The role of supporting afferentation in the formation of muscle synergies patterns in locomotion
- Authors: Moiseev S.A.1
-
Affiliations:
- Velikiye Luki State Academy of Physical Education and Sports
- Issue: Vol 60, No 1 (2024)
- Pages: 149-159
- Section: EXPERIMENTAL ARTICLES
- URL: https://ogarev-online.ru/0044-4529/article/view/260444
- DOI: https://doi.org/10.31857/S0044452924010111
- EDN: https://elibrary.ru/ZETQUD
- ID: 260444
Cite item
Full Text
Abstract
The features of the spatial-temporal structuring of intermuscular interaction during locomotion in conditions of full and partial unloading of body weight were studied. The extraction of muscle synergies was performed using the principal component analysis. It is established that the stability of muscle modules and stereotypical patterns of their temporary activation with varying degrees of afferentation are due to the implementation of motor synergy programs. It was revealed that only the presence, but not the power of the afferent flow from the receptor complex of the lower extremities makes a significant contribution to the formation of inter-extremity synergetic patterns and regulation of the degree of involvement of muscles in synergy. The formation of various time profiles in the structure of synergies is due to the redundancy of the organization of control structures, thanks to which reliable management of physiological functions is carried out. The implementation of synergy programs weakly depends on the magnitude and nature of proprioceptive and supportive afferentation. Only the presence, but not the power, of the afferent flow from the receptor complex of the lower extremities makes a significant contribution to the formation of interfacial synergetic patterns and the regulation of the degree of muscle involvement in synergy.
Full Text
ВВЕДЕНИЕ
В регуляции локомоций важная роль принадлежит нейрональным сетям, локализованным в структурах спинного мозга, которые получили название генераторов шагательных движений (паттернов). Существование таких генераторов показано в исследованиях с участием животных и человека с применением стимуляционных воздействий, путем активации мышечных рецепторов или при воздействии на нейрональные локомоторные сети, локализованные в ростральных сегментах поясничного отдела спинного мозга [1, 2]. В естественных условиях активность сегментарного интернейронного аппарата может быть запущена командами вышележащих центров, однако этот аппарат может запускаться активностью его собственных нейронов, и, если сеть запущена, она осуществляет заложенную в ней программу. Программа включает выработку соответствующей комбинации и последовательности импульсов к рабочим мышцам, определяя попеременную активацию мышц антагонистов в структуре билатерального шагательного цикла. Эти процессы могут быть организованы по принципу синергии, что позволяет упростить обработку афферентации и сократить число управляемых параметров движений [3, 4].
В регуляции позы и локомоций млекопитающих опорная афферентация играет ведущую роль. Ее устранение приводит к снижению активности тонических двигательных единиц (ДЕ) мышц экстензоров, не компенсируемое другими сенсорными входами, а также изменению порядка рекрутирования ДЕ в мотонейронных пулах спинного мозга [5, 6]. Процессы, происходящие на уровне двигательных единиц, обуславливают изменение моторных программ синергий, что отражается на их пространственных и временных профилях активации [7, 8]. Результаты исследований организации локомоторных синергий у человека оказываются противоречивы. Сообщается о модуляции временных паттернов активации синергий при ходьбе в условиях аксиальной разгрузки веса тела в водной среде [9]. Однако, мышечные синергии, приобретенные в наземных условиях, оказываются в высокой степени устойчивы при изменении уровня гравитации [10, 11].
Таким образом, значимость опорной афферентации в процессе формирования локомоторных синергий во многом остаётся не определена. В связи с этим целью нашей работы явилось изучение роли опорной афферентации в процессе формирования стереотипного локомоторного паттерна при ходьбе. Конкретные задачи включали: определение паттернов пространственной и временной структуры мышечной активации (синергий) в условиях частичной и полной вертикальной разгрузки веса тела. Планировалось проследить модификацию синергий в структуре локомоторного цикла при разных по величине мышечных усилиях. Предполагали, что снижение сигнализации от рецепторов опорной поверхности стоп при вертикальной вывеске, а также увеличение мощности афферентного потока от нижних конечностей при возрастании интенсивности выполняемой работы не отразится на количестве мышечных синергий и их временной организации. Однако ожидали, что облегчение аксиальной нагрузки снизит стабильность временнόй структуры синергий, что отразится на ее межиндивидуальной вариативности.
МЕТОДЫ ИССЛЕДОВАНИЯ
В исследовании приняли участие 8 испытуемых 18–24 лет без двигательных нарушений в анамнезе. Исследования проведены на базе научно–исследовательского института проблем спорта и оздоровительной физической культуры Великолукской государственной академии физической культуры и спорта в лаборатории физиологии нервной и мышечной систем. Каждый участник представил добровольное письменное информированное согласие на участие в исследованиях. Протокол исследований предполагал ходьбу по тредбану “Venus” (HP Cosmos, Австрия) с постоянной скоростью вращения ленты 3 км/ч, оборудованном устройством пневматической вывески веса тела (рис. 1).
Рис. 1. Устройство вертикальной вывески веса тела (а), образец интерференционной (b) и обработанной (c) электромиограммы мышц нижних конечностей при ходьбе. 1 – передняя большеберцовая мышца пр., 2 – икроножная медиальная мышца пр., 3 – прямая мышца бедра пр., 4 – двуглавая мышца бедра пр., 5–8 те же мышцы левой нижней конечности, 9 – гониограмма.
