Дикатионные ионные жидкости с линкером эфирной природы
- Авторы: Красовский В.Г.1, Капустин Г.И.1, Глухов Л.М.1, Черникова Е.А.1, Кустов Л.М.1,2
-
Учреждения:
- Федеральное государственное бюджетное учреждение науки Институт органической химии им. Н.Д. Зелинского Российской академии наук
- Московский государственный университет имени М.В. Ломоносова, Химический факультет
- Выпуск: Том 97, № 9 (2023)
- Страницы: 1262-1271
- Раздел: СТРОЕНИЕ ВЕЩЕСТВА И КВАНТОВАЯ ХИМИЯ
- Статья получена: 15.10.2023
- Статья опубликована: 01.09.2023
- URL: https://ogarev-online.ru/0044-4537/article/view/136653
- DOI: https://doi.org/10.31857/S0044453723090108
- EDN: https://elibrary.ru/XKFZEM
- ID: 136653
Цитировать
Полный текст
Аннотация
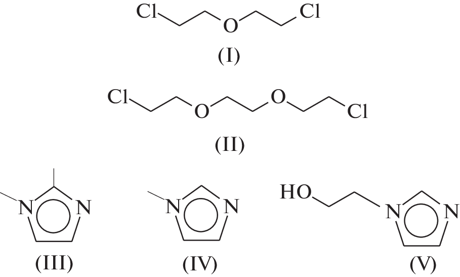
Синтезированы бис(трифторметилсульфонил)имидные дикатионные ионные жидкости с линкером эфирной природы между катионами имидазолия. Изучена их термическая стабильность, измерены температуры плавления, вязкость и летучесть в вакууме. Проведен сравнительный анализ свойств синтезированных ионных жидкостей с линкерами эфирной природы со свойствами ионных жидкостей аналогичной структуры, но с линкерами полиметиленовой природы.
Об авторах
В. Г. Красовский
Федеральное государственное бюджетное учреждение науки Институт органической химии им. Н.Д. Зелинского Российской академии наук
Email: miyusha@mail.ru
Россия, 119991, Москва
Г. И. Капустин
Федеральное государственное бюджетное учреждение науки Институт органической химии им. Н.Д. Зелинского Российской академии наук
Email: miyusha@mail.ru
Россия, 119991, Москва
Л. М. Глухов
Федеральное государственное бюджетное учреждение науки Институт органической химии им. Н.Д. Зелинского Российской академии наук
Email: miyusha@mail.ru
Россия, 119991, Москва
Е. А. Черникова
Федеральное государственное бюджетное учреждение науки Институт органической химии им. Н.Д. Зелинского Российской академии наук
Email: miyusha@mail.ru
Россия, 119991, Москва
Л. М. Кустов
Федеральное государственное бюджетное учреждение науки Институт органической химии им. Н.Д. Зелинского Российской академии наук; Московский государственный университет имени М.В. Ломоносова, Химический факультет
Автор, ответственный за переписку.
Email: miyusha@mail.ru
Россия, 119991, Москва; Россия, 119992, Москва
Список литературы
- Kaur G., Kumar H., Singla M. // J. Mol. Liq. 2022. V. 351. P. 118556.https://doi.org/10.1016/j.molliq.2022.118556
- Pei Y., Zhang Y., Ma J. et al. // Materials Today Nano. 2022. V. 17. 100159.https://doi.org/10.1016/j.mtnano.2021.100159
- Ivanov M.Yu., Surovtsev N.V., Fedin M.V. // Успехи химии. 2022. Т. 91. RCR5031
- Tomar P., Jain D. // J. Adv. Sci. Res. 2022. V. 13. P. 1.https://doi.org/10.55218/JASR.202213601
- Kazemi M., Shiri L. // J. Synth. Chem. 2022. V. 1. P. 1.https://doi.org/10.22034/jsc.2022.149201
- Tiago G.A.O., Matias I.A.S., Ribeiro A.P. C. et al. // Molecules. 2020. V. 25. 5812. https://doi.org/10.3390/molecules25245812
- Zheng Y., Wang D., Kaushik S. et al. // EnergyChem. 2022. V. 4. 100075.https://doi.org/10.1016/j.enchem.2022.100075
- Yudaev P.A., Chistyakov E.M. // ChemEngineering. 2022. V. 6. P. 6.https://doi.org/10.3390/chemengineering6010006
