Changes in gut microbiome taxonomic composition and their relationship to biosynthetic and metabolic pathways of B vitamins in children with multiple sclerosis
- Authors: Abdurasulova I.N.1, Chernyavskaya E.A.1, Nikitina V.A.1, Ivanov A.B.2, Lioudyno V.I.1, Nartova A.A.1, Matsulevich A.V.1, Skripchenko E.Y.3, Bisaga G.N.4, Ulyantsev V.I.2, Dmitriev A.V.1
-
Affiliations:
- Institute of Experimental Medicine
- National Research University ITMO
- Pediatric Research and Clinical Centre for Infectious Diseases under the Federal Medical Biological Agency
- Almazov National Medical Research Centre
- Issue: Vol 60, No 1 (2024)
- Pages: 114-134
- Section: EXPERIMENTAL ARTICLES
- URL: https://ogarev-online.ru/0044-4529/article/view/260441
- DOI: https://doi.org/10.31857/S0044452924010098
- EDN: https://elibrary.ru/ZFBBNV
- ID: 260441
Cite item
Full Text
Abstract
Multiple sclerosis (MS) is a chronic inflammatory autoimmune disease characterised by progressive demyelination leading to the death of neurons in the central nervous system. The disease usually manifests in people aged 20–40 years, but in recent years there has been an increase in the number of cases with childhood MS debut. We assume that this may be related to the peculiarities of the taxonomic composition of the intestinal microbiota and its ability to produce B vitamins. Purpose: To identify changes in the composition of the gut microbiome in the debut of multiple sclerosis in children and adults and to assess the potential of the gut microbiome to metabolise and synthesise B vitamins. Fifteen children (9–17 years), 15 adults with MS manifested in childhood and 14 adults over 37 years of age with MS duration less than 1 year participated in the study. The composition of the intestinal microbiome was determined by sequencing the 16S rRNA gene on the Illumina platform with universal primers for the 16S rRNA V3-V4 variable region. The PICRUST algorithm using the KEGG reference genome database was used to predict the presence of B vitamin metabolic pathways in the intestinal microbiome. Children in MS debut were found to have specific microbiome changes different from those in adults. These changes include a decrease in alpha diversity as well as a reduction in dominant phylum and an increase in p_Verrucomicrobiota and p_Mycoplasmatota, which was accompanied by a decrease in the number of bacterial genes involved in the pathways of metabolism and synthesis of vitamins B1, B2, B3, B5 and B12. Such changes may be associated with early manifestation of MS symptoms in children. The findings highlight the importance of further study of the influence of the intestinal microbiome and its metabolic potential on the development and progression of MS, especially in childhood, and may contribute to the development of modern more effective methods of treatment and prevention of this demyelinating disease.
Full Text
ВВЕДЕНИЕ
Рассеянный склероз (РС) – аутоиммунное нейродегенеративное заболевание, связанное с хроническим воспалением центральной нервной системы (ЦНС), приводящим к демиелинизации, повреждению аксонов и гибели нейронов. Заболевание манифестирует обычно у молодых людей в возрасте 20–35 лет, в 6–10% случаев – в возрасте до 18 лет и чаще (2:1) встречается у женщин, чем у мужчин [1]. Симптомы и активность заболевания могут быть вариабельными. Известно, что существует генетическая предрасположенность к заболеванию, которая реализуется при действии неблагоприятных средовых факторов, среди которых наиболее значимая ассоциация показана для некоторых вирусных инфекций, дефицита витамина D, “западного типа диеты”, ожирения в подростковом возрасте, стрессов, курения [2–6].
На сегодняшний день для лечения пациентов с различными типами течения РС разработано около 16 иммуномодулирующих препаратов, мишенью которых являются Т и В клетки, однако они лишь замедляют прогрессирование заболевания и наступление необратимой инвалидности. Многие препараты “второй линии” могут вызывать серьезные нежелательные явления, и их применение сопряжено с оценкой соотношения польза / риск [7]. Учитывая, что отмечается тенденция к увеличению числа случаев, когда заболевание развивается в детском и подростковом возрасте (педиатрический РС), изучение причин раннего начала заболевания и разработка методов щадящей терапии представляется актуальной задачей.
Педиатрический РС (ПРС) определяется как РС с дебютом в возрасте до 16 лет, в ряде стран, включая Россию – до 18 лет. У 97–99% детей с ПРС отмечается ремиттирующий тип течения РС [8]. Большинство исследований, посвященных изучению педиатрического РС являются наблюдательными [9]. Предполагается, что факторы риска или триггеры развития РС ранней (до 18 лет) манифестации заболевания могут иметь особенности [10]. Известно, что дефицит витаминов группы В сопровождается развитием неврологических симптомов, которые также характерны для рассеянного склероза [11]. Ранее сообщалось о наличии дефицита витаминов группы B у пациентов с РС [12] и было показано влияние дефицита витаминов группы B на развитие и прогрессирование РС [13]. Эти витамины могут подавлять воспаление и являются модуляторами ремиелинизации, а также необходимы для правильного функционирования циклов метионина и фолиевой кислоты, продукции моноаминоксидазы, процессов метилирования, репликации ДНК [14–17]. Однако нет единого мнения о роли витаминов группы В в патогенезе РС и большинство исследований рассматривает роль витамина D в разитии обострений и формирования характера течения заболевания.
В настоящее время возобновился интерес к ислледованию возможной связи дефицита витаминов группы B с развитием / прогрессированием РС, в частности в связи с ролью кишечной микробиоты как продуцента витаминов этой группы.
Исследования последнего десятилетия показали, что существенную роль в патогенезе многих заболеваний ЦНС, в том числе и при РС, играют структурно-функциональные нарушения кишечной микробиоты (дисбиоз) с возрастанием доли родов Bifidobacterium, Akkermansia, Methanobrevibacter, Streptococcus, Acinetobacter и уменьшением – Bacteroides, Prevotella, Collinsella, а также Faecalibacterium, Roseburia и других бутират-продуцирующих бактерий [18].