Экспериментальные условия включали обычную ходьбу (без вывески), ходьбу с 25-и 50-и процентной вывеской веса тела, ходьбу при полной вывеске веса тела (в этом случае испытуемые визуально ориентировались на ленту тредбана и совершали имитацию ходьбы в воздухе). Отдельное условие подразумевало проталкивание пассивной ленты тредбана, держась за перекладину перед собой. Испытуемые в каждом экспериментальном условии выполняли ходьбу в течение 60 сек. Интервалы между ходьбой в разных условиях определялись по субъективному ощущению полного восстановления испытуемого и в среднем составляли 1–2 мин, в этих он находился в положении сидя.
Регистрировали электромиограммы (ЭМГ) восьми поверхностных мышц нижних конечностей, билатерально: передней большеберцовой мышцы, медиальной головки икроножной мышцы, двуглавой мышцы бедра, прямой мышцы бедра. В работе применялся биомонитор МЕ6000 (Финляндия) с частотой опроса 2000 Гц. Отведение ЭМГ осуществляли одноразовыми самоклеющимися электродами с токопроводящим гелем и активной площадью контакта 2.5 см2, 36×45 мм (Swaromed, Австрия). Электроды накладывались биполярно, при этом активный располагался в области проекции двигательной точки исследуемой мышцы, а референтный прикреплялся по ходу её волокон с межэлектродным расстоянием 2 см, электрод заземления на каждом канале располагался после референтного на расстоянии 2 см [12]. ЭМГ фильтровались полосовым фильтром с полосой пропускания 30–450 Гц, силой подавления 60 дБ с нулевой задержкой, затем усреднялись в интервалах 0.002 с и повторно применяли фильтр низких частот 15 Гц, используя программное обеспечение MegaWin. К отфильтрованным ЭМГ применяли экспоненциальное сглаживание (α = 0.01). Синхронно с ЭМГ регистрировали гониограммы (гониометры располагались на обоих коленных суставах) для выделения при дальнейшем анализе отдельных шагательных циклов. Начало шагательного цикла считали от момента наибольшего значения величины угла в коленном суставе правой ноги, конец цикла – по наименьшему. Первые два цикла шага от начала регистрации пропускали, а последующие восемь включали в анализ. Такой подход применяли во всех экспериментальных условиях.
Зарегистрированные ЭМГ, гониограммы экспортировали в Statistica (StatSoft, Inc., version 10) и формировали матрицу исходных данных (X), размерностью (I×J), где I – число точек (измерений в момент времени – 500 для каждого экспериментального условия, шага, испытуемого), а J – число независимых переменных (вариационных рядов ЭМГ – 8). В матрице создавали дополнительные переменные, позволяющие идентифицировать периоды шагательного цикла и принадлежность данных к определенному испытуемому и шагу. Все вариационные ряды были интерполированы относительно единой точки отсчета и стандартизированы к единице стандартного отклонения.
Для извлечения синергий использовали метод главных компонент в среде Statistica, используя стандартный модуль “Advanced/Multivariate – PCA”. Исходная матрица разлагалась на произведение двух матриц – матрицы счетов и матрицы нагрузок. Матрица нагрузок определяет пространственную структуру синергий и включает весовые коэффициенты для каждой переменной [13]. Фактически, значение коэффициента указывает на степень прямолинейности в изменениях сигнала, т. е. является мерой их синхронизма, что является характерной чертой синергии. Матрица счетов определяет временную организацию выявленных компонент и представляется в виде коэффициентов активации. Изменение коэффициентов активации на временной шкале свидетельствует о возрастании либо снижении активности синергии, обусловленное синхронной активацией ее компонентов. Анализировали получаемые в результате разложения матрицы следующие параметры: собственные значения (eigenvalues), количество извлекаемых компонент (синергий), процент общей дисперсии, учитываемый каждым фактором в общем наборе данных (VAF), весовые коэффициенты извлеченных компонент, векторы синергий и коэффициенты активации. Рассматривали компоненты с собственными значениями не менее единицы и с долей учитываемой дисперсии не менее 5%.
Математико-статистическая обработка данных выполнена в Statistica 10.0 и включала расчет среднего арифметического (M), ошибки среднего арифметического (SE), стандартного отклонения (SD), коэффициентов вариативности (CV). Для оценки достоверности различий при сравнении весовых коэффициентов применяли однофакторный дисперсионный анализ ANOVA c post-hoc анализом по критерию Fisher LSD. Статистически значимыми различиями считали значения критерия p<0.05. Для сравнения коэффициентов активации применяли анализ максимальных значений кросскорреляционных функций (r) с учетом смещения относительно нуля, где 1 – полное соответствие, 0 – отсутствие взаимосвязи. Векторы синергий считали различными, если величина весового коэффициента начала и окончания вектора превышали единицу.
РЕЗУЛЬТАТЫ ИССЛЕДОВАНИЯ
В результате разложения матриц были получены три компонента во всех экспериментальных условиях. Доля объясняемой дисперсии в среднем по группе при отсутствии вывески составляла 82.33 ± 3.17, а коэффициенты вариативности не превышали 6.68%. При вывеске в 25% и 50% веса тела этот показатель не превышал 86.33% при низкой вариативности в диапазоне от 2.90% до 8.48%. При полной вывеске VAF составляла 79.01 ± 1.52, вариативность также оценивалась как очень низкая. При проталкивании пассивной ленты тредбана VAF составлял 85.66%. Существенных различий по данному показателю в разных экспериментальных условиях выявлено не было (p > 0.05).
