Нанотермодинамика на примере металлических наночастиц
- Авторы: Самсонов В.М.1, Васильев С.А.1, Талызин И.В.1, Небывалова К.К.1, Пуйтов В.В.1
-
Учреждения:
- Тверской государственный университет
- Выпуск: Том 97, № 8 (2023)
- Страницы: 1167-1177
- Раздел: ФИЗИЧЕСКАЯ ХИМИЯ НАНОКЛАСТЕРОВ, СУПРАМОЛЕКУЛЯРНЫХ СТРУКТУР И НАНОМАТЕРИАЛОВ
- Статья получена: 15.10.2023
- Статья опубликована: 01.08.2023
- URL: https://ogarev-online.ru/0044-4537/article/view/136667
- DOI: https://doi.org/10.31857/S004445372308023X
- EDN: https://elibrary.ru/QZZSLS
- ID: 136667
Цитировать
Полный текст
Аннотация
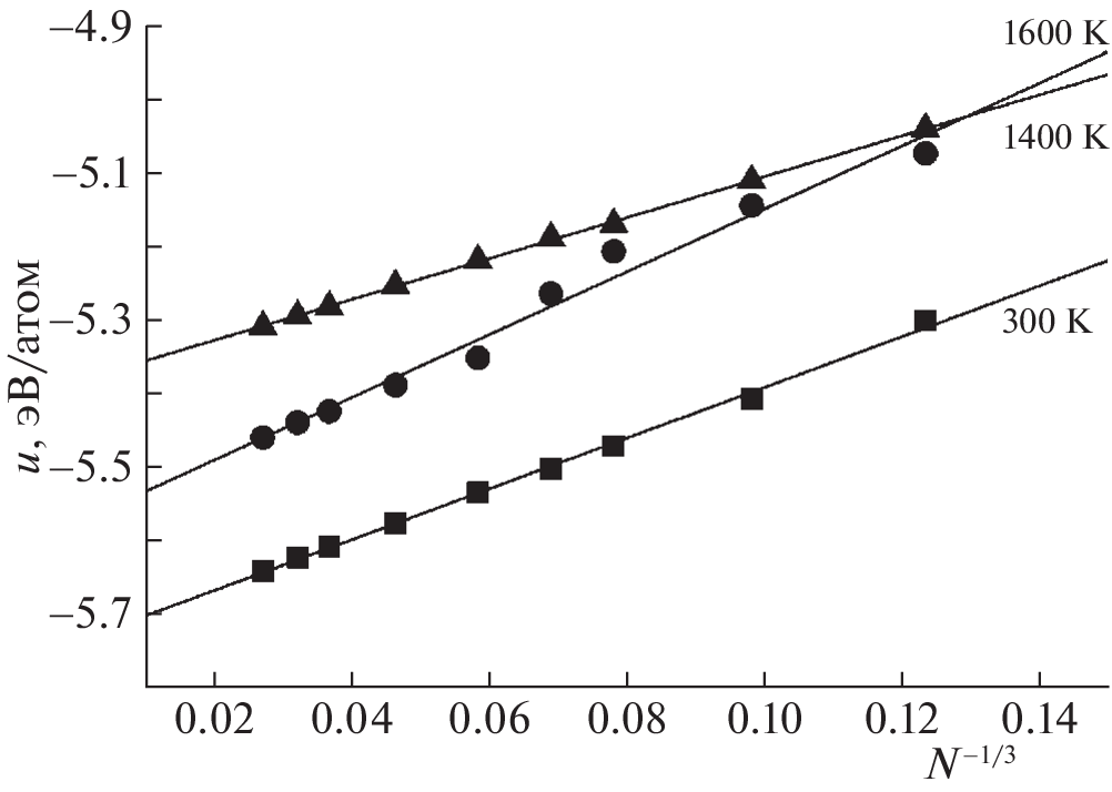
После анализа проблемы распространения метода поверхностных избытков Гиббса на наноразмерные объекты, рассмотрены два различных подхода к применению метода Гиббса для нахождения удельной поверхностной энергии металлических наночастиц. Первый из них отвечает использованию локально-координационного приближения для оценки удельной поверхностной энергии икосаэдрических наночастиц ГЦК-металлов (магических нанокластеров). Впервые мы обратили внимание на то, что для такого нанокластера возможен точный расчет как доли поверхностных атомов, так и значений первого координационного числа во внутренней области наночастицы и на ее поверхности (на гранях, ребрах и в вершинах). Второй подход, реализованный нами ранее для сферических наночастиц Au, а в данной работе – для ГЦК наночастиц Pt, отвечает комплексному применению метода Гиббса, адаптированного для наночастиц и результатов молекулярно-динамического моделирования. Оценки с использованием обоих подходов достаточно хорошо согласуются с экспериментальными значениями поверхностной энергии, отвечающими плоской поверхности объемных фаз соответствующих металлов. В завершающем разделе работы обсуждаются границы применимости термодинамики к наносистемам.