Кишечная микробиота играет ключевую роль в метаболизме питательных веществ и синтезе метаболитов, модулирующих разные аспекты жизнедеятельности хозяина [19–21]. Важными метаболитами, продуцируемыми микробиотой, являются витамины (в том числе, B6, B9, B12), поскольку млекопитающие не способны их синтезировать и должны получать из экзогенных источников, включая пищевые источники и микробиоту кишечника [22]. Известно, что бактерии, распространенные в дистальном отделе кишечника, такие как Bacteroides, Bifidobacterium и Enterococcus, синтезируют витамины группы В [23]. Эти бактериальные таксоны в разной степени способны продуцировать витамины группы В [24], поэтому недостаточная продукция витаминов группы В измененным микробным сообществом в ЖКТ [25], наряду с возрастанием доли бактериальных видов-потребителей витаминов может создавать дефицит этих незаменимых микронутриентов. Это определяет необходимость понимания относительного вклада кишечной микробиоты в общий гомеостаз витаминов группы В в организме и последствий, которые оказывают изменения состава микробиома при РС на статус этих витаминов.
В недавнем исследовании функциональных и метаболических изменений кишечного микробиома в китайской когорте пациентов с РС [26], наряду с изменениями путей метаболизма жирных кислот, метаболизма фруктозы и маннозы, биосинтеза убихинона и других терпеноидных соединений, метаболизма аскорбата и альдарата, гликолиза / глюконеогенеза, отмечались пути метаболизма витамина B6.
Цель исследования – выявить изменения состава кишечного микробиома в дебюте рассеянного склероза у детей и взрослых и оценить потенциал кишечного микробиома метаболизировать и синтезировать витамины группы В.
МЕТОДЫ ИССЛЕДОВАНИЯ
Пациенты. В исследовании приняли участие 44 пациента с РС с дебютом заболевания в детском и взрослом возрасте, а также 16 здоровых добровольцев соответствующего возраста. Все совершеннолетние испытуемые подписали информированное добровольное согласие. На участие в исследовании несовершеннолетних детей дали согласие их родители. Материал для исследования (образцы кала) от детей поступал из ФГБУ “Детский Научно-клинический центр инфекционных болезней” ФМБА России, а материал от взрослых пациентов – из ФГБУ Национальный медицинский исследовательский центр имени В.А. Алмазова, где пациенты наблюдались или находились для уточнения диагноза. Никто из участников исследования не принимал антибиотики или пробиотики в течение последних трех месяцев.
Группы исследования. Для проведения исследования были сформированы следующие группы пациентов.
В группу (EOMS_Onset) – дебют РС в раннем возрасте вошли 15 детей и подростков в возрасте 6–18 лет с установленным диагнозом рецидивирующе-ремиттирующий рассеянный склероз (РР-РС).
Для сравнения были сформированы 2 группы взрослых пациентов с РР-РС. Критериями включения в группу EOMS_DD являлись манифестация РС в детском возрасте (6–18 лет) и длительность заболевания на момент обследования не менее 5 лет; в группу LOMS_Onset – манифестация РС (длительность до 1 года), возраст – не менее 35 лет. Характеристика групп пациентов представлена в табл. 1.
Таблица 1. Характеристика групп пациентов
Группа | |||
EOMS_Onset | EOMS_DD | LOMS_Onset | |
Количество человек (n) | 15 | 15 | 14 |
Пол (женщины / мужчины) (%) | 86.7 / 13.3 | 66.7 / 33.3 | 50 / 50 |
Возраст (лет) | 14.0 ± 0.9 | 32.7 ± 2.1* | 37.1 ± 0.7* |
Возраст манифестации РС (лет) | 13.9 ± 0.9 | 15.1 ± 0.6# | 36.5 ± 0.8* |
EDSS (баллы) | 3.2 ± 0.4 | 4.4 ± 0.5# | 2.1 ± 0.3 |
Длительность заболевания (лет) | 0.6 ± 0.05 | 15.3 ± 1.7*# | 0.8 ± 0.07 |
Использование ПИТРС n (%) | 1/15 (6.7) | 8/15 (53.3)* | 3/14 (21.4) |
Примечание. * – отличие от группы EOMS_Onset, p < 0.05; # – отличие от группы LOMS_Onset, p < 0.05.
Контрольную группу составили дети и взрослые сопоставимого возраста по 8 человек. Показатели кишечного микробиома здоровых детей и взрослых между собой достоверно не различались, поэтому для повышения статистической значимости анализ данных разных групп пациентов проводился относительно объединенной контрольной группы.
Выделение ДНК микроорганизмов. Образцы стула доставлялись в лабораторию в течение 2-х часов после сбора и хранились при –80 °C до проведения исследования. Выделение ДНК микроорганизмов из образцов фекалий проводили с помощью набора “ДНК-сорб-В” (ООО “Некст-Био”, СПб, Россия) в соответствии с инструкцией производителя. Количество ДНК стандартизировали на спектрофотометре для дальнейшего определения таксономического состава методом секвенирования гена 16S рРНК.
Секвенирование гена 16S рРНК. Для проведения метагеномного анализа бактериального сообщества использовали регион V3-V4 гена 16S pРНК. Приготовление библиотеки для секвенирования проводилось в соответствии с протоколом (16S Metagenomic Sequencing Library preparation) для MiSeq, Illumina. Секвенирование полученной библиотеки проводили, используя набор парных прочтений 2 × 250 bp (Rapid Run) с добавлением 2% Phix в качестве контроля. Тримминг полученных ридов проводился при помощи программы “Trimming v0.3” с последующей фильтрацией химерных ридов с помощью алгоритма Uchime* (часть программы Userach v7.0). Таксономический и функциональный анализ данных проводился с использованием программы Knomics-biota [27].
Определение и характеристика таксономического состава кишечного микробиома. Для определения таксономического состава образцов использовался алгоритм uclust_ref [28] и база референсных последовательностей участка 16s рРНК Greengenes v. 13.5 [29], построенная с параметром 97% сходства OTU. Для вычисления альфа-разнообразия (микробная изменчивость внутри образца) использовались две метрики: богатство и разнообразие таксонов оценивалось с помощью индекса Шеннона [30]; обильно- и слабопредставленные виды – с помощью индекса Chao1 [31]. Для оценки бета-разнообразия (микробная изменчивость между образцами) использовали показатель, вычисленный как взвешенное расстояние UniFrac между всеми парами образцов с учетом видовой близости [32].
Прогнозирование наличия метаболических путей витаминов группы В. Функциональная аннотация и прогнозирование наличия метаболических модулей и путей в образцах проводились с использованием алгоритма PICRUST [33]. Последовательности OTU из анализируемых образцов и маркерные гены из базы данных Киотской энциклопедии генов и геномов (KEGG) были выровнены на таксономическое дерево [34]. Для вершин дерева с неизвестным содержанием генов их функциональная роль определялась на основе данных из ближайшего общего предка в дереве. Суммарный функциональный потенциал образца и присутствующие в нем бактериальные гены метаболических путей определялись как совокупность генов, найденных в дереве.