Анализ коэффициентов активации первой выявленной компоненты показал высокое соответствие внутрииндивидуальных и внутригрупповых профилей, здесь коэффициенты кросскорреляционных функций составляли 0.72 ± 0.15, а максимальные значения достигали 0.99. Высокие коэффициенты были также установлены и при других условиях, за исключением полной вывески веса тела, где они оказались несколько ниже и составляли в среднем по группе 0.69 ± 0.11. Также при проталкивании ленты тредбана коэффициенты при сравнении межиндивидуальных значений оказались средними и достигали 0.66 ± 0.12. Во всех экспериментальных условиях коэффициенты вариативности внутригрупповых профилей активации первой синергии оценивались как средние и не превышали 44.92%. Визуальный анализ паттернов данного компонента показал наличие положительного пика активации в начале и отрицательный пик в третьей четверти цикла шага, что было характерно для всех условий ходьбы за исключением полной вывески. В последнем случае положительный пик был отмечен в конце, а отрицательный приходился на середину шагательного цикла (рис. 2).
Рис. 2. Паттерны временнόй активации мышечных синергий при ходьбе в условиях разной степени вывески веса тела. По оси абсцисс – прогресс цикла шага, по оси ординат – у. е. #1, 2, 3 – номер компоненты (синергии). Тонкие линии – усредненные внутрииндивидуальные профили, жирные линии – среднегрупповой профиль. Степень вывески веса тела: (a) – без вывески, (b) – 25%, (c) – 50%, (d) – 100%, (e) – проталкивание ленты пассивного тредбана.
Рассматривая второй извлеченный компонент можно отметить наличие двух различных профилей активации во всех экспериментальных условиях за исключением 50-процентной вывески веса тела (рис. 2). Качественный анализ их временной структуры указывает на возрастание активности синергии до середины и дальнейшее снижение активности до конца цикла шага. Второй профиль демонстрировал ту же тенденцию, но с противоположным направлением. При вывеске 50% веса тела был отмечен единственный профиль с положительным пиком активации во второй четверти цикла шага. Коэффициенты кросскорреляционных функций при сопоставлении профилей второй синергии демонстрировали, преимущественно, среднее соответствие и находились в диапазоне от 0.49 ± 0.15 до 0.63 ± 0.08. Коэффициенты вариативности во всех условиях были средними и не превышали 63.18%. Наименьшая вариативность была отмечена при 50% и 25% вывеске веса тела.
Третья выявленная мышечная синергия демонстрировала средневариативные внутригрупповые профили активации, однако, в их структуре можно выделить по одному паттерну, чаще с двумя пиками, приходящимися на разные периоды цикла шага (рис. 2). Сопоставительный анализ профилей показал среднее соответствие, коэффициенты кросскорреляционных функций находились в диапазоне от 0.40 ± 0.10 до 0.55 ± 0.14, а CV достигали 57.73%. Самое низкое соответствие было отмечено при полной вывеске – 0.32 ± 0.03, а CV составляли 24.46%.
Первая мышечная синергия в условиях обычной ходьбы включала активность практически всех исследуемых мышц, за исключением прямой мышцы бедра левой ноги, где весовые коэффициенты составляли 0.60 ± 0.07 в среднем по группе (рис. 3). Коэффициенты других мышц превышали пороговый уровень 0.7 и в некоторых случаях, например, для передней большеберцовой мышцы левой стороны достигали 0.88 ± 0.01.
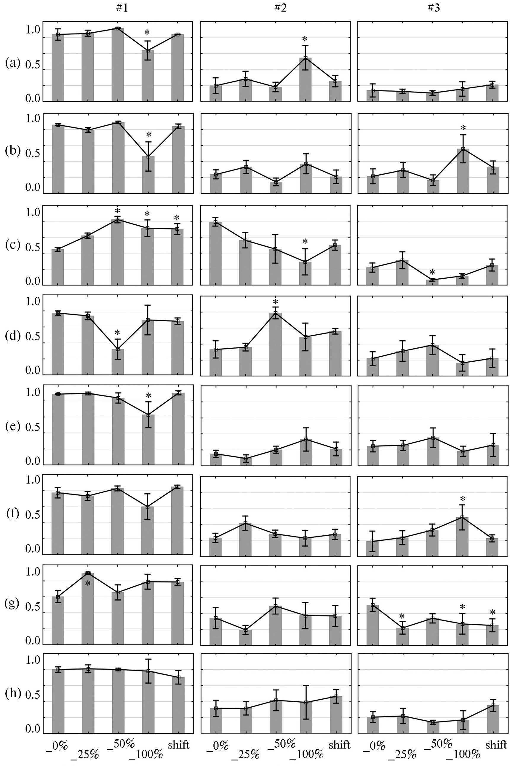
Рис. 3. Весовые коэффициенты мышечных синергий при ходьбе в условиях разной степени вывески веса тела. По оси абсцисс – степень вывески, по оси ординат – коэффициенты. #1, 2, 3 – номер компонента (синергии). * – Статистически значимые различия при p<0.05 относительно ходьбы без вывески (0%). Сплошной линией показаны “векторы синергий”. Скелетные мышцы: (а) – передняя большеберцовая мышца пр., (b) – икроножная медиальная мышца пр., (c) – прямая мышца бедра пр., (d) – двуглавая мышца бедра пр., (e), (f), (g), (h) – те же мышцы левой нижней конечности.
