Ab Initio Reconstruction of Interatomic Potential for the Ground Electronic State of CO Molecule
- Authors: Meshkov V.V.1, Pazyuk E.A.1, Stolyarov A.V.1, Usov D.P.2, Ryzhkov A.M.2,3, Savelyev I.M.2, Kozhedub Y.S.2, Mosyagin N.S.3, Shabaev V.M.2,3
-
Affiliations:
- Faculty of Chemistry, Moscow State University
- Department of Physics, St. Petersburg State University
- B.P. Konstantinov Petersburg Nuclear Physics Institute, National Research Center “Kurchatov Institute”
- Issue: Vol 97, No 10 (2023)
- Pages: 1441-1446
- Section: STRUCTURE OF MATTER AND QUANTUM CHEMISTRY
- Submitted: 18.10.2023
- Published: 01.10.2023
- URL: https://ogarev-online.ru/0044-4537/article/view/140327
- DOI: https://doi.org/10.31857/S0044453723100163
- EDN: https://elibrary.ru/PVMOAL
- ID: 140327
Cite item
Full Text
Abstract
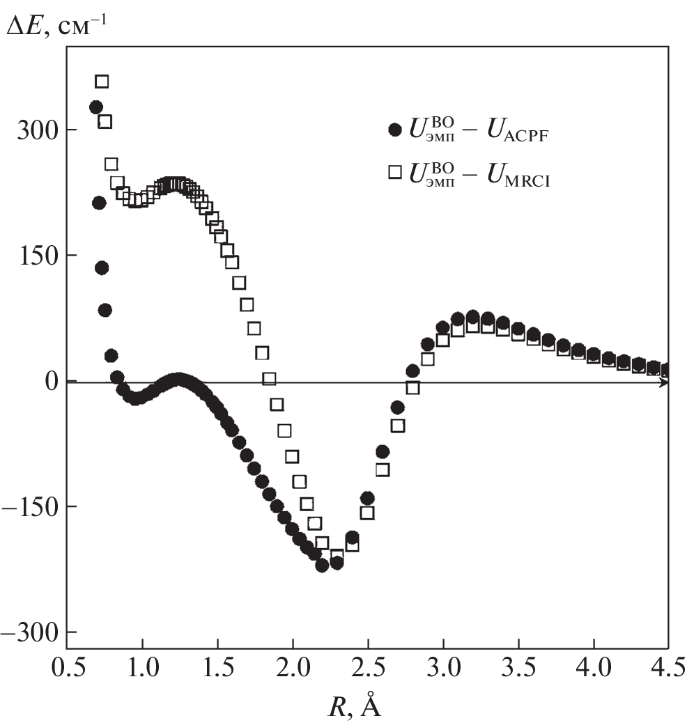
The energy of the ground state of the carbon monoxide molecule has been calculated by multi-configuration methods of self-consistent field (MC-SCF), configuration interaction (MR-CI+Q), and the averaged coupled pair functional (MR-ACPF) on a detailed grid and in a wide range of internuclear distances 0.1 < R < 17.0 Å. The scalar relativistic correction is systematically taken into account using the effective second-order Douglas–Krol–Hess (DKH) Hamiltonian. Quantum electrodynamic (QED) correction to mass invariant potential has been estimated for the first time using a model one-electron operator, which has been built independently for each atom. The calculations have been carried out using the family of correlation-consistent aug-cc-pwCVnZ-DK (n = 3, 4, 5) bases for both atoms followed by extrapolation to the complete basis set (CBS) in the framework of the empirical three-point scheme. The resulting potential has been found to be very close to its semi-empirical counterpart near the equilibrium position and at the dissociation limit. It is expected that the most significant clarification ab initio potential corresponds to the intermediate region 2.0 < R < 4.5 Å, where reliable experimental data are not yet available.