Статистический анализ. Сравнение состава кишечного микробиома на разных таксономических уровнях в группах пациентов и здоровых добровольцев производилась с применением двустороннего теста Манна–Уитни для независимых выборок с поправкой Бонферрони на множественные сравнения с применением программных библиотек statannot v. 0.2.3. [35] и mathplotlib v.3.7.1. [36] на языке программирования Python v. 3.8. [37].
Определение коэффициентов корреляции Пирсона для оценки взаимосвязей между различными бактериальными филумами и метаболическими путями бактерий производилась также с использованием библиотек statannot v. 0.2.3. [38] и mathplotlib v.3.7.1. [39] на языке программирования Python v. 3.8. [37].
Для сравнения долей различных филумов в группах пациентов и здоровых добровольцев осуществляли с помощью критерия Хи-квадрат Пирсона. Анализ проводили в онлайн-статистическом программном обеспечении www.openepi.com [40], www.medstatistic.ru [41], а также с помощью языка программирования Python [42] v.3.8 и программных библиотек для него numpy v. 1.24.2 [40], scipy 1.9.1. [41], pandas v. 2.0.0. [42].
РЕЗУЛЬТАТЫ ИССЛЕДОВАНИЯ
Изменения структуры кишечного микробиома
Для описания структуры кишечного микробиома используются характеристики альфа- и бета-разнообразия, отражающие видовое богатство в сообществе и межиндивидуальные различия, соответственно. Сравнение альфа-разнообразия (индексы Шеннона и Чао 1) кишечного микробиома исследуемой выборки выявило более низкие значения обоих индексов в группе EOMS_Onset по сравнению с контрольной группой и с группой EOMS_DD (рис. 1а), а анализ бета-разнообразия – показал высокую межиндивидуальную вариабельность, особенно среди пациентов с РС (рис. 1b).
Рис. 1. Альфа- (а), (b) и бета-разнообразие (c) кишечного микробиома исследуемой выборки. (а) и (b) – Альфа-разнообразие оценивалось по индексу Chao1 (а), измеряющему богатство (число видов) и индексу разнообразия Шеннона (b) (относительное обилие различных видов). Данные представлены как медиана и 95% доверительный интервал. Различия между группами оценивались для каждого индекса разнообразия в отдельности с помощью критерия Манна–Уитни с поправкой Бонферрони на множественные сравнения (* – p < 0.05, ** – p < 0.01). (c) – Бета-разнообразие – Матрица расстояний между индексами разнообразия была визуализирована с помощью многомерного шкалирования (MDS) с анализом главных координат. Различия между группами оценивались с помощью пермутационного многомерного дисперсионного анализа.
При визуализации PCoA (метод главных координат) на основе таксономического состава кишечного микробиома не выявлено кластеризации точек, относящихся к разным группам. Часть точек, соответствующих пациентам, расположена в зоне “здоровых”, при этом точки, соответствующие группе EOMS_Onset, практически не перекрываются с этой зоной. Однако ни одна из групп пациентов достоверно не отличалась от контрольной группы (test statistic 2.073053; p-value 0.071). Точки, соответствующие здоровым людям, располагаются ближе друг к другу, то есть имеют большее сходство, чем у пациентов с РС, что подтверждается сравнительным анализом, выявившим различие между “здоровыми” и “больными” (pseudo-F 4.095213; p-value 0.027; number of permutations 999).
В кишечном микробиоме здоровых людей независимо от возраста выявлено 9 бактериальных филумов, из которых значимо доминировали два филума – Firmicutes (реклассифицированы в Bacillota) и Bacteroidota, в меньшем количестве присутствовали Proteobacteria (реклассифицированы в Pseudomonadota), Actinobacteria (реклассифицированы в Actinomycetota), Verrucomicrobiota, остальные филумы встречались в единичных образцах с низкой представленностью (рис. 2а). У всех пациентов с РС отмечалось сокращение представленности доминантных филумов с возрастанием доли минорных филумов, у 25% пациентов с РС в небольших количествах выявлялись дополнительные филумы – Acidobacteriota, Lentisphaerota, Chloroflexota, Synergistota в разных сочетаниях.
Рис. 2. Соотношение различных филумов в структуре кишечного микробиома (а) и распределение пациентов с разным содержанием доминантных филумов (b). (a) – Сравнение соотношения филумов в различных группах пациентов и здоровых добровольцев производилось с помощью теста Хи-квадрат Пирсона; * – p < 0.05 – отличие от контрольной группы, между группами РС отличий нет. (b) – Сравнение суммарной доли доминантных филумов (Firmicutes + Bacteroidota) проводили с помощью теста Хи-квадрат Пирсона.
Статистически значимого сокращения численности каждого из доминантных филумов по сравнению с контрольной группой не наблюдалось ни у детей, ни у взрослых с РС, однако сокращалась их суммарная доля. Так, в контрольной группе на долю этих филумов приходилось 90–97%, а у пациентов с РС – существенно сокращалась: в группе детей с РС у 20% пациентов доля доминантных филумов была ниже 50% и почти у 30% – не превышала 65% (p = 0.002, χ2=13.277, по сравнению с контрольной группой), в обеих группах взрослых пациентов с РС у ~70.0% пациентов содержание этих филумов варьировало от 47.0% до 85.0% (рис. 2b).
На фоне уменьшения доли Firmicutes и Bacteroidota в структуре кишечного микробиома во всех группах РС возрастала представленность минорного филума Verrucomicrobiota. В обеих группах с ранней манифестацией РС (EOMS_Onset, EOMS_DD) возрастала численность Mycoplasmatota (ранее Tenericutes), а у пациентов группы LOMS_Onset – Methanoplasmatota (ранее Euryarchaeota) (рис. 2а). Среди наиболее представленных классов в составе кишечного микробиома исследуемой выборки встречались Clostridia, Bacilli (p_Firmicutes), Bacteroidia (p_Bacteroidota), Verrucomicrobiae (p_Verrucomicrobiota) и Actinomycetes (p_Actinobacteria), но значимые изменения по сравнению с контролем отмечались только в относительной доле Verrucomicrobiae, которая возрастала во всех группах РС. Из менее представленных классов также во всех группах РС увеличивалась доля Mollicutes (p_Mycoplasmatota) и бактерий TМ7–3 (p_“Saccharibacteria”) (рис. 3).
Рис. 3. Изменения кишечного микробиома на уровне классов. Данные представлены как медиана, границы прямоугольников – 1–3 квартили, границы отрезков –95% доверительный интервал. Для сравнения использовали двусторонний Манна–Уитни тест с поправкой Бонферрони на множественность сравнений.