В ситуации с 25% вывеской веса тела наблюдалась схожая картина по данной мышечной синергии. Так, весовые коэффициенты большинства мышц превышали пороговый уровень и достигали 0.89 ± 0.01, лишь для прямой мышцы бедра правой нижней конечности они были несколько ниже – 0.61 ± 0.03. Коэффициенты вариативности при анализе вовлечения мышц в данную синергию оценивались как низкие – не более 15.11%, а для некоторых мышц, например, прямой бедра левой – очень низкие (1.66%). Статистически значимые различия весовых коэффициентов в сравнении с условиями ходьбы без вывески были обнаружены только в активности прямой мышцы бедра левой ноги (p < 0.05). При 50% вывеске веса тела наблюдалось существенное возрастание вовлечения в синергию прямой мышцы бедра правой и снижение для двуглавой мышцы той же конечности (p < 0.05). Их коэффициенты составляли 0.82 ± 0.04 и 0.32 ± 0.12 соответственно. Для последней была отмечена бόльшая вариативность вовлечения в синергию, CV достигали 78.13%. Весовые коэффициенты других мышц находились в диапазоне от 0.65 ± 0.09 до 0.91 ± 0.01. Следует отметить, что чем выше степень вовлечения мышцы в синергию, тем ниже коэффициенты вариативности. Например, CV передней большеберцовой и икроножной мышц правой стороны не превышали 3.50%, а весовые коэффициенты были максимальными в сравнении с другими мышцами – 0.89 ± 0.01 и 0.91 ± 0.01 соответственно (рис. 3).
При полной вывеске веса тела пороговой величины вовлечения в синергию достигали только прямая мышца бедра правой, и мышцы голени левой стороны. Другие исследуемые мышцы демонстрировали среднее включение в синергию, коэффициенты находились в диапазоне от 0.46 ± 0.18 до 0.68 ± 0.18. Относительно условий ходьбы без вывески было установлено меньшее вовлечение в активность передней большеберцовой мышцы обеих нижних конечностей, а также икроножной правой (p < 0.05). Включение в синергию прямой мышцы бедра, наоборот, возрастало, где коэффициенты достигали 0.71 ± 0.10 (CV=28.84%) в среднем по группе (рис. 3). Вариативность весовых коэффициентов мышц в данной синергии оценивалась как низкая или средняя и в целом не превышала 78.90%, а самые низкие значения были установлены для прямой мышцы бедра левой нижней конечности – 20.46%. При проталкивании ленты пассивного тредбана установлено высокое вовлечение в первую мышечную синергию всех мышц, за исключением двуглавой бедра правой, где коэффициенты составляли 0.67 ± 0.04. Коэффициенты других мышц в таких условиях находились в диапазоне от 0.70 ± 21 до 0.90 ± 0.02. Значимые различия в сравнении с условиями обычной ходьбы были выявлены только для прямой мышцы бедра правой нижней конечности (p < 0.05), где установлено большее вовлечение ее в синергию.
Вторая и третья мышечные синергии демонстрировали по большей части низкие и средние весовые коэффициенты в разных экспериментальных условиях, а также среднюю и высокую вариативность. В этой связи остановимся на описании основных закономерностей, связанных с изменениями условий реализации локомоций. Так, при обычной ходьбе во вторую синергию в наибольшей степени была вовлечена прямая мышца бедра правой стороны – 0.79 ± 0.05, а вариативность здесь была самой низкой в сравнении с другими мышцами – 11.66%. Средние коэффициенты были зарегистрированы для двуглавой мышцы бедра обеих нижних конечностей, а также для прямой мышцы бедра левой стороны. Другие мышцы демонстрировали низкое включение в синергию. Наиболее значимые различия в весовых коэффициентах были установлены для передней большеберцовой и двуглавой мышцы бедра правой ноги в условиях полной вывески веса тела. Так, коэффициенты первой достигали 0.54 ± 0.15, а второй – 0.48 ± 0.17. В целом для всех мышц второй синергии отмечен высокий уровень вариативности их включения, для некоторых мышц CV достигали 112.31%. В третьей мышечной синергии наибольшие различия в сравнении с условиями обычной ходьбы были установлены для икроножной мышцы правой нижней конечности. В условиях полной вывески весовые коэффициенты данной мышцы существенно превышали таковые при обычной ходьбе и достигали 0.55 ± 0.17 (p < 0.05), а вариативность оценивалась как средняя. Также отмечено достоверное возрастание вовлечения в синергию икроножной мышцы левой стороны (0.49 ± 0.15) и снижение прямой мышцы бедра. В целом вариативность весовых коэффициентов третьей мышечной синергии оценивалась как высокая, в большей степени это отмечалось для прямой мышцы бедра обеих нижних конечностей – 125.77% и 141.13%.
ОБСУЖДЕНИЕ РЕЗУЛЬТАТОВ
Мы предполагали, что снижение сигнализации от рецепторов опорной поверхности стоп, связанное с вертикальной вывеской веса тела, равно как увеличение мощности афферентного потока вследствие выполнения нагрузки большей интенсивности не отразится на количестве извлекаемых мышечных синергий. И действительно, три мышечных синергии были нами извлечены во всех экспериментальных условиях локомоций. Такая закономерность не является неожиданной, на стабильность количества используемых мышечных модулей в процессе поддержания позы и локомоции указывают многие исследователи. Например, постоянное количество мышечных синергий было получено у группы испытуемых до и после длительного отсутствия гравитационного воздействия [14]. Было установлено, что при разном уровне поддержки вертикального положения в группе новорожденных детей мышечная деятельность при ходьбе может быть описана четырьмя синергиями [15]. В условиях выполнения разных задач, связанных с ходьбой в водной среде, было обнаружено, что используются одни и те же мышечные модули [16]. Таким образом, изменения условий локомоций, а именно снижение гравитационной нагрузки практически не оказывает воздействие на количество используемых в процессе управления структурой шага мышечных синергий.
