A Simple Highly Accurate Algebraic Model of Phase Transitions on Square, Hexagonal, and Triangular Flat Faces
- Authors: Votyakov E.V.1, Tovbin Y.K.2
-
Affiliations:
- Cyprus Institute, Energy Environment and Water Research Center
- Kurnakov Institute of General and Inorganic Chemistry, Russian Academy of Sciences
- Issue: Vol 97, No 6 (2023)
- Pages: 763-772
- Section: CHALLENGES, DEVELOPMENT TRENDS, AND CURRENT PROBLEMS OF PHYSICAL CHEMISTRY
- Submitted: 15.10.2023
- Published: 01.06.2023
- URL: https://ogarev-online.ru/0044-4537/article/view/136605
- DOI: https://doi.org/10.31857/S0044453723060298
- EDN: https://elibrary.ru/KDDUZX
- ID: 136605
Cite item
Full Text
Abstract
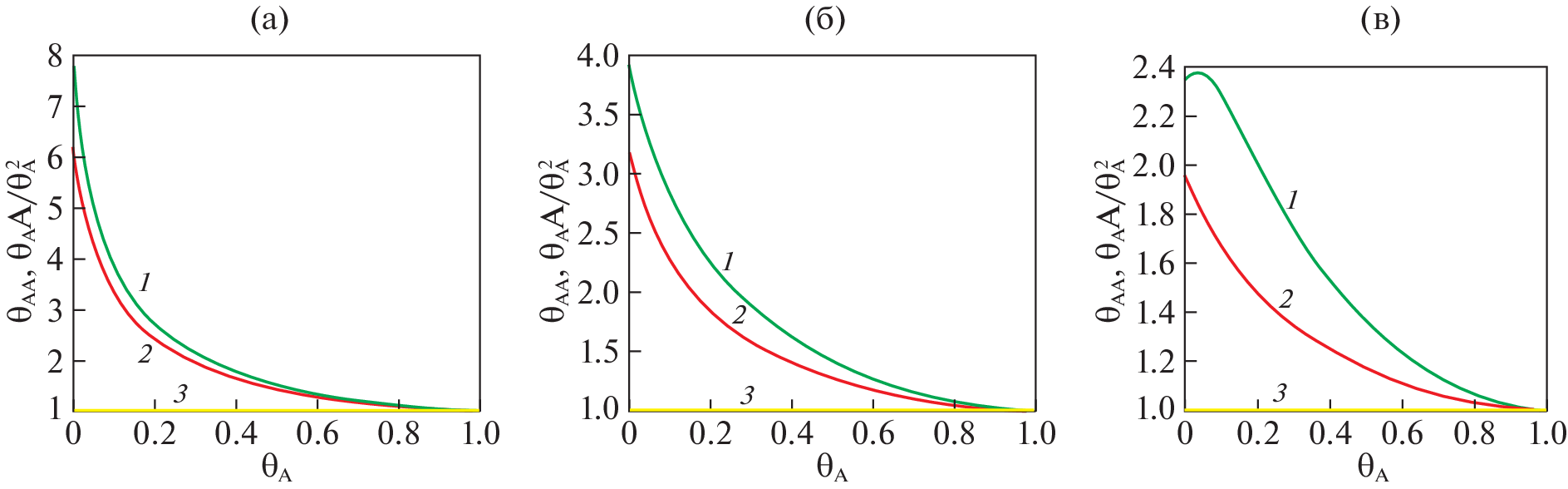
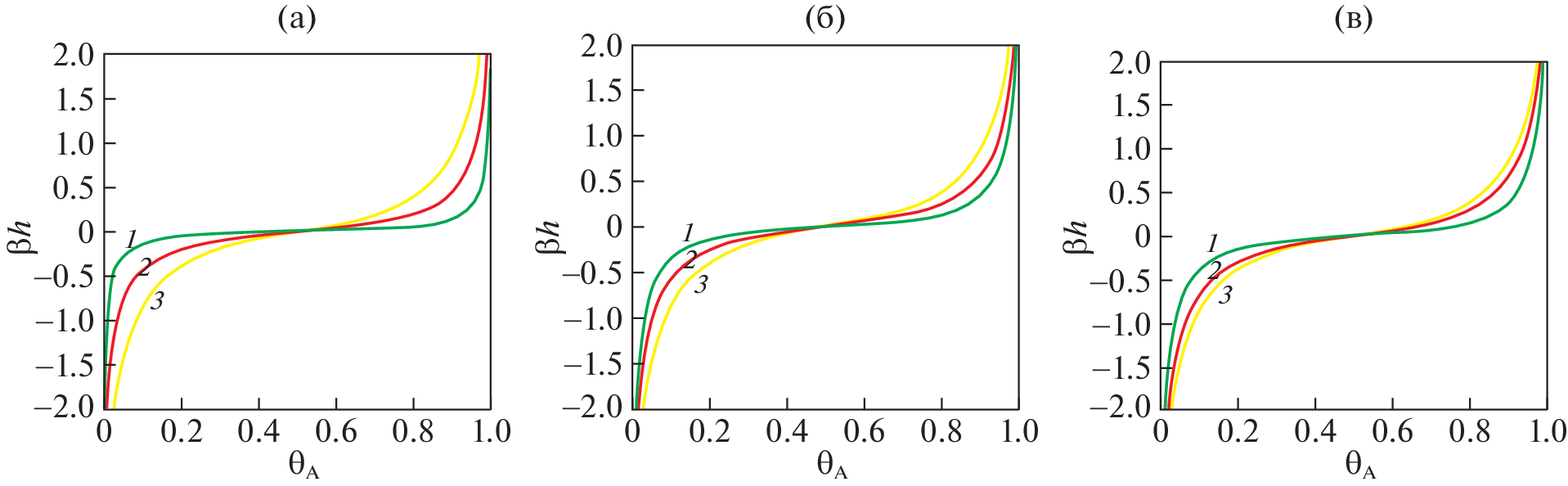
A simple, highly accurate algebraic model is proposed for describing phase transitions on flat faces of square, hexagonal, and triangular structures. The model is derived using the cluster variational approach within the Ising model and expressed in an analytical form by choosing a basic closed-form cluster of the minimal size for each facet structure with nearest neighbors of z = 3 (triangular), 4 (square), and 6 (hexagonal). The new model provides three times more accurate equations for molecular distributions of particles in the Ising model than earlier analytical expressions. The model’s analytical equations allow direct calculations of molecular distributions. (Only iterative numerical means were used earlier to obtain results of the same accuracy.) The effect of refinements when considering correlation effects in the new model is compared to traditional mean-field and quasi-chemical (QCA) approximations when calculating isotherms and pair and cluster distribution functions. Analytical expressions are obtained for the critical temperature of a segregation-type phase transition.
