresis. 2005. V. 26. P. 3094. https://doi.org/10.1002/elps.200500029
- Dubský P., Ördögová M., Malý M., Riesová M. // J. Chromatogr. A. 2016. V. 1445. P. 158. https://doi.org/10.1016/j.chroma.2016.04.004
Supplementary files






