Термохимия растворения тетра-4-карбоксиметаллофталоцианинов в водных растворах КОН при 298.15 К
- Авторы: Крутова О.Н.1, Майзлиш В.Е.1, Лыткин А.И.1, Черников В.В.1, Волков А.В.1, Федотова А.Е.1, Крутов П.Д.1
-
Учреждения:
- Ивановский государственный химико-технологический университет
- Выпуск: Том 97, № 2 (2023)
- Страницы: 199-203
- Раздел: ХИМИЧЕСКАЯ ТЕРМОДИНАМИКА И ТЕРМОХИМИЯ
- Статья получена: 15.10.2023
- Статья опубликована: 01.02.2023
- URL: https://ogarev-online.ru/0044-4537/article/view/136503
- DOI: https://doi.org/10.31857/S0044453723020115
- EDN: https://elibrary.ru/ECUSCJ
- ID: 136503
Цитировать
Полный текст
Аннотация
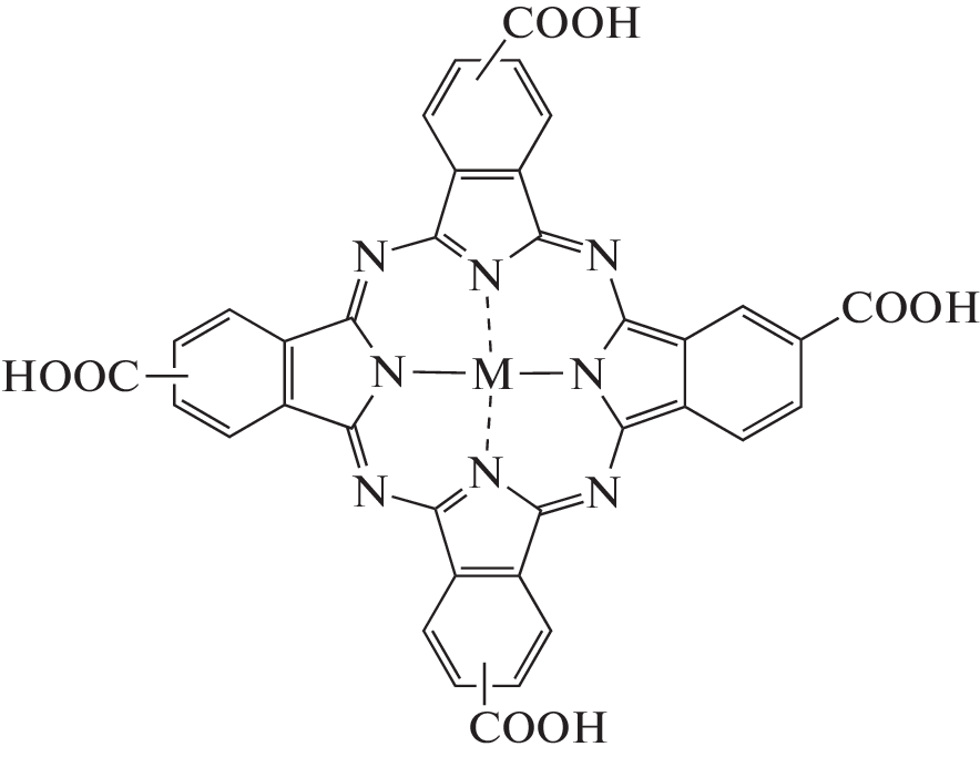
Получены комплексы тетра-4-карбоксифталоцианинов с медью и цинком, не растворимые в воде. Значения стандартных энтальпий образования соединений рассчитаны аддитивно-групповым методом, основанным на групповой систематике с классификацией фрагментов типа Бенсона, учитывающей влияние первичного окружения атомов. Термические эффекты растворения кристаллических тетра-4-карбоксиметаллофталоцианинов в водных растворах различной концентрации КОН (от 0.002 до 0.02 моль/л) при 298.15 К определяли прямым калориметрическим методом. Рассчитаны стандартные энтальпии образования продуктов диссоциации комплексов тетра-4-карбоксифталоцианинов с медью и цинком в водном растворе.