На уровне семейств изменения выявлены в численности 7 таксонов. Во всех группах с РС по сравнению с контрольной группой в 2 и более раза уменьшались Lachnospiraceae (p_Firmicutes), а в группе детей с РС также сокращалась численность Alcaligenaceae (p_Proteobacteria) (рис. 4).
Рис. 4. Изменения кишечного микробиома на уровне семейств. Данные представлены как медиана, границы прямоугольников – 1–3 квартили, границы отрезков – 95% доверительный интервал. Для сравнения использовали двусторонний тест Манна–Уитни с поправкой Бонферрони на множественность сравнений.
Относительная представленность остальных семейств при РС, напротив, возрастала: Verrucomicrobiaceae (p_Verricomicrobiaceae) и Actinomycetaceae (p_Actinobacteria) во всех группах, Enterobacteriaceae (p_Proteobacteria) – в обеих группах с ранним началом РС, неклассифицированные o_Clostridiales (p_Firmicutes) – у взрослых с ранним началом РС, а f_Christensenellaceae (p_Firmicutes) – у взрослых с ранним началом РС и в дебюте РС.
В среднем по группам в составе кишечного микробиома было выявлено 236 бактериальных родов, которые встречались с разной частотой в ЖКТ пациентов и у людей контрольной группы. Наиболее представленные (от 16% до 3%) рода составили Bacteroides, Prevotella (p_Bacteroidota), Faecalibacterium, Ruminococcus, Dialister (p_Firmicutes), Akkermansia (p_Verrucomicrobiota), а также неклассифицированные бактерии семейств Ruminococcaceae (реклассифицированы в Oscillospiraceae) и Lachnospiraceae (p_Firmicutes), из которых значимо от контрольной группы при РС отличались три последних.
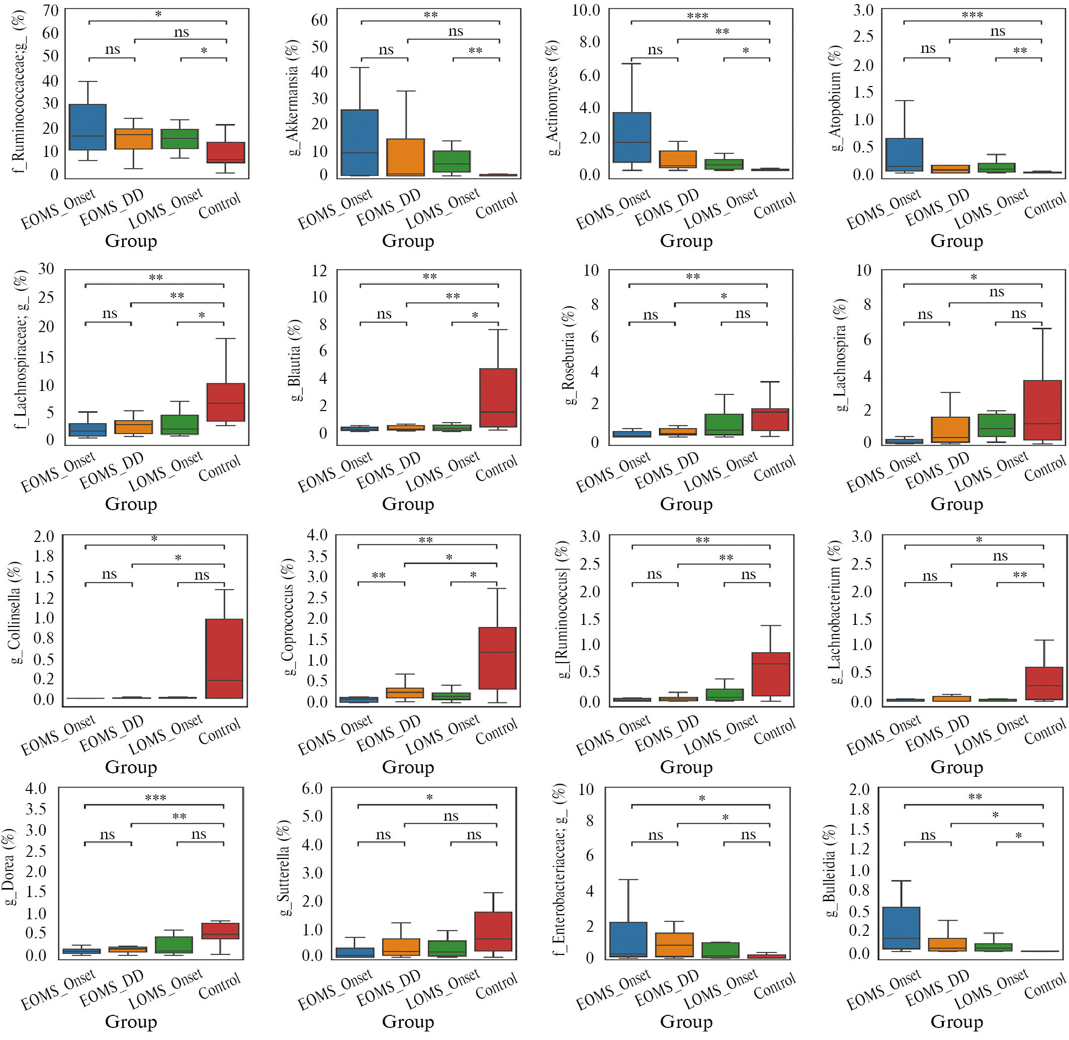
Неклассифицированные бактерии семейств Ruminococcaceae и Akkermansiaceae возрастали в дебюте РС, как у детей, так и у взрослых, а неклассифицированные бактерии семейства Lachnospiraceae уменьшались во всех группах РС (рис. 5). Из менее представленных родов, составлявших от 1 до 3%, во всех группах РС возрастала доля Actinomyces (p_Actinobacteria; f_Actinomycetaceae) и Bulleidia (p_Firmicutes; f_Erysipelotrichaceae), в дебюте РС увеличивалась также представленность Atopobium (p_Actinobacteria; f_Coriobacteriaceae), а в группах с ранним началом РС – неклассифицированные f_Enterobacteriaceae (p_Proteobacteria). Во всех группах РС была снижена представленность Blautia и Coprococcus (p_Firmicutes; f_Lachnospiraceae). Roseburia, Dorea, [Ruminococcus] (p_Firmicutes; f_Lachnospiraceae) и Collinsella (p_Actinobacteria; f_Coriobacteriaceae) – уменьшались в обеих группах с дебютом РС в детском возрасте, Lachnobacterium (p_Firmicutes; f_Lachnospiraceae) – у детей и взрослых в дебюте РС, у детей также сокращалась численность Lachnospira (p_Firmicutes; f_Lachnospiraceae) и Sutterella (p_Proteobacteria; f_Sutterellaceae) (рис. 5).