Мы ожидали, что изменение условий ходьбы существенно не повлияет на паттерны временнόй организации выявляемых мышечных модулей. Литературные данные дают противоречивые сведения, так в опытах на животных было показано изменение коэффициентов активации большинства синергий при отсутствии афферентации [7, 17]. В условиях ходьбы с частичным погружением в воду была показана зависящая от задачи модуляция временных паттернов активации мышечных синергий у человека [9]. Некоторые исследования, наоборот, указывают на высокую стабильность временнόй организации мышечных синергий в различных условиях локомоций. Например, после длительного пребывания в условиях невесомости профили активации большинства мышечных синергий оказываются аналогичны, полученным до полета в космос [14]. Схожие результаты приводят при исследовании постуральной устойчивости в условиях гипо- и гипергравитации. Сообщается, что мышечные синергии и сегментарные стратегии (вероятно, синергии на кинематическом уровне), приобретенные в наземных условиях, оказываются в высокой степени устойчивы при изменении уровня гравитации [10, 11]. Наши исследования, в части рассмотрения временнόй структуры извлеченных мышечных модулей, показывают высокое сходство организации первой мышечной синергии при различной степени вывески веса тела. При отсутствии контакта с опорой паттерны активации существенно различались в сравнении с ходьбой по поверхности, преимущественно, по расположению основного пика. Таким образом, частичная разгрузка веса тела, несмотря на изменения силы афферентного потока от опорных поверхностей стоп, практически не влияет на временные профили активации основной синергии, однако, полное отсутствие афферентации формирует иной временной локомоторный паттерн. Представляется целесообразным привлечь к объяснению данного факта концепцию центральных генераторов паттернов [18, 19]. Несмотря на то, что в основе положений концепции лежат результаты экспериментов на животных, некоторые принципы организации нейрональных сетей спинного мозга при управлении структурой локомоций (в том числе синергетических эффектов) могут быть привлечены к объяснению закономерностей формирования стереотипного локомоторного паттерна у человека. Выходными сигналами центральных генераторов являются программы, т. е. упорядоченная активация скелетных мышц, объединенных в структурные образования – модули, вероятно, активируемые единым центральным управляющим сигналом. Таким образом, понятие двигательной программы и синергии в данной интерпретации являются эквивалентными. Из клинических наблюдений за восстановлением функций травмированного спинного мозга следует, что многие заложенные центральные программы спинальных нейрональных сетей сохраняются и могут быть запущены у человека [20]. Это подтверждается исследованиями с применением электростимуляции определенных участков здорового или поврежденного спинного мозга человека. Так электростимуляция спинного мозга в проекции L1 и L2, а также Т11-Т12 позвонков способствовала возобновлению постуральной и локомоторной функции у людей с частичной или полной травмой спинного мозга, а сенсорная информация является ключевым моментом обеспечения оптимальной возбудимости спинальных нейрональных структур для инициации ритмической и позной компоненты локомоций [21, 22]. В этой связи логично, что временнáя структура основной мышечной синергии при локомоции демонстрирует стереотипные паттерны активации в условиях наличия контакта с опорой, поскольку реализуется моторная программа, определяемая ее собственной внутренней организацией.
Обращает на себя внимание наличие двух различных профилей активации второй мышечной синергии в структуре цикла шага практически во всех условиях ходьбы. Это может быть связано с двумя фундаментальными явлениями: вариативностью, как механизма отбора наиболее адекватного способа реализации двигательной задачи в управляющей системе; и избыточностью организации ЦНС, благодаря которой осуществляется надежное управление физиологическими функциями. Несмотря на то, что избыточность, сформулированная Н.А. Бернштейном, была обозначена для уровня исполнительного аппарата, вероятно, она может проявляться и на уровне моторных программ синергий. Подтверждение этому было продемонстрировано в опытах на животных с раздражением двух разных командных областей среднего мозга (мезенцефалической и диэнцефалической), способных независимо инициировать активность спинальных генераторов [23].
Альтернативной концепцией организации управления локомоциями является двухуровневая сетевая структура, включающая две независимо функционирующие части, определяющие временной ход активации мышечных групп (модулей) – ритмогенерирующая и вовлечение отдельных мышц в такие модули – паттернообразующая [24, 17]. Роль афферентной обратной связи в работе паттернообразующего механизма прослеживается при рассмотрении весовых коэффициентов в структуре отдельно взятой синергии и, сопоставляя распределение мышечных нагрузок (векторов синергий) одноименных мышц между отдельными модулями. Нами установлено перераспределение активности большинства мышц между модулями и показана особая роль сгибателей бедра в синергии при увеличении мощности афферентного потока. При возрастании мышечных усилий практически не было изменений в пространственно-временной структуре синергий. Мы наблюдали похожие реакции системы управления локомоциями при воздействии на нее чрескожной электрической стимуляции спинного мозга. Регистрировали изменение реципрокных синергетических взаимоотношений одноименных мышц нижних конечностей в структуре синергий, преимущественно, при нахождении конечности в безопорном положении. Особенно ярко эти изменения проявлялись на уровне частотно-временного кода синергий [25]. Пространственно-временная ритмическая стимуляция, нацеленная на активацию флексорных и экстензорных мотонейронных пулов, изменяла характеристики шагательных движений здоровых лиц при ходьбе по тредбану. Наиболее выраженный эффект стимуляции наблюдался при активации флексорных пулов в периоде переноса цикла шага, что отражалось на увеличении амплитуды сгибания в тазобедренном суставе и увеличении подъема колена, а также возрастании амплитуды ЭМГ флексорных мышц [26]. Эти закономерности и полученные нами данные свидетельствуют о том, что работа ритмогенерирующей части сетевой спинальной структуры, управляющей локомоцией, мало зависит от величины и характера проприоцептивной и опорной афферентации, а сигналы от рецепторов опорных поверхностей стоп (их наличие, но не мощность афферентного потока) вносят существенный вклад в формирование межконечностных синергетических паттернов и регуляцию степени вовлечения скелетных мышц в каждую синергию.