Об авторах
В. М. Самсонов
Тверской государственный университет
Email: samsonoff@inbox.ru
Россия, 170002, Тверь
С. А. Васильев
Тверской государственный университет
Email: samsonoff@inbox.ru
Россия, 170002, Тверь
И. В. Талызин
Тверской государственный университет
Email: samsonoff@inbox.ru
Россия, 170002, Тверь
К. К. Небывалова
Тверской государственный университет
Email: samsonoff@inbox.ru
Россия, 170002, Тверь
В. В. Пуйтов
Тверской государственный университет
Автор, ответственный за переписку.
Email: samsonoff@inbox.ru
Россия, 170002, Тверь
Список литературы
- Русанов А.И. // Рос. хим. журн. 2006. Т. L. № 2. С. 145.
- Русанов А.И. // Журн. физ. химии. 2003. Т. 77. № 10. С. 1736.
- Русанов А.И. // Тезисы 2 Межд. сов. “Нуклеация и нелинейные проблемы в фазовых переходах I рода”. СПб., 2002. С. 13.
- Hill T. // Nano Letters. 2001. V. 1. № 3. P. 111.
- Chamberlin R.V. // Nature. 2000. V. 408. P. 337.
- Hill T. Thermodynamics of Small Systems. New York: W.A. Benjamin Inc., 1963, 1964. 416 p.
- Chamberlin R.V. // Entropy. 2015. V. 17. P. 52. https://doi.org/10.3390/e17010052
- Русанов А.И. Термодинамика поверхностных явлений. Л.: Изд-во Ленинградского ун-та, 1960. 180 с.
- Русанов А.И. Фазовые равновесия и поверхностные явления. Л.: Химия, 1967. 388 с.
- Русанов А.И. Лекции по термодинамике поверхностей СПб.−М.−Краснодар: Лань, 2013. 237 с.
- Оно С., Кондо С. Молекулярная теория поверхностного натяжения в жидкостях. М.: Издательство иностранной литературы, 1963. 291 с.
- Роулинсон Дж., Уидом Б. Молекулярная теория капиллярности. М.: Мир, 1986.
- Гиббс Дж. В. Термодинамика и статистическая механика. М.: Наука, 1982. https://doi.org/10.1017/CBO9780511686948
- Broendersz Ch.P., Roncenray P. // Nature. 2022. V. 604. P. 46. https://doi.org/10.1038/d41586-022-00869-y
- Jazynski C. // Phys. Rev. Lett. 1997. V. 78. № 14. P. 2690. https://doi.org/10.1103/PhysRevLett.78.2690
- Sanders-Gutierrez O.A., Luna-Valenzuela A., Posada-Borbón A. et al. // Comp. Mat. Sci. 2022. V. 21. P. 110908. https://doi.org/10.1016/j.commatsci.2021.110908
- Sdobnyakov N.Yu., Veselov A.D., Ershov P.M. et al. // Comp. Mat. Sci. 2018. V. 153. P. 153. https://doi.org/10.1016/j.commatsci.2018.06.037
- Delogu F. // J. Phys. Chem. B. 2005. V. 109. I. 46. P. 21938. https://doi.org/10.1021/jp0554902
- Lai S.L., Guo J.Y., Petrova V. et al. // Phys. Rev. Lett. 1996. V. 77. I. 1. P. 99. https://doi.org/10.1103/PhysRevLett.77.99
- Родунер Э. Размерные эффекты в наноматериалах. М.: Техносфера, 2010. 352 с.
- Samsonov V.M., Vasilyev S.A., Nebyvalova K.K. et al. // J. Nanopart. Res. 2020. V. 22. I. 6. Art. № 247. https://doi.org/10.1007/s11051-020-04923-6
- Samsonov V.M., Talyzin I.V., Puytov V.V. et al. // J. Chem. Phys. 2022. V. 156. I. 21. Art. № 214302. https://doi.org/10.1063/5.0075748
- Tolman R.C. // J. Chem. Phys. 1949. V. 17. P. 333. https://doi.org/10.1063/1.1747247
- Быков Т.В., Щекин А.К. // Неорганические материалы. 1999. Т. 35. № 6. С. 759.