Рис. 5. Изменения кишечного микробиома на уровне родов. Данные представлены как медиана, границы прямоугольников – 1–3 квартили, границы отрезков – 95% доверительный интервал. Для сравнения использовали двусторонний тест Манна–Уитни с поправкой Бонферрони на множественность сравнений (ns: p > 0.05; *: 0.01 < p ≤ 0.05; **: 0.001 < p ≤ 0.01).
Таким образом, для каждой группы был характерен свой паттерн изменений кишечного микробиома на разных таксономических уровнях. Наиболее значимые изменения кишечного микробиома отмечались в группе детей при манифестации РС.
Для того, чтобы оценить, могут ли изменения кишечного микробиома повлиять на бактериальный пул витаминов группы В, был проведен сравнительный и корреляционный анализ относительной представленности групп генов бактериальных ферментов, вовлекаемых в пути метаболизма и синтеза этих витаминов, на основе реконструкции PICRUST и общедоступного ресурса Киотской энциклопедии генов и геномов (KEGG) https://www.genome.jp/kegg/.
Анализ реконструированных бактериальных путей синтеза и метаболизма витаминов группы В
Для оценки функционального потенциала кишечного микробиома исследуемой выборки была определена относительная представленность ko (KEGG Orthology) групп генов бактериальных ферментов, связанных с путями метаболизма и биосинтеза витаминов группы В. В общей сложности в составе кишечного микробиома исследуемой выборки были обнаружены бактериальные гены, которые могут вовлекаться в аннотированные в KEGG пути метаболизма и синтеза витаминов группы В, перечисленные в табл. 2.
Таблица 2. Потенциальные пути метаболизма и синтеза витаминов группы В, аннотированные в KEGG, в которые может вовлекаться кишечный микробиом исследуемой выборки
Витамин | KEGG идентификатор | Название пути | Модуль пути |
В1 тиамин / тиамин-пирофосфат (TPP) | ko00730 | Thiamine metabolism | M00127:Thiamine biosynthesis, AIR => thiamine-P/thiamine-2P |
В2 рибофлавин / флавинмононуклеотид (FMN) / флавинадениндинуклеотид (FAD) | ko00740 | Riboflavin metabolism | M00125:Riboflavin biosynthesis, GTP => riboflavin/FMN/FAD |
В3 ниацин / никотинамид-адениндинуклеотид (NAD) / никотинамидадениндинуклеотидфосфат (NADP) | ko00760 | Nicotinate and nicotinamide metabolism | M00115:NAD biosynthesis, aspartate => NAD |
M00622:Nicotinate degradation, nicotinate => fumarate | |||
В5 пантотенат/кофермент А (CoA) | ko00770 | Pantothenate and CoA biosynthesis | M00119:Pantothenate biosynthesis, valine/L-aspartate => pantothenate |
M00120:Coenzyme A biosynthesis, pantothenate => CoA | |||
В6 пиридоксин / пиридоксаль / пиридоксамин / пиридоксальфосфат | ko00750 | Vitamin B6 metabolism | M00124:Pyridoxal biosynthesis, erythrose-4P => pyridoxal-5P |
В7 биотин | ko00780 | Biotin metabolism | M00572:Pimeloyl-ACP biosynthesis, BioC-BioH pathway, malonyl-ACP => pimeloyl-ACP |
M00577:Biotin biosynthesis, BioW pathway, pimelate => pimeloyl-CoA => biotin | |||
В9 фолиевая кислота / фолаты тетрагидрофолат (THF) | ko00790 | Folate biosynthesis | M00126:Tetrahydrofolate biosynthesis, GTP => THF |
ko00670 | One carbon pool by folate | ||
В12 кобаламин / цианкобаламин /метилкобаламин / аденозилкобаламин | ko00860 | Porphyrin metabolism | M00122:Cobalamin biosynthesis, cobinamide => cobalamin |
Кроме того, в составе кишечного микробиома были найдены потенциальные гены транспортных систем витамина В1 (M00191:Thiamine transport system и M00192:Putative thiamine transport system) и витамина В12 (M00241:Vitamin B12 transport system), а также образования хоризмата, который может быть источником фолата или триптофана – предшественника синтеза NAD (М00022: Shikimate pathway, phosphoenolpyruvate + erythrose-4P => chorismate).
Сравнение относительной представленности групп генов бактериальных ферментов, вовлекаемых в пути метаболизма и синтеза витаминов группы В, показало, что у детей и подростков с РС в кишечном микробиоме присутствует более низкое количество бактериальных генов, потенциально вовлекаемых в пути метаболизма и синтеза витаминов В1, В2, В3, В5 и В12, чем в контрольной группе (рис. 6).
Рис. 6. Изменения потенциальной представленности бактериальных генов, вовлекаемых в пути метаболизма, синтеза и транспорта витаминов группы В. Данные представлены как медиана, границы прямоугольников – 1–3 квартили, границы отрезков – 95% доверительный интервал. Для сравнения использовали двусторонний тест Манна–Уитни с поправкой Бонферрони на множественность сравнений.
Численность генов, вовлекаемых в пути метаболизма тиамина и биосинтеза NAD, была также ниже, у детей в дебюте РС, чем у взрослых с дебютом РС в детском возрасте (рис. 6). В обеих группах с ранней манифестацией РС в составе кишечного микробиома отмечалось увеличение численности генов транспортных систем витамина В12. В группе взрослых с ранним началом РС также отмечалась тенденция к увеличению численности генов транспортных систем витамина В1 (p=0.05).
Во всех группах пациентов с РС уменьшалась представленность генов путей деградации никотината, однако их доля в кишечном микробиоме незначительна (<0.01%). Только у детей в дебюте РС сокращалась представленность генов Шикиматного пути (рис. 6). Различий по сравнению с контрольной группой в представленности генов путей метаболизма и синтеза витаминов В6, В7 и В9 не наблюдалось ни в одной из групп с РС.
Таким образом, наиболее выраженные изменения в представленности бактериальных генов, вовлекаемых в пути и модули путей синтеза витаминов группы В, отмечается в группе детей с РС, что согласуется с более значимыми изменениями таксономического состава кишечного микробиома.