Замечено, что чем больше весовые коэффициенты мышцы, тем ниже показатель вариативности межпробных измерений, иначе говоря, выше стабильность включения ее в синергию. Возможно объяснение данной закономерности может быть отражено во взгляде на проблему избыточности элементов двигательного контроля – принципе изобилия [27, 28]. Согласно принципу, избыточные переменные не устраняются, а используются для стабилизации важных переменных, характерных для задачи. Инструментарий для оценки степени стабильности таких переменных основан на концепции неуправляемого многообразия (uncontrolled manifold – UCM) и оценке дисперсии в двух пространствах переменных – важных для успешной реализации двигательной задачи и менее важных – не влияющих на результат [29]. Отсюда следует определение синергии как организации элементарных переменных с целью стабилизации существенной переменной функционирования, специфической для данной задачи [30]. Такое определение подразумевает относительно высокую вариабельность моделей активации мышц, угловых характеристик суставов между испытаниями, а целевая переменная (контролируемая) будет оставаться неизменной (низковариативной). Если рассматривать ходьбу в разной степени вывески с опорой, обозначив целевую переменную как эффективное перемещение сегментов тела нижних конечностей, то действительно более высокая вариативность включения мышц в синергии при межпробных измерениях может отражать принцип изобилия и положения концепции UCM. Проще говоря, ходьба в полной вывеске не связана с риском падения и движения конечностей не определяют сохранение вертикального положения тела, поэтому менее контролируются управляемой системой и оказываются более вариативны. Однако если названный принцип переложить на структуру самих синергий, то низкая вариативность весовых коэффициентов выявляемых компонент может свидетельствовать о важности сохранения стабильности состава синергии в условиях ходьбы с опорой. Именно стабильность включения мышц в структуру основной мышечной синергии может являться целевой, контролируемой переменной.
ВЫВОДЫ
Стабильный набор и стереотипные паттерны временнόй активации основной мышечной синергии при различной мощности афферентного потока от рецепторов нижних конечностей обусловлены реализацией моторных программ синергий, формируемых центральными генераторами, обладающими собственной внутренней организацией.
Формирование двух различных профилей временнόй активации синергии в структуре локомоторного цикла при разной степени вывески веса тела определяется избыточностью организации управляющих структур, благодаря которой осуществляется надежное управление физиологическими функциями. Сохранение стабильного компонентного состава основной мышечной синергии может являться целевой переменной двигательного контроля, в связи с чем ее вариативность при многократных реализациях движения оказывается низкой.
Реализация программ синергий ритмогенерирующей частью нейрональной сети спинного мозга мало зависит от величины и характера проприоцептивной и опорной афферентации. Только наличие, но не мощность афферентного потока от рецепторного комплекса нижних конечностей вносит существенный вклад в формирование межконечностных синергетических паттернов и регуляцию степени вовлечения мышц в синергии.
БЛАГОДАРНОСТИ
Автор выражает благодарность сотрудникам Научно-исследовательского института проблем спорта и оздоровительной физической культуры Великолукской государственной академии физической культуры и спорта Пухову А.М., Иванову С.М. за помощь в организации исследований.
ВКЛАДЫ АВТОРОВ
С.А.М. – планирование, организация и участие в проведении экспериментов, регистрация и анализ полученных данных, обработка данных, подготовка текста рукописи.
СОБЛЮДЕНИЕ ЭТИЧЕСКИХ НОРМ
Все исследования выполнены с соблюдением требований и принципов биомедицинской этики, сформулированных в Хельсинской декларации 1964 г., и одобрены комитетом по биоэтике ФГБОУ ВО “ВЛГАФК”, протокол № 4 от 13.09.2022 г. Каждый участник представил добровольное письменное информированное согласие на участие в исследованиях.
ИСТОЧНИК ФИНАНСИРОВАНИЯ
Финансирование осуществлено в рамках плановой работы ФГБОУ ВО Великолукская государственная академия физической культуры и спорта.
КОНФЛИКТ ИНТЕРЕСОВ
Авторы декларируют отсутствие явных и потенциальных конфликтов интересов, связанных с публикацией данной статьи.
About the authors
S. A. Moiseev
Velikiye Luki State Academy of Physical Education and Sports
Author for correspondence.