About the authors
V. V. Meshkov
Faculty of Chemistry, Moscow State University
Email: avstol@phys.chem.msu.ru
Moscow, Russia
E. A. Pazyuk
Faculty of Chemistry, Moscow State University
Email: avstol@phys.chem.msu.ru
Moscow, Russia
A. V. Stolyarov
Faculty of Chemistry, Moscow State University
Email: avstol@phys.chem.msu.ru
Moscow, Russia
D. P. Usov
Department of Physics, St. Petersburg State University
Email: avstol@phys.chem.msu.ru
St. Petersburg, Russia
A. M. Ryzhkov
Department of Physics, St. Petersburg State University; B.P. Konstantinov Petersburg Nuclear Physics Institute, National Research Center “Kurchatov Institute”
Email: avstol@phys.chem.msu.ru
St. Petersburg, Russia; 188300, Gatchina, Leningrad oblast, Russia
I. M. Savelyev
Department of Physics, St. Petersburg State University
Email: avstol@phys.chem.msu.ru
St. Petersburg, Russia
Yu. S. Kozhedub
Department of Physics, St. Petersburg State University
Email: avstol@phys.chem.msu.ru
St. Petersburg, Russia
N. S. Mosyagin
B.P. Konstantinov Petersburg Nuclear Physics Institute, National Research Center “Kurchatov Institute”
Email: avstol@phys.chem.msu.ru
188300, Gatchina, Leningrad oblast, Russia
V. M. Shabaev
Department of Physics, St. Petersburg State University; B.P. Konstantinov Petersburg Nuclear Physics Institute, National Research Center “Kurchatov Institute”
Author for correspondence.
Email: avstol@phys.chem.msu.ru
St. Petersburg, Russia; 188300, Gatchina, Leningrad oblast, Russia
References
- Combes F. // Annu. Rev. Astron. Astrophys. 1991. T. 29. C. 195.
- Meshkov V.V., Ermilov A.Yu., Stolyarov A.V. et al. // J. of Quantitative Spectroscopy and Radiative Transfer. 2022. V. 280. № April. P. 108090.
- Medvedev E.S., Meshkov V.V., Stolyarov A.V., Gordon I.E. // Journal of Chemical Physics. 2015. V. 143. № 15. P. 154301.
- Gordon I.E., Rothman L.S., Hargreaves R.J. et al. // J. of Quantitative Spectroscopy and Radiative Transfer. 2022. V. 277. P. 107949.
- Meshkov V.V., Stolyarov A.V., Ermilov A.Yu. et al. // Ibid. 2018. V. 217. P. 262.
- Пазюк Е.А., Пупышев В.И., Зайцевский А.В., Столяров А.В. // Журн. физ. химии. 2019. Т. 93. С. 1461.
- Ushakov V.G., Meshkov V.V., Ermilov A.Yu. et al. // Physical Chemistry Chemical Physics. 2020. V. 22. № 21. P. 12058.
- Коновалова Е.А., Демидов Ю.А., Столяров А.В. // Оптика и спектроскопия. 2018. Т. 125. № 4. С. 451.
- Pyykko P., Dyall K.G., Csaszar A.G. et al. // Phys. Rev. A. 2001. T. 63. № 2. C. 024502.
- Werner H., Knowles P., Knizia G., Manby F. et al. M-OLPRO, version 2010.1, a package of ab initio programs. 2010; http://www.molpro.net.
- Bussery B., Rosenkrantz M.E., Konowalow D.D., Aubert-Frécon M. // Chem. Phys. 1989. V. 134. P. 7.
- Rosenkrantz M.E., Bohr J.E., Konowalow D.D. // Theor. Chim. Acta. 1992. V. 82. P. 153.
- Peterson K.A., Dunning T.H. // J. Chem. Phys. 2002. V. 117. P. 10548.
- Shabaev V.M., Tupitsyn I.I., Yerokhin V.A. // Phys. Rev. A. 2013. T. 88. № 1. C. 012513.
- Shabaev V.M., Tupitsyn I.I., Yerokhin V.A. // Comp. Phys. Communications. 2015. T. 189. C. 175.
- Titov A.V., Mosyagin N.S. // Intern. J. of Quantum Chemistry. 1999. T. 71. № 5. C. 359.
- Saue T. // J. Chem. Phys. 2020. T. 152. № 20. C. 204104.
- Oleynichenko A.V., Zaitsevskii A., Mosyagin N.S. et al. // Symmetry. 2023. T. 15. № 1. C. 197.
Supplementary files