Для выявления возможной связи исследуемых реконструированных метаболических путей витаминов группы В с представленностью бактериальных таксонов был проведен корреляционный анализ, который показал наличие значимых корреляций с филумами Bacteroidota, Firmicutes, Verrucomicrobiota, Proteobacteria и Actinobacteria. Однако выявленные корреляции различались в контрольной группе и группах пациентов с РС (рис. 7).
Рис. 7. Корреляционная связь представленности бактериальных филумов и потенциальных генов, вовлекаемых в пути метаболизма и синтеза витаминов группы В. Ячейки с коэффициентами отражают достоверные корреляции: слабая корреляция – r ≤ 0.5 (не отображена на графике); средняя корреляция – 0.5 < r ≤ 0.7, сильная корреляция – r > 0.7.
Наиболее многочисленные и сильные корреляционные связи с путями или определенными модулями путей биосинтеза и метаболизма витаминов группы В были обнаружены для филума Bacteroidota (рис. 7). В контрольной группе с этим филумом коррелировала численность генов путей метаболизма витаминов В3 и В6, путей биосинтеза коэнзима А (В5), пиридоксаля (В6), фолата (В9), тетрагидрофолата (В9), а также одноуглеродного пула фолата и отрицательно коррелировала численность генов путей метаболизма и синтеза витамина В12, а также транспортных систем тиамина (В1). При РС сохранялась корреляция с генами путей метаболизма и биосинтеза витамина В6, биосинтеза фолата и одноуглеродного пула фолата, при этом появились новые корреляции – с генами путей биосинтеза рибофлавина (В2), пантотената (В5), биосинтеза и метаболизма биотина, деградации никотината, при этом не выявлено корреляции с путями метаболизма и синтеза витамина В12. С путями метаболизма и синтеза витамина В1 у Bacteroidota корреляций не обнаружено ни в одной группе.
Численность Firmicutes в основном отрицательно коррелировала с генами, вовлекаемыми в пути метаболизма и синтеза витаминов группы В, хотя эти пути различались в контрольной группе и при РС. С путями метаболизма и синтеза витамина В12 численность Firmicutes имела положительную корреляцию в контрольной группе, тогда как у пациентов с РС независимо от возраста такой корреляции не наблюдалось. Были также обнаружены отрицательные корреляции филума Proteobacteria с путями метаболизма или синтеза витаминов В1, В2, В3, В5 и шикиматным путем в контрольной группе. При РС эти корреляции исчезали, отмечалась единственная положительная корреляция с путями транспортных систем витамина В12. Мы не выявили связи филума Actinobacteria с представленностью генов путей метаболизма и синтеза витаминов группы В в контрольной группе, но при РС этот филум отрицательно коррелировал с путями метаболизма и синтеза рибофлавина (В2) и синтеза кобаламина (В12). Изменение корреляционных связей численности генов путей метаболизма и синтеза витаминов группы В отмечалось у пациентов с РС по сравнению с контрольной группой с филумом Verrucomicrobiota – появлялись отрицательные связи с путями метаболизма витамина В6, одноуглеродным пулом фолата и биосинтезом витамина В12 (рис. 7).
Далее, для выявления бактериальных родов, относящихся к филуму Bacteroidota, потенциально связанных с метаболизмом и синтезом витаминов группы В, был проведен дополнительный корреляционный анализ. В контрольной группе большинство корреляций с путями метаболизма витаминов группы В выявлено с родом Prevotella: с путями метаболизма витаминов В3 (r = 0.63), биосинтеза коэнзима А (r = 0.65), одноуглеродного пула фолата (r = 0.66), а с путями биосинтеза пиридоксаля коррелировала численность Bacteroides (r = 0.58), Parabacteroides (r = 0.64) и f_Muribacullaceae (ранее S24–7); g_ (r = 0.75). При РС большинство выявленных корреляций филума Bacteroidota с путями метаболизма и синтеза витаминов группы В обеспечивалось f_Rikenellaceae; g_, f_[Barnesiellaceae]; g_ и Odoribacter.
Была также проанализирована связь путей метаболизма и синтеза витаминов группы B с другими бактериальными родами, численность которых значимо изменялась при РС (рис. 8).
Рис. 8. Корреляционная связь представленности бактериальных родов, измененных при РС и потенциальных генов, вовлекаемых в пути метаболизма и синтеза витаминов группы В. Ячейки с коэффициентами отражают достоверные корреляции: слабая корреляция – r ≤ 0.5 не отображена на графике, средняя корреляция – 0.5 < r ≤ 0.7, сильная корреляция – r > 0.7.
Обнаружена корреляция f_Lachnospiraceae; g_ и Roseburia с путями метаболизма витамина В1, Ruminococcus – с путями биосинтеза витамина В3, Coprococcus – с путями биосинтеза витамина B5, Sutterella – с путями биосинтеза витамина B6. Численность f_Lachnospiraceae; g_, Coprococcus и Dorea коррелировала с путями синтеза витамина В12. При РС эти корреляции исчезали, зато появлялись корреляции Atopobium и Akkermansia с путями метаболизма и синтеза витаминов группы В преимущественно отрицательного знака (рис. 8).
ОБСУЖДЕНИЕ РЕЗУЛЬТАТОВ
Проведенное исследование показало, что имеются специфические изменения структуры кишечного микробиома у детей и подростков при манифестации рассеянного склероза, отличные от изменений, происходящих у взрослых в дебюте РС. Для детей и подростков в дебюте РС было характерно не только возрастание или уменьшение отдельных таксонов, но и существенная модификация структуры кишечного микробиома – снижение альфа-разнообразия, а также редукция доминантных филумов с выраженным возрастанием Verrucomicrobiota и Mycoplasmatota. Наличие сходного паттерна изменений кишечного микробиома в группе взрослых с началом РС в детском возрасте, позволяют предположить, что возрастание Mycoplasmatota в большей степени может влиять на раннее проявление клинических симптомов РС, тогда как Euryarchaeota могут иметь значение для манифестации заболевания РС у взрослых.
Увеличение доли Verrucomicrobiota у взрослых пациентов с РС отмечалось неоднократно [26, 43, 44]. В данном исследовании показано, что это происходит не только у взрослых, но и у детей с РС уже в дебюте заболевания. Для филума Mycoplasmatota не описано изменений при РС, но в исследованиях Tremlett и соавт. [45, 46] показано увеличение класса Mollicutes RF39, относящихся к этому филуму, именно у детей с РС.