Email: sergey_moiseev@vlgafc.ru
Russian Federation, Velikiye Luki
References
- Гурфинкель ВС, Левик ЮС, Казенников ОВ, Селионов ВА (1998) Существует ли генератор шагательных движений у человека? Физиол чел 24(3): 42–50. [Gurfinkel’ VS, Levik YUS, Kazennikov OV, Selionov VA (1998) Sushchestvuet li generator shagatel’nyh dvizhenij u cheloveka? Fiziol chel 24(3): 42–50. (In Russ)]
- Gorodnichev RM, Pivovarova EA, Pukhov A, Moiseev SA, Savokhin AA, Moshonkina TR, Shcherbakova NA, Kilimnik VA, Selionov VA, Kozlovskaya IB, Edzherton R., Gerasimenko YP (2012) Transcutaneous Electrical Stimulation of the Spinal Cord: A Noninvasive Tool for the Activation of Stepping Pattern Generators in Humans. Hum Physiol 38(2): 158–167. https://doi.org/10.1134/S0362119712020065
- Бернштейн НА (1966) Очерки по физиологии движений и физиологии активности. М.: Медицина. 349 c. [Bernshtejn NA (1966) Ocherki po fiziologii dvizhenij i fiziologii aktivnosti. M.: Medicina. 349 c. (In Russ)]
- Гельфанд ИМ, Гурфинкель ВС, Фомин СВ, Цетлин МЛ (1966) Модели структурно-функциональной организации некоторых биологических систем. М.: Наука 322 с. [Gel’fand IM, Gurfinkel’ VS, Fomin SV, Cetlin ML (1966) Modeli strukturno-funkcional’noj organizacii nekotoryh biologicheskih sistem. M.: Nauka 322 s. (In Russ)]
- Шенкман БС, Мирзоев ТМ, Козловская ИБ (2020) Тоническая активность и гравитационный контроль постуральной мышцы. Авиакосмическая и экологическая медицина 54(6): 58–72. [Shankman BS, Mirzoev TM, Kozlovskaya And B (2020) Tonic activity and gravitational control of the postural muscle. Aerospace and Environmental Medicine 54(6): 58–72. (In Russ)]. https://doi.org/10.21687/0233-528X-2020-54-6-58-72
- Козловская ИБ (2017) Гравитация и позно-тоническая двигательная система/ Авиакосм и эколог мед 51(3):5. [Kozlovskaya IB (2017) Gravitaciya i pozno-tonicheskaya dvigatel’naya sistema/ Aviakosm i ekolog med 51(3):5. (In Russ)] https://doi.org/10.21687/0233-528X-2017-51-3-5-21
- Cheung VC, d’Avella A, Tresch MC, Bizzi E (2005) Central and sensory contributions to the activation and organization of muscle synergies during natural motor behaviors. J Neurosci 25 (27): 6419–6434. https://doi.org/10.1523/JNEUROSCI.4904-04.2005
- Rybak IA, Dougherty KJ, Shevtsova NA (2015) Organization of the Mammalian Locomotor CPG: Review of Computational Model and Circuit Architectures Based on Genetically Identified Spinal Interneurons (1,2,3). eNeuro 2(5): ENEURO.0069–15.2015. https://doi.org/10.1523/ENEURO.0069-15.2015
- Yokoyama H, Kato T, Kaneko N, Kobayashi H, Hoshino M, Kokubun T, Nakazawa K. (2021) Basic locomotor muscle synergies used in land walking are finely tuned during underwater walking. Sci Rep 11(1): 18480. https://doi.org/10.1038/s41598-021-98022-8
- Holubarsch J, Helm M, Ringhof S, Gollhofer A, Freyler K, Ritzmann R (2019) Stumbling reactions in hypo and hyper gravity – muscle synergies are robust across different perturbations of human stance during parabolic flights. Sci Rep 9(1): 10490. https://doi.org/10.1038/s41598-019-47091-x
- Vernazza-Martin S, Martin N, Massion J (2000) Kinematic synergy adaptation to microgravity during forward trunk movement. J Neurophysiol 83(1): 453–464. https://doi.org/10.1152/jn.2000.83.1.453.PMID: 10634887
- Altenburger K, Bumke O, Foerster O (1937) Allgemeine neurologie. Handbuch der Neurologie. Verlag von Julius Springer. Berlin. S.747.