- Mahanty B., Mohapatra P K. // Separation Science and Technology. 2022. V. 57. P. 2792.https://doi.org/10.1080/01496395.2022.2038204
- Friess K., Izak P., Karaszova M. et al. // Membranes. 2021. V. 11. P. 97.https://doi.org/10.3390/membranes11020097
- Ocreto J.B., Chen W.-H., Rollon A.P. et al. // Chem. Eng. J. 2022. V. 445. 136733.https://doi.org/10.1016/j.cej.2022.136733
- Ali M.K.A., Abdelkareem M.A.A., Chowdary K. et al. // Proceedings of the Institution of Mechanical Engineers, Part J: Journal of Engineering Tribology. 2023. V. 237. P. 3.https://doi.org/10.1177/13506501221091133
- Piper S.L., Kar M., MacFarlane D.R. et al. // Green Chem. 2022. V. 24. P. 102.https://doi.org/10.1039/D1GC03420K
- Li D.-D., Ji X.-Y., Chen M. et al. // J. Electrochem. 2022. V. 28. 2219002.https://doi.org/10.13208/j.electrochem.2219002
- Verissimo N.V., Vicente F.A., de Oliveira R.C. et al. // Biotechnology Advances. 2022. V. 61. 108055.https://doi.org/10.1016/j.biotechadv.2022.108055
- Lu B., Liu T., Wanga H. et al. // J. Mol. Liq. 2022. V. 351. 118643.https://doi.org/10.1016/j.molliq.2022.118643
- Ali K., Moshikur R., Goto M. et al. // Pharmaceutical Research. 2022. V. 39. P. 2335.https://doi.org/10.1007/s11095-022-03322-x
- Kamimura A., Kawamoto T., Fujii K. // Chem. Rec. 2023. e202200269.https://doi.org/10.1002/tcr.202200269
- Kadokawa J. // Mater. Adv. 2022. V. 3. P. 3355.https://doi.org/10.1039/d2ma00101b
- Ben Salah H., Nancarrow P., Al-Othman A. // Fuel. 2021. V. 302. 121195.https://doi.org/10.1016/j.fuel.2021.121195
- Lal B., Qasim A., Shariff A. M. Ionic Liquids Usage in Oil and Gas Industry. Chapter in book: Ionic Liquids in Flow Assurance. Springer Briefs in Petroleum Geoscience & Engineering. Springer, Cham. 2021. 71 p.https://doi.org/10.1007/978-3-030-63753-8_1
- Dong H., Wu Z., Li X., Guo X. et al. // Energy Fuels. 2022. V. 36. P. 6831.https://doi.org/10.1021/acs.energyfuels.2c01021
- Kharazi M., Saien J., Asadabadi S. // Topics in Current Chemistry. 2022. V. 380. 5.https://doi.org/10.1007/s41061-021-00362-6
- Zhang R., Ke Q., Zhang Z. et al. // Int. J. Mol. Sci. 2022. V. 23. 11401.https://doi.org/10.3390/ijms231911401
- Zhao H., Baker G.A. // Green Chemistry Letters and Reviews. 2023. V. 16. 2149280.https://doi.org/10.1080/17518253.2022.2149280
- Mishra D.K., Hussain R., Pugazhenthi G. et al. // ACS Sustainable Chem. Eng. 2022. V. 10. P. 6157.https://doi.org/10.1021/acssuschemeng.2c00561
- Bilgiç G. Investigation of Boron-Based Ionic Liquids for Energy Applications. Chapter in book: Characteristics and Applications of Boron. 2022. 26 p. https://doi.org/10.5772/intechopen.105970
- Paduszynski K., Kłebowski K., Krolikowska M. // J. Mol. Liq. 2021. V. 344. 117631.https://doi.org/10.1016/j.molliq.2021.117631
- Rehman A., Zaini D.B., Lal B. // Process Safety Progress. 2022. V. 41. P. S141.https://doi.org/10.1002/prs.12349
- Bodo E. // J. Phys. Chem. B. 2022. V. 126. P. 3.https://doi.org/10.1021/acs.jpcb.1c09476
- Ionic Liquid Market Size − Global Industry, Share, Analysis, Trends and Forecast 2022–2030 (https://www.acumenresearchandconsulting.com/ionic-liquid-market)
- Bender C.R., Kuhn B.L., Farias C.A.A. et al. // J. Braz. Chem. Soc. 2019. V. 30. P. 2199.https://doi.org/10.21577/0103-5053.20190114