Во многих исследованиях кишечного микробиома при РС отмечается сокращение [44, 47, 48] или увеличение [49, 50] численности филума Bacteroidota при РС, однако мы не обнаружили значимых изменений представленности этого филума ни в целом, ни какого-либо рода из этого филума ни в одной из групп по сравнению с контрольной группой. Отсутствие различий в представленности Bacteroidota в группах пациентов с РС по сравнению с контролем в нашем исследовании, вероятно, связано с тем, что численность этих микроорганизмов уменьшается по мере увеличения длительности заболевания, а в нашем исследовании в 2-х группах пациентов длительность РС не превышала одного года. Выявленная нами отрицательная корреляция представленности этого филума с длительностью заболевания согласуется с этой точкой зрения (данные не представлены).
В исследовании Horton и соавт. [51], выполненном также на когорте детей с РС, показана защитная роль Odoribacter splanchicus, относящегося к филуму Bacteroidota. Авторы объясняли протективные свойства этих бактерий способностью продуцировать бутират. Мы предполагаем, что позитивное влияние на организм g_Odoribacter может оказывать также за счет способности синтезировать витамины группы В (B1, B2, B5, B6 и B7), с путями синтеза которых этот бактериальный таксон коррелировал в нашей когорте пациентов с РС.
Согласно литературным данным, для пациентов с РС, в том числе для детей типично возрастание доли Actinobacteria [47, 48, 52–54]. Мы отмечали увеличение доли этого филума у детей, но оно не достигало уровня статистической значимости, видимо, за счет немногочисленности (1–4%) и разнонаправленности (увеличение-уменьшение) изменений, значимо отличающихся между исследуемыми группами Actinomyces, Atopobium, Collinsella, относящихся к этому филуму. Также во многих исследованиях [44–47, 52] показано возрастание численности g_Bifidobacterium при РС, которое может считаться установленной характерной особенностью этого заболевания. Ранее нами было обнаружено увеличение численности этих бактерий у пациентов, имевших более тяжелый вариант течения РС, который отмечается на развернутых стадиях РС длительности заболевания 10 и более лет [55]. Однако в дебюте РС ни у детей, ни у взрослых не наблюдалось увеличения доли этих микроорганизмов. Полученные в этом исследовании данные не противоречат ранее полученным результатам, так как в данном исследовании было всего 4 пациента с тяжелым течением РС, которые входили в группу сравнения (EOMS_DD).
Наконец, Jhangi и соавт. [43] у взрослых с РС, а Tremlett и соавт. [45, 46] у детей с РС отмечали увеличение филума Euryarchaeota (реклассифицирован в Methanobacteriota). Существенное повышение уровня Methanobacteriota наблюдалось нами только у взрослых в дебюте заболевания, хотя у части детей также отмечалось увеличение представленности этого филума.
Выявленное у всех пациентов с РС уменьшение неклассифицированных Lachnospiraceae, Roseburia, Anaerostipes, Blautia (p_Firmicutes), Collinsella (p_Actinobacteria) и увеличение неклассифицированных Ruminococcaceae (p_Firmicutes) согласуется с данными других исследований [43–47, 56, 57]. Отмеченное только у детей с РС уменьшение доли Lachnospira (p_Firmicutes) и возрастание – Atopobium, Actimomyces (p_Actinobacteria), Akkermansia (p_Verrucomicrobiota) в других исследованиях отмечалось как у детей, так и у взрослых [45, 46, 56, 58, 59] или только у взрослых [56]. Clostridium (p_Firmicutes) уменьшались у детей и увеличивались у взрослых соответственно исследованиям [56, 60]. Единственное несоответствие с другими исследованиями [45, 46, 53, 61] – уменьшение, а не повышение доли Coprococcus во всех группах с РС нашей когорты.
Очевидно, что такие выраженные изменения таксономического состава будут отражаться на функциональности кишечного микробиома, в частности, из-за уменьшения числа бактериальных генов, вовлекаемых в пути метаболизма и синтеза витаминов группы В, может создаваться дефицит бактериального пула витаминов. Так, на недостаточный бактериальный синтез витаминов В1, В2, В3 и В12 у детей нашей выборки может указывать выявленное снижение относительной представленности генов бактериальных ферментов, вовлекаемых в метаболические пути этих витаминов.
В исследовании Zheng и соавт. [59] на китайской когорте взрослых пациентов с РС показано, что Streptococcus, Atopobium, Actinomyces и Rotinia могут быть биомаркерами РС, а функциональный анализ с помощью PICRUSt выявил подавление путей, участвующих в метаболизме кофакторов и витаминов при РС. Два из этих маркерных рода – Atopobium, Actinomyces, значимо увеличены у детей с РС нашей когорты и их численность отрицательно коррелирует с определенными метаболическими путями витаминов (рис. 8).
В настоящее время не ясно, какое значение для хозяина играет пул витаминов, продуцируемый бактериями в толстой кишке. Однако нарушение баланса между продуцентами и потребителями этих витаминов может приводить к повышенной конкуренции за витамины не только между бактериями, но и с хозяином, способствуя развитию дефицитного состояния витаминов. Наличие транспортеров витаминов в толстой кишке [62] свидетельствует о том, что неабсорбированные в тонкой кишке диетические витамины, а возможно и витамины бактериального происхождения, используются хозяином в этом компартменте кишечника.
Известно, что витамины группы B необходимы для формирования разнообразия и богатства кишечной микробиоты, и при дефиците витамина В3 наблюдается низкое альфа-разнообразие [63]. Вероятно, изменения структуры кишечного микробиома, связанные с уменьшением альфа-разнообразия, выявленные у детей в дебюте РС, указывают на имеющийся дефицит витамина В3 в толстой кишке. Дефициту витамина В3 при РС может способствовать многократное возрастание доли Verrucomicrobiota в составе кишечного микробиома, особенно у детей с РС, поскольку имеется сильная отрицательная корреляция (r = –0.89) численности этого филума с путями синтеза NAD (витамина В3).
Для некоторых микроорганизмов показана зависимость их роста от определенных витаминов группы В. Например, на рост и численность Roseburia влияет наличие рибофлавина [64], а на численность Bacteroidales и Clostridiales – фолиевой кислоты [65]. У мышей с дефицитом фолиевой кислоты снижалась численность этих таксонов, но увеличилась – Lactobacillales и Erysipelotrichaceae [65].
