Фотофизические и фотохимические свойства диады перилен-(цианиновый краситель) в VIS-NIR-области спектра
- Авторы: Козлов А.В.1, Сизов Л.Р.1, Ревина Д.В.1,2, Рыбкин А.Ю.1, Горячев Н.С.1,2
-
Учреждения:
- Федеральный исследовательский центр проблем химической физики и медицинской химии РАН
- Московский государственный университет им. М.В. Ломоносова, Химический факультет
- Выпуск: Том 97, № 5 (2023)
- Страницы: 602-606
- Раздел: ФИЗИКА И ХИМИЯ ЭЛЕМЕНТАРНЫХ ХИМИЧЕСКИХ ПРОЦЕССОВ
- Статья получена: 15.10.2023
- Статья опубликована: 01.05.2023
- URL: https://ogarev-online.ru/0044-4537/article/view/136562
- DOI: https://doi.org/10.31857/S0044453723050138
- EDN: https://elibrary.ru/MRDPQG
- ID: 136562
Цитировать
Полный текст
Аннотация
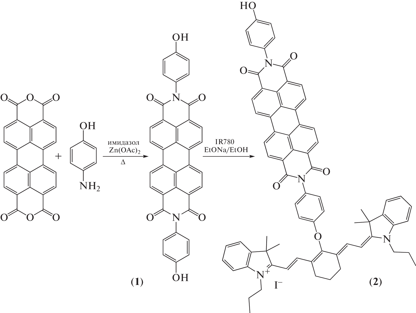
Проведен анализ фотофизических свойств оригинальной ковалентно-связанной диады на основе производного перилена и цианинового красителя IR-780. Установлено, что диада обладает выраженным поглощением в ближней ИК-области спектра и сильным сигналом флуоресценции, которая слабо потушена влиянием производного перилена. При возбуждении диады в области поглощения перилена зарегистрирован сигнал флуоресценции от IR-780, обусловленный переносом энергии по механизму Ферстера. Показано, что при фотовозбуждении диада не генерирует синглетный кислород, но способна генерировать супероксид анион-радикал, что свидетельствует о наличии фотоиндуцированного переноса электрона с красителя на перилен.
Ключевые слова
Об авторах
А. В. Козлов
Федеральный исследовательский центр проблем химической физики и медицинской химии РАН
Email: lexsetlex@gmail.com
Россия, 142432, Черноголовка
Л. Р. Сизов
Федеральный исследовательский центр проблем химической физики и медицинской химии РАН
Email: lexsetlex@gmail.com
Россия, 142432, Черноголовка
Д. В. Ревина
Федеральный исследовательский центр проблем химической физики и медицинской химии РАН; Московский государственный университет им. М.В. Ломоносова, Химический факультет
Email: lexsetlex@gmail.com
Россия, 142432, Черноголовка; Россия, 119991, Москва
А. Ю. Рыбкин
Федеральный исследовательский центр проблем химической физики и медицинской химии РАН
Email: lexsetlex@gmail.com
Россия, 142432, Черноголовка
Н. С. Горячев
Федеральный исследовательский центр проблем химической физики и медицинской химии РАН; Московский государственный университет им. М.В. Ломоносова, Химический факультет
Автор, ответственный за переписку.
Email: lexsetlex@gmail.com
Россия, 142432, Черноголовка; Россия, 119991, Москва
Список литературы
- Chen H., Zhang W., Zhu G. et al. // Nat. Rev. Mater. 2017. V. 2. № 7. P. 17024. https://doi.org/10.1038/natrevmats.2017.24
- Yang Z., Tian R., Wu J. et al. // ACS Nano 2017. V. 11. № 4. P. 4247. https://doi.org/10.1021/acsnano.7b01261
- Li J., Pu K. // Chem. Soc. Rev. 2019. V. 48. № 1. P. 38. https://doi.org/10.1039/C8CS00001H
- Wang Y.-Y.Y., Liu Y.-C.C., Sun H. et al. // Coord. Chem. Rev. 2019. V. 395. P. 46. https://doi.org/10.1016/j.ccr.2019.05.016
- Meredith P., Li W., Armin A. // Adv. Energy Mater. 2020. V. 10. № 33. P. 2001788. https://doi.org/10.1002/aenm.202001788
- Praikaew P., Maniam S., Charoenpanich A. et al. // J. Photochem. Photobiol. A Chem. 2019. V. 382. P. 111852. https://doi.org/10.1016/j.jphotochem.2019.05
- Fan Q., Cheng K., Yang Z. et al. // Adv. Mater. 2015. V. 27. № 5. P. 843. https://doi.org/10.1002/adma.201402972
- Yang Z., Dai Y., Shan L. et al. // Nanoscale Horizons 2019. V. 4. № 2. P. 426. https://doi.org/10.1039/C8NH00307F
- Li Q., Huang C., Liu L. et al. // Cytom. Part A 2018. № 93. P. 997. https://doi.org/10.1002/cyto.a.23596
- Rybkin A.Y., Belik A.Y., Goryachev N.S. et al. // Dye. Pigment. 2020. V. 180. P. 108411. https://doi.org/10.1016/j.dyepig.2020.108411
- Rybkin A.Y., Belik A.Y., Kraevaya O.A. et al. // Dye. Pigment. 2019. V. 160. P. 457. https://doi.org/10.1016/j.dyepig.2018.06.041
- Spiller W., Kliesch H., Wöhrle D. et al. // J. Porphyrins Phthalocyanines 1998. V. 02. № 02. P. 145. https://doi.org/10.1002/(SICI)1099-1409(199803/04)2:2<145::AID-JPP60>3
- Kuznetsova N.A., Gretsova N.S., Derkacheva V.M. et al. // Russ. J. Gen. Chem. 2002. V. 72. № 2. P. 300. https://doi.org/10.1023/A:1015402524813
- Yamakoshi Y., Umezawa N., Ryu A. et al. // J. Am. Chem. Soc. 2003. V. 125. № 42. P. 12803. https://doi.org/10.1021/ja0355574
- Ford W.E., Kamat P. V. // J. Phys. Chem. 1987. V. 91. № 25. P. 6373. https://doi.org/10.1021/j100309a012
- Levitz A., Marmarchi F., Henary M. // Molecules. 2018. V. 23. № 2. P. 1. 10.3390/molecules23020226
- Rurack K. // Stand. Qual. Assur. Fluoresc. Meas. I Springer Berlin Heidelberg, 2008 P. 101. https://doi.org/10.1007/4243_2008_019
- Seybold P.G., Gouterman M., Callis J. // Photochem. Photobiol. 1969. V. 9. № 3. P. 229. https://doi.org/10.1111/j.1751-1097.1969.tb07287.x
- Müller S., Mantareva V., Stoichkova N. et al. // J. Photochem. Photobiol. B Biol. 1996. V. 35. № 3. P. 167. https://doi.org/10.1016/S1011-1344(96)07294-6
- Rybkin A.Y., Belik A.Y., Tarakanov P.A. et al. // Macroheterocycles. 2019. V. 12. № 2. P. 181. https://doi.org/10.6060/mhc190446r





