Исследование влияния метода синтеза терморасширенного графита на его макропористую структуру при помощи нейронных сетей
- Авторы: Кравцов А.В.1, Шорникова О.Н.1, Авдеев В.В.1
-
Учреждения:
- Московский государственный университет им. М.В. Ломоносова, Химический факультет
- Выпуск: Том 97, № 6 (2023)
- Страницы: 821-826
- Раздел: СТРОЕНИЕ ВЕЩЕСТВА И КВАНТОВАЯ ХИМИЯ
- Статья получена: 15.10.2023
- Статья опубликована: 01.06.2023
- URL: https://ogarev-online.ru/0044-4537/article/view/136620
- DOI: https://doi.org/10.31857/S0044453723060110
- EDN: https://elibrary.ru/JIBFGL
- ID: 136620
Цитировать
Полный текст
Аннотация
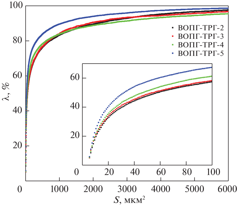
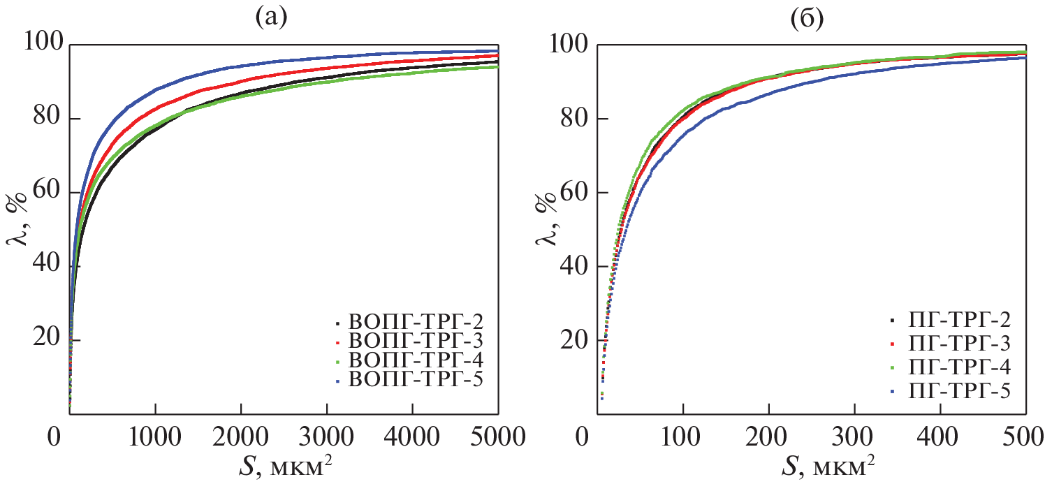
Интеркалированные соединения графита с различным номером ступени получены из высокоориентированного пиролитического графита, природного чешуйчатого графита и азотной кислоты химическим способом. Образцы терморасширенного графита синтезированы из интеркалированных соединений графита путем гидролиза и последующего термоудара. Изучены зависимости внутренней пористой структуры от глубины окисления графитовой матрицы и типа исходного графита путем обработки изображений сечений частиц терморасширенного графита, полученных методом сканирующей электронной микроскопии. Создан метод, основанный на глубокой сверточной нейронной сети, позволяющий значительно ускорить обработку изображений без существенной потери точности. Показана хорошая корреляция между параметрами пористой структуры терморасширенного графита и глубиной окисления, типом исходного графита.
Ключевые слова
Об авторах
А. В. Кравцов
Московский государственный университет им. М.В. Ломоносова, Химический факультет
Email: aleksei.kravtsov@chemistry.msu.ru
Россия, Москва
О. Н. Шорникова
Московский государственный университет им. М.В. Ломоносова, Химический факультет
Email: aleksei.kravtsov@chemistry.msu.ru
Россия, Москва
В. В. Авдеев
Московский государственный университет им. М.В. Ломоносова, Химический факультет
Автор, ответственный за переписку.
Email: aleksei.kravtsov@chemistry.msu.ru
Россия, Москва
Список литературы
- Chung D.D.L. // J. Mater. Sci. 2016. V. 51. P. 554. https://doi.org/10.1007/s10853-015-9284-6
- Nayak S.K., Mohanty S., Nayak S.K. // High Perform. Polym. 2019. V. 32. P. 506. https://doi.org/10.1177/0954008319884616
- Sorokina N.E., Redchitz A.V., Ionov S.G. et al. // J. Phys. Chem. Solids. 2006. V. 67. P. 1202. https://doi.org/10.1016/j.jpcs.2006.01.048
- Inagaki M., Kang F., Toyoda M. et al. // Advanced Materials Science and Engineering of Carbon, Butterworth-Heinemann. 2014. P. 313. https://doi.org/10.1016/B978-0-12-407789-8.00014-4
- Wang Z., Han E., Ke W. // Corros. Sci. 2007. V. 49. P. 2237. https://doi.org/10.1016/j.corsci.2006.10.024
- Inagaki M., Suwa T. // Carbon. 2001. V. 39. P. 915. https://doi.org/10.1016/S0008-6223(00)00199-8
- Inagaki M., Tashiro R., Washino Y. et al. // J. Phys. Chem. Solids. 2004. V. 65. P. 133. https://doi.org/10.1016/j.jpcs.2003.10.007
- Inagaki M., Saji N., Zheng Y.-P. et al. // TANSO. 2004. V. 2004. P. 258. https://doi.org/10.7209/tanso.2004.258
- Bellens S., Vandewalle P., Dewulf W. // Procedia CIRP. 2020. V. 96. P. 336. https://doi.org/10.1016/j.procir.2021.01.157
- Varfolomeev I., Yakimchuk I., Safonov I. // Computers. 2019. V. 8. № 4. P. 72. https://doi.org/10.3390/computers8040072
- Li X., Lai T., Wang S. et al. // 2019 IEEE Intl. Conf. Parallel Distrib. Process. with Appl. Big Data Cloud Comput. Sustain. Comput. Commun. Soc. Comput. Networking. 2019. P. 1500. https://doi.org/10.1109/ISPA-BDCloud-SustainCom-SocialCom48970.2019.00217
- Kang F., Zheng Y.-P., Wang H.-N. et al. // Carbon. 2002. V. 40. № 9. P. 1575. https://doi.org/10.1016/S0008-6223(02)00023-4
Дополнительные файлы