- Самсонов В.М., Чернышова А.А. // Колл. ж., 2016. Т. 78. № 3. С. 365. https://doi.org/10.7868/S0023291216030149
- Miguel R., Rubí J.M. // J. Chem. Phys. 2021. V. 155. I. 22. Art. № 221101. https://doi.org/10.1063/5.0072533
- Щербаков Л.М. Оценка избыточной свободной энергии малых объектов // Исследования в области поверхностных сил. М.: Наука, 1964. С. 17.
- Самсонов В.М. // Журн. физ. химии. 2002. Т. 76. № 11. С. 2063.
- Бойнович Л.Б. // Успехи химии. 2007. Т. 76. № 5. С. 510. https://doi.org/10.1070/RC2007v076n05ABEH003692
- Быков Т.В., Щекин А.К. // Коллоидн. журн. 1999. Т. 61. № 2. С. 164.
- Samsonov V.M., Bazulev A.N., Sdobnyakov N.Yu. // Cent. Eur. J. Phys. 2003. V. 1. № 3. P. 474. https://doi.org/10.2478/BF02475858
- Samsonov V.M., Sdobnyakov N.Yu., Bazulev A.N. // Surf. Sci. 2003. V. 532–535. P. 526. https://doi.org/10.1016/S0039-6028(03)00090-6
- Шебзухова М.А., Шебзухов З.А., Шебзухов А.А. // ФТТ. 2012. Т. 54. № 1. С. 173. https://doi.org/10.1134/S1063783412010295
- Шебзухов З.А., Шебзухова М.А., Шебзухов А.А. // Изв. РАН. Сер. физ. 2009. Т. 73. № 7. С. 983. https://doi.org/10.3103/S1062873809070211
- Магомедов М.Н. // ФТТ. 2021. Т. 63. № 9. С. 1415.
- Магомедов М.Н. // Поверхность. Рентгеновские, синхротронные и нейтронные исследования. 2020. № 11. С. 88. https://doi.org/10.31857/S1028096020110102
- Гуггенгейм E.A. Современная термодинамика, изложенная по методу У. Гиббса. Л.-М.: Госхимиздат, 1941. 188 с.
- Samsonov V.M., Bembel A.G., Kartoshkin A.Y. et al. // J. Therm. Anal. Calorim. 2018. V. 133. I. 2. P. 1207. https://doi.org/10.1007/s10973-018-7245-4
- Samsonov V.M., Talyzin I.V., Kartoshkin A.Yu., Vasilyev S.A. // Appl. Nanosci. 2019. V. 9. I. 1. P. 119. https://doi.org/10.1007/s13204-018-0895-5
- Самсонов В.М., Талызин И.В., Картошкин А.Ю., Самсонов М.В. // ФММ. 2019. Т. 120. № 6. С. 630. https://doi.org/10.1134/S0015323019060111
- Samsonov V.M., Talyzin I.V., Kartoshkin A.Yu. et al. // Comp. Mat. Sci. 2021. V. 199. art.no. 110710. https://doi.org/10.1016/j.commatsci.2021.110710
- Kaptay G. // J. Mater. Sci. 2016. V. 51. P. 1738. https://doi.org/10.1007/s10853-015-9533-8
- Foster D.M., Pavloudis Th., Kioseoglou J., Palmer R.E. // Nat. Commun. 2018. V. 9. I. 1. P. 2583. https://doi.org/10.1038/s41467-019-10713-z
- Zeni C. // Nat. Commun. 2021. V. 12. P. 6056. https://doi.org/10.1038/s41467-021-26199-7
- Foster D.M., Ferrando R., Palmer R.E. // Nat. Commun. 2018. V. 9. I. 1. P. 1323. https://doi.org/10.1038/s41467-018-03794-9
- Nelli D., Rossi G., Wang Z. et al. // Nanoscale. 2020. V. 12. I. 14. P. 7688. https://doi.org/10.1039/C9NR10163B
- Товбин Ю.К. Малые системы и основы термодинамики. М.: Физматлит, 2018. 403 с. Tovbin Yu.K. Small Systems and Fundamentals of Thermodynamics. Boca Raton, 2018. 436 p. https://doi.org/10.1201/9780429503931
- Tovbin Y.K. // Russ. J. Phys. Chem. 2021. V. 95. P. 637. https://doi.org/10.1134/S0036024421020266
- Пригожин И. Введение в термодинамику необратимых процессов. Москва−Ижевск. 2001. 160 с. https://doi.org/10.1149/1.2425756
- де Гроот С.Р., Мазур П. Неравновесная термодинамика. М: Мир, 1964. 456 с. (De Groot S.R., Mazur P. Non-Equilibrium Thermodynamics. Dover Publications, 2013. 510 p.)