- Moiseev S, Pukhov A, Mikhailova E, Gorodnichev R (2022) Methodological and computational aspects of extracting extensive muscle synergies in moderate-intensity locomotions. J Evol Biochem Phys 58: 88–97. https://doi.org/10.1134/S0022093022010094
- Hagio S, Ishihara A, Terada M, Tanabe H, Kibushi B, Higashibata A, Yamada S, Furukawa S, Mukai C, Ishioka N, Kouzaki M (2022) Muscle synergies of multidirectional postural control in astronauts on Earth after a long-term stay in space. J Neurophysiol 127(5): 1230–1239. https://doi.org/10.1152/jn.00232.2021
- Kerkman JN, Zandvoort CS, Daffertshofer A, Dominici N (2022) Body Weight Control Is a Key Element of Motor Control for Toddlers’ Walking. Front Netw Physiol 2: 844607. https://doi.org/10.3389/fnetp.2022.844607
- Yokoyama H, Kato T, Kaneko N, Kobayashi H, Hoshino M, Kokubun T, Nakazawa K (2021) Basic locomotor muscle synergies used in land walking are finely tuned during underwater walking. Sci Rep 11(1): 18480. https://doi.org/10.1038/s41598-021-98022-8
- Rybak IA, Dougherty KJ, Shevtsova NA (2015) Organization of the Mammalian Locomotor CPG: Review of Computational Model and Circuit Architectures Based on Genetically Identified Spinal Interneurons (1,2,3). eNeuro 2(5): ENEURO.0069–15.2015. https://doi.org/10.1523/ENEURO.0069–15.2015
- Балабан ПМ, Воронцов ДД, Дьяконова ВЕ, Дьяконова ТЛ, Захаров ИС, Коршунова ТА, Орлов ОЮ, Павлова ГА, Панчин ЮВ, Сахаров ДА, Фаликман МВ (2013) Центральные генераторы паттерна. Журн высш нервн деяте им ИП Павлова 63(5): 520–541. [Balaban PM, Vorontsov D, Diakonova VE, Diakonova T L, Zakharov I S, Korshunova TA, Orlov O Yu, Pavlova GA, Panchin Yu V, Sakharov DA, Falikman MV (2013) Central pattern generators. J High Nerv Activ named IP Pavlov 63(5): 520–541. (In Russ)]. https://doi.org/10.7868/S0044467713050031
- Аршавский ЮИ, Делягина ТГ, Орловский ГН (2015) Центральные генераторы: механизм работы и их роль в управлении автоматизированными движениями. Журн высш нервн деяте им ИП Павлова 65(2): 156–187. [Arshavsky YI, Delyagina TK, Orlovsky GN (2015) Central generators: the mechanism of operation and their role in the management of automated movements. J High Nerv Activ named IP Pavlov 65(2):156–187. (In Russ)]. https://doi.org/10.7868/S0044467715020033
- Сентаготаи Я, Арбиб М (1976) Концептуальные модели нервной системы. – Москва. Мир. 198 с. [Sentagotai Ya, Arbib M (1976) Conceptual models of the nervous system. – Moscow. Mir. 198 p. (In Russ)].
- Томиловская ЕС, Мошонкина ТР, Городничев РМ, Шигуева ТА, Закирова АЗ, Пивоварова ЕА, Савохин АА, Селионов ВА, Семенов ЮС, Бревнов ВВ, Китов ВВ, Герасименко ЮП, Козловская ИБ (2013) Механическая стимуляция опорных зон стоп: неинвазивный способ активации генераторов шагательных движений у человека. Физиол чел 39(5): 34–41. [Tomilovskaya EC, Moshonkina TR, Gorodnichev RM, Shigueva TA, Zakirova AZ, Pivovarova EA, Savokhin AA, Selionov VA, Semenov JUS, Brevnov BB, Kitov BB, Gerasimenko YP, Kozlovskaya IB (2013) Mechanical stimulation of the support zones of the feet: a non-invasive method of activating generators of walking movements in humans. Hum Physiol 39(5): 34–41. (In Russ)]. https://doi.org/10.7868/S0131164613050159
- Gerasimenko Y, Edgerton R, Harkema V, Kozlovskaya I (2020) Gravity dependent mechanisms of sensorimotor regulation of posture and locomotion. Aerospace Environment Med 54: 27–42.
- Орловский ГН (1969) Спонтанная и вызванная локомоция таламической кошки. Биофизика 14(5): 1095–1102. [Orlovsky GN (1969) Spontaneous and induced locomotion of the thalamic cat. Biophysics 14(5): 1095–1102. (In Russ)]. https://doi.org/10.7868/S0044467715020033
- McCrea DA, Rybak IA (2008) Organization of mammalian locomotor rhythm and pattern generation. Brain Res Rev 57(1): 134–146. https://doi.org/10.1016/j.brainresrev.2007.08.006.
- Моисеев СА, Городничев РМ (2023) Особенности синергетического взаимодействия скелетных мышц нижних конечностей под воздействием электрической стимуляции спинного мозга. Физиол чел 49(1): 91–103. [Moiseev SA, Gorodnichev RM (2023) Features of synergetic interaction of skeletal muscles of the lower extremities under the influence of electrical stimulation of the spinal cord. Hum Physiol 49(1): 91–103. (In Russ)]. https://doi.org/10.31857/S0131164622100319.
- Городничев РМ, Пухов АМ, Моисеев СА, Иванов СМ, Маркевич ВВ, Богачева ИН, Гришин АА, Мошонкина ТР, Герасименко ЮП (2021) Регуляция фаз шагательного цикла при неинвазивной электрической стимуляции спинного мозга. Физиол чел 47(1): 73–83. [Gorodnichev RM, Pukhova M, Moiseev S A, Ivanov SM, Markevich V, Bogacheva YIN, Grishin A, Moshonkina T R, Gerasimenko YP (2021) Regulation of the phases of the walking cycle with noninvasive electrical stimulation of the spinal cord. Hum Physiol 47(1): 73–83. (In Russ)]. https://doi.org/10.31857/S0131164621010057
- Latash ML (2012) The bliss (not the problem) of motor abundance (not redundancy). Exp Brain Res. 217(1): 1–5. https://doi.org/doi: 10.1007/s00221-012-3000-4.
- Latash M (2016) Structured variability as a signature of biological processes. Voprosy Psikhologii, 2016(3): 120–126.
- Scholz JP, Schöner G (1999) The uncontrolled manifold concept: identifying control variables for a functional task. Exp Brain Res 126(3):289–306. https://doi.org/doi: 10.1007/s002210050738
- Латаш МЛ (2020) Физика живого движения и восприятия. Москва. Когито-Центр. 358 с. [Latash ML (2020) Physics of Living Motion and Perception. Moscow. Kogito-Center. 358 p. (In Russ)].
Supplementary files