About the authors
E. V. Votyakov
Cyprus Institute, Energy Environment and Water Research Center
Email: karaul@gmail.com
2121, Nicosia, Cyprus
Yu. K. Tovbin
Kurnakov Institute of General and Inorganic Chemistry, Russian Academy of Sciences
Author for correspondence.
Email: karaul@gmail.com
119991, Moscow, Russia
References
- Фаулер Р., Гуггенгейм Э. Статистическая термодинамика, М.: Изд-во иностр. лит., 1949.
- Гиршфельдер Дж., Кертис Ч., Берд Р. Молекулярная теория газов и жидкостей. М.: Изд-во иностр. лит., 1961. 929 с.
- Мелвин-Хьюз Е.А. Физическая химия, М.: Изд-во иностр. лит., 1962. Кн. 2. 1148 с.
- Киреев В.А. Курс физической химии. М.: Химия, 1975. 776 с.
- Кривоглаз А.Н., Смирнов А.А. Теория упорядочивающихся сплавов. М.: ГИФМЛ, 1958. 388 с.
- Стенли Г. Фазовые переходы и критические явления. М.: Мир, 1973. 400 с.
- Хачарутян А.Г. Теория фазовых превращений и структуры твердых растворов. М.: Наука, 1974. 265 с.
- Паташинский А.З., Покровский В.П. Флуктуационная теория фазовых переходов. М.: Наука, 1975. 256 с.
- Ма Ш. Современная теория критических явлений. М.: Мир, 1980.
- Onsager L. // Phys Rev. 1944. V. 65. P. 117.
- Domb C. // Proc. Roy. Soc. 1949. V. A196. P. 36.
- Domb C. // Adv. Phys. 1960. V. 9. P. 149.
- Хилл Т. Статистическая механика. М.: Изд-во иностр. лит., 1960. 485 с.
- Хуанг К. Статистическая механика. М.: Мир, 1966. 520 с.
- Вотяков Е.В., Товбин Ю.К. // Журн. физ. химии. 2022. Т. 96. № 3. С. 339.
- Nicolson D., Parsonage N.G. Computer Simulation and The Statistical Mechanics of Adsorption. N.Y.: Acad. Press, 1982.
- Методы Монте-Карло в статистической физике / под ред. К.М. Биндера. М.: Мир, 1982. 400 с.
- Kikuchi R. // Phys. Rev. 1951. V. 81. P. 988.
- Kikuchi R. // J. Chem. Phys. 1951. V. 19. P. 1230.
- Kikuchi R., Brush S.G. // J. Chem. Phys. 1967. V. 47. P. 195.
- Barker J.A. //Proc. Roy. Soc. London. A. 1953. V. 216. P. 45.
- Hijmans J., de Bour J. // Physica. 1955. V. 21. P. 471.
- Sanchez J.M., de Fontaine D. // Phys. Rev. B. 1978. V. 17. 2926.
- Sanchez F., Ducastelle F., Gratias D. // Physica A. 1984. V. 128. P. 334.
- Theory and Applications of the Cluster Variation and Path Probability Methods / Eds. J. L. Moran-Lopez and J. M. Sanchez/ New York and London: Plenum Press, 1996. 420 p.
- Rosengren A., Lapinskas S. // Phys. Rev. 1993. V. 47. P. 2643.
- Vinograd V.L., Putnis A. // Physics and Chemistry of Minerals. 1998. V. 26. P. 135.
- Вотяков Е.В., Товбин Ю.К. // Журн. физ. химии. 2023. Т. 97. № 5. C. 693.
- Baxter R. Exactly Solved Models in Statistical Mechanics. N.Y.: Acad. Press, 1982.
- Товбин Ю.К. Теория физико-химических процессов на границе газ–твердое тело, М.: Наука, 1990. 288 с.
Supplementary files