- Xu C., Cheng Z. // Processes. 2021. V. 9. P. 337.https://doi.org/10.3390/pr9020337
- Chakraborty M., Barik S., Mahapatra A. et al. // J. Phys. Chem. B. 2021. V. 125. P. 13015.https://doi.org/10.1021/acs.jpcb.1c07442
- Cai S., Tao C., Yao T. et al. // Pet. PetroChem. Eng. J. 2021. V. 5. 00028.https://doi.org/10.23880/ppej-16000288
- Chen Y., Han X., Liu Z. et al. // J. Mol. Liq. 2022. V. 366. 120336.https://doi.org/10.1016/j.molliq.2022.120336
- Lovelock K.R.J., Deyko A., Corfield J.-A. et al. // ChemPhysChem. 2009. V. 10. P. 337.https://doi.org/10.1002/cphc.200800690
- Montalbana M.G., Vílloraa G., Licence P. // Ecotoxicology and Environmental Safety. 2018. V. 150. P. 129.https://doi.org/10.1016/j.ecoenv.2017.11.073
- Shirota H., Mandai T., Fukazawa H. et al. // J. Chem. Eng. Data. 2011. V. 56. P. 2453.https://doi.org/10.1021/je2000183
- Majhi D., Seth S., Sarkar M. // Phys. Chem. Chem. Phys. 2018. V. 20. 7844.https://doi.org/10.1039/c7cp08630j
- Cao Y., Mu T. // Ind. Eng. Chem. Res. 2014. V. 53. P. 8651.https://doi.org/10.1021/ie5009597
- Haddad B., Kiefer J., Brahim H. et al. // Appl. Sci. 2018. V. 8. 1043.https://doi.org/10.3390/app8071043
- Jin C., Ye C., Phillips B.S. et al. // J. Mater. Chem. 2006. V. 16. P. 1529.https://doi.org/10.1039/B517888F
- Красовский В.Г., Капустин Г.И., Глухов Л.М. др. // Журн. физ. химии. 2022. Т. 96. С. 1031.https://doi.org/10.1134/S0036024422070172
- Lowe J.P. Barriers to Internal Rotation about Single Bonds. Chapter in book: Progress in Physical Organic Chemistry. V. 6 (P. 1.) Edited by A. Streitwieser, Jr. R. W. Taft. John Wiley & Sons, Inc. 1968.https://doi.org/10.1002/9780470171851.ch1
- Масимов Э.А., Пашаев Б.Г., Гасанов Г.Ш. и др. // Журн. физ. химии. 2019. Т. 93. С. 845.https://doi.org/10.1134/S0036024419060207
- Flory P.J. Statistical Mechanics of Chain Molecules, Wiley: New York 1969, 432 p. (ISBN 0-470-26495-0); reissued 1989 (ISBN 1-56990-019-1)
- Everaers R., Karimi-Varzaneh H.A., Fleck F. et al. // Macromolecules. 2020. V. 53. P. 1901.https://doi.org/10.1021/acs.macromol.9b02428
- Solution Chemistry Research Progress. Ed. D.V. Bostrelli, New York: Nova Science, 2011. 187 p.
- Huang H.-C., Yen Y.-C., Chang J.-C. et al. // J. Mater. Chem. A. 2016. V. 4. P. 19160.https://doi.org/10.1039/C6TA08203C
- Zhang L., Zhang Z., Sun Y. et al. // Ind. Eng. Chem. Res. 2013. V. 52. P. 16335.https://doi.org/10.1021/ie4022682
- Mei X., Yue Z., Ma Q. et al. // J. Mol. Liq. 2018. V. 272. P. 1001.https://doi.org/10.1016/j.molliq.2018.10.085
- Web Site Wired Chemist (https://www.wiredchemist.com/chemistry/data/bond_energies_lengths.html)
- University of Texas. General Chemistry. Data and Tables. (https://gchem.cm.utexas.edu/data/section2.php?target=bond-energies-table4.php)
- Красовский В.Г., Черникова Е.А., Глухов Л.М. и др. // Журн. физ. химии. 2018. Т. 92. С. 1851.
- Красовский В.Г., Черникова Е.А., Глухов Л.М. и др. // Изв. Академии наук. Сер. Хим. 2018. Т. 67. С. 1621.https://doi.org/10.1007/s11172-018-2268-3
- Krasovskiy V.G., Kapustin G.I., Gorbatsevich O.B. et al. // Molecules. 2020. V. 25. 2949.https://doi.org/10.3390/molecules25122949
Дополнительные файлы

