Ключевые слова
Об авторах
О. Н. Крутова
Ивановский государственный химико-технологический университет
Email: kdvkonkpd@yandex.ru
Россия, Иваново
В. Е. Майзлиш
Ивановский государственный химико-технологический университет
Email: kdvkonkpd@yandex.ru
Россия, Иваново
А. И. Лыткин
Ивановский государственный химико-технологический университет
Email: kdvkonkpd@yandex.ru
Россия, Иваново
В. В. Черников
Ивановский государственный химико-технологический университет
Email: kdvkonkpd@yandex.ru
Россия, Иваново
А. В. Волков
Ивановский государственный химико-технологический университет
Email: kdvkonkpd@yandex.ru
Россия, Иваново
А. Е. Федотова
Ивановский государственный химико-технологический университет
Email: kdvkonkpd@yandex.ru
Россия, Иваново
П. Д. Крутов
Ивановский государственный химико-технологический университет
Автор, ответственный за переписку.
Email: kdvkonkpd@yandex.ru
Россия, Иваново
Список литературы
- Islam Z.U., Tahir M., Syed W.A., Aziz F. et al. // Energies. 2020. V. 13. № 4. P. 962. https://doi.org/10.3390/en130409621
- Potlog T., Furtuna V., Rotaru C., Rusnac R. et al. // Int. J. Electr. Comput. Eng. 2018. V. 6. № 1. P. 40.
- Koifman O.I. et al. // Macroheterocycles. 2020. V. 13. № 4. P. 311. https://doi.org/10.6060/mhc200814k
- Березин Д.Б., Макаров В.В., Знойко С.А., Майзлиш В.Е. и др. // Менделеевские сообщения. 2020. Т. 30. С. 621.https://doi.org/10.1016/j.mencom.2020.09.023
- Лебедева Н.Ш., Юрина Е.С., Губарев Ю.А., Майзлиш В.Е. // Биоорган. Химия. 2016. Т. 42. V. 1. P. 36. https://doi.org/10.7868/S0132342315050140
- Mashazi P.N., Westbroek P., Ozoemena K.I., Nyokong T. // Electrochim. Acta. 2007. V. 53. P. 1858–1869. https://doi.org/10.1016/j.electacta.2007.08.044
- Masilela N., Nyokong T. // Dyes Pigm. 2010. V. 84. P. 242. https://doi.org/10.1016/j.dyepig.2009.09.011
- Weber J.H., Busch D.H. // Inorg. Chem. 1965. V. 4. № 4. P. 469. https://doi.org/10.1021/ic50026a007
- Lytkin A.I., Chernikov V.V., Krutova O.N., Skvortsov I.A. // J. Therm. Anal. Calorim. 2017. V. 130. P. 457. https://doi.org/10.1007/s10973017-6134-6
- Wadsö I., Goldberg R.N. // Pure Appl. Chem. 2001. V. 73. P. 1625. https://doi.org/10.1351/pac200173101625
- Тахистов А.В., Пономарев Д.А. Органическая масс-спектрометрия. С.-Петербург.: ВВМ, 2002. 346 с.
- Закиров Д.Р., Базанов М.И., Волков А.В., Семейкин А.С. и др. // Журн. физ. химии. 2000. Т. 74. № 10. P. 1899.
- Закиров Д.Р., Базанов М.И., Волков А.В., Семейкин А.С. // Там же. 2001. Т. 75. № 12. P. 2296.
- Васильев В.П., Кочергина Л.А., Крутова О.Н. // Там же. 2003. Т. 77. № 12. P. 2145.
- Термические константы веществ / Спр. под ред. В.П. Глушко Вып. III. М.: ВИНИТИ. 1965–1971.
- Бородин В.А., Васильев В.П., Козловский Е.В. // Математические задачи химической термодинамики. Новосибирск: Наука. 1985. С. 219.
- Tyunina E.Yu., Krutova O.N., Lytkin A.I. // Thermochim. Acta. 2020. V. 690. P. 178704. https://doi.org/10.1016/j.tca.2020.178704
- Березин М.Б., Пашанова Н.А., Чернова О.М., Березин Д.Б. и др. // Журн. физ. химии. 2001. Т. 75. № 8. P. 1370.
- Березин М.Б., Чернова О.М. // Журн. общ. химии. 2000. Т. 70. № 9. P. 1541–1546.
- Березин М.Б., Семейкин А.С., Андрианов В.Г., Березин Д.Б. // Журн. общ. химии. 2000. Т. 70. № 9. P. 1547.
Дополнительные файлы