- Chini P. // Gazzetta Chimica Italiana. 1979. V. 109. P. 225.
- Adams J.B., Foiles S.M., Wolfer W.G. // J. Mater. Res. 1989. V. 4. I. 1. P. 102. https://doi.org/10.1557/JMR.1989.0102
- Викарчук А.А., Воленко А.П. // ФТТ. 2005. Т. 47. № 2. С. 339. https://doi.org/10.1134/1.1866418
- Гафнер С.Л., Редель Л.В., Головенько Ж.В. и др. // Письма в ЖЭТФ. 2009. Т. 89. № 7. С. 425. https://doi.org/10.1134/S0021364009070121
- Reinhard D., Hall B.D., Berthoud P. et al. // Phys. Rev. Lett. 1997. V. 79. I. 8. P. 1459. https://doi.org/10.1103/PhysRevLett.79.1459
- Baletto F., Motter C., Ferrando R. // Phys. Rev. Lett. 2000. V. 84. I. 24. P. 5544. https://doi.org/10.1103/PhysRevLett.84.5544
- Полухин В.А., Ватолин Н.А. Моделирование разупорядоченных и наноструктурированных фаз. Екатеринбург: Изд-во УрО РАН, 2011. 463 с.
- Кузьмин В.И., Тытик Д.Л., Белащенко Д.К., Сиренко А.Н. // Коллоидн. журн. 2008. Т. 70. № 3. С. 316. https://doi.org/10.1134/S1061933X08030058
- Кузьмин В.И., Гадзаов А.Ф., Тытик Д.Л. и др. // Российские нанотехнологии. 2010. Т. 5. № 11–12. С. 92. https://doi.org/10.1134/S199507801011008X
- Qi W.H., Wang M.P. // Mater. Chem. Phys. 2004. V. 88. I. 2–3. P. 280. https://doi.org/10.1016/j.matchemphys.2004.04.026
- Kumar R., Kumar M. // Indian J. Pure Appl. Phys. 2012. V. 50. I. 5. P. 329.
- Киттель Ч. Введение в физику твердого тела. М.: Книга по требованию, 2012.
- Alchagirov A.B., Alchagirov B.B., Taova T.M., Khokonov Kh.B. // Transactions of JWRI (Joining and Welding Research Institute). 2001. V. 30. Special Issue. P. 287
- Allen M.P., Tildesley D.J. Computer Simulation of Liquids. Oxford: Clarendon Press, 2017. 626 p.
- Физические величины: Справочник / Под ред. И.С. Григорьева, Е.З. Мейлихова. М.: Энергоатомиздат, 1991. 1232 с.
- Пуйтов В.В., Романов А.А., Талызин И.В., Самсонов В.М. // Изв. Академии наук. Сер. химическая. 2022. № 4. С. 686. https://doi.org/10.1007/s11172-022-3466-6
- Samsonov V.M., Romanov A.A., Kartoshkin A.Yu. et al. // Appl. Phys. A. 2022. V. 128. P. 826. https://doi.org/10.1007/s00339-022-05922-1
- Витоль Э.Н. // Коллоидн. журн. 1992. Т. 54. № 3. С. 21.
- Сдобняков Н.Ю., Самсонов В.М., Базулев А.Н., Новожилова Д.А. // Изв. РАН. Сер. Физ. 2017. Т. 81. № 3. С. 409. https://doi.org/10.7868/S0367676517030310
- Samsonov V.M., Talyzin I.V., Samsonov M.V. // J. Phys. Conf. Ser. 2020. V. 1658. Art. № 012046. https://doi.org/10.1088/1742-6596/1658/1/012046
- Häkkinen H., Moseler M., Landman U. // Phys. Rev. Lett. 2002. V. 89. I. 3. Art. № 033401. https://doi.org/10.1103/PhysRevLett.89.033401
- Талызин И.В., Картошкин А.Ю., Васильев С.А. и др. // Физико-химические аспекты изучения кластеров, наноструктур и наноматериалов. 2019. Вып. 11. С. 364. https://doi.org/10.26456/pcascnn/2019.11.364
Дополнительные файлы