На основании наших данных мы не можем определить, какие виды бактерий синтезируют витамин В1 и имеется ли дефицит этого витамина у хозяина. Хотя считается, что Bacteroidota являются основными продуцентами витамина В1 [24], мы не обнаружили корреляции численности этого филума с путями биосинтеза витамина В1 ни у пациентов с РС, ни у здоровых людей. Более высокой способностью к биосинтезу тиамина обладает бактериальное сообщество, относящиеся к энтеротипу 2, [66] в котором широко представлены Prevotella, способные экспрессировать четыре фермента, участвующие в биосинтезе тиамина: гидроксиметилпиридин киназу, фосфометилпиридин киназу, тиаминфосфатпиро фосфорилазу и тиаминмонофосфат киназу [66]. В данном исследовании Prevotella коррелировали с путями синтеза не только витамина В1, но и витаминов В2 (рибофлавина), В5 (коэнзима А) и В9 (THF).
Показано, что концентрация тиамина в просвете может варьировать от 20 до 2000 нМоль [67], поэтому способность микроорганизмов синтезировать собственный тиамин для обеспечения роста наиболее важна в период падения уровня витамина. Кишечные микроорганизмы, такие как Ruminococcaceae, а также многие представители бацилл, для роста которых требуется внешний источник витамина В1 и которые полностью зависят от транспорта тиамина, наиболее чувствительны к снижению доступности тиамина [68, 69]. Логично ожидать, что при недостатке тиамина численность этих бактериальных видов будет снижаться. Однако наблюдалось существенное возрастание доли этих микроорганизмов, из чего следует, что либо в просвете кишечника имеется достаточное количество тиамина, чтобы обеспечить их рост, например, в результате синтетической деятельности возрастающих Actinomyces [70], либо они более эффективно его захватывают, либо имеются в достаточном количестве другие пищевые субстраты, необходимые для их роста. В любом случае, при увеличении численности этих ауксотрофных таксонов они конкурируют за тиамин не только с хозяином, но и с другими членами бактериального сообщества, создавая дефицит этого микронутриента, по крайней мере, локально в толстой кишке. Поскольку показано, что Roseburia intestinalis M50/1 не способны расти при отсутствии тиамина, даже при наличии генов, кодирующих синтез тиамина [71], и на их численность влияет наличие рибофлавина [64], уменьшение Roseburia у детей с РС может быть связано с дефицитом этих витаминов в толстой кишке. В свою очередь, снижение численности Roseburia может негативно сказываться на продукции других витаминов. Hillman и соавт. [72] проанализировали метаболическую способность синтезировать витамины группы В у 10 штаммов, относящихся к пяти видам Roseburia, и у всех протестированных штаммов обнаружили наличие генов, вовлекаемых в синтез витаминов В1, В3 и В12, и кроме 3-х штаммов R. inulinivorans – гены, способные участвовать в синтезе витаминов В2 и В5. Таким образом, дефицит витамина(ов) через дисбаланс состава кишечного микробного сообщества может приводить к дефициту пула других витаминов.
Поскольку при дефиците витамина B1 нарушается дифференцировка и пролиферация иммунных клеток, ослабляется нейрогенез и миелиногенез, повышается проницаемость гематоэнцефалического барьера [73–76] его недостаточная продукция микробиотой может способствовать запуску РС и негативно влиять на течение заболевания в дальнейшем. Это предположение подтверждается экспериментальными данными, показывающими, что при индукции экспериментального аутоиммунного / аллергического энцефаломиелита (ЭАЭ) у животных с дефицитом витамина В1 тяжесть заболевания усугублялась и у этих животных отмечалась повышенная пролиферация Т-клеток, усиленная инфильтрация ЦНС субпопуляциями Th1 и Th17 клеток и повышенной активацией микроглии [77].
Противовоспалительные свойства витамина В3 известны, как и его способность снижать проницаемость сосудов в кишечнике [78, 79]. Для путей метаболизма витамина В3 выявлена сильная (r = –0.95) отрицательная корреляция с Akkermansia. В отличие от других витаминов, витамин B3 также может синтезироваться из триптофана не только кишечными бактериями [80, 81], но и хозяином. [82]. Насколько отражается на пуле этого витамина в кишечнике выявленная нами корреляция с Akkermansia не известно. Вероятно, что конкуренция за витамин В3 и создание его дефицита у хозяина, может быть еще одним механизмом провоспалительного действия Akkermansia, наряду с деградацией слизи и направлением дифференцировки наивных Т-клеток в Th1.
Напротив, с представленностью генов путей метаболизма витамина В5, у Akkermansia выявлена прямая корреляция, поэтому эти микроорганизмы не могли приводить к сокращению численности бактериальных генов, вовлекаемых в пути витамина В5. Несмотря на то, что для Atopobium обнаружена отрицательная связь с этими путями, численность этого рода существенно ниже, чем Akkermansia, вероятно в дефицит бактериальных генов участвующих в метаболизме витамина В5 вносят вклад также другие малочисленные таксоны, для которых из-за их небольшой численности не были выявлены статистически значимые различия. С наибольшей вероятностью это – различные представители классов Bacilli и Clostridia. У каждого пациента комбинация этих таксонов индивидуальна.
По трем путям метаболизма и синтеза витаминов группы В не было выявлено отличий от контрольной группы – В6, В7 и В9. Видимо, это связано с тем, что основными продуцентами этих витаминов являются Bacteroidota [24], которые значимо не изменяются в нашей когорте пациентов. Необходимые для синтеза витамина B6 гены имеют Bacteroides fragilis и Prevotella copri (Bacteroidota), Bifidobacterium longum и Collinsella aerofaciens (Actinobacteria) и Helicobacter pylori (Proteobacteria) [80]. Хотя показано наличие у Collinsella aerofaciens путей биосинтеза витамина B6, снижение численности представителей рода Collinsella не позволило обнаружить корреляцию этих бактерий с путями метаболизма этого витамина. Витамин В9 могут производить Bacteroides fragilis, Prevotella copri, Clostridium difficile, Lactobacillus plantarum, L. reuteri, L. delbrueckii ssp. bulgaricus, Streptococcus thermophilus, некоторые виды Bifidobacterium, Fusobacterium varium и Salmonella enterica [24, 83], а гены ферментов пути биосинтеза биотина наиболее многочисленно представлены в энтеротипе 1, обогащенном Bacteroides [66].
Только около 20% кишечных бактерий могут производить витамин B12 и более 80% кишечных бактерий нуждаются в B12 для своих метаболических потебностей [84, 85], поэтому уменьшение продуцентов этого витамина может наиболее сильно влиять на состав микробного сообщества и численность пула этого витамина в организме. Цианокобаламин обладает иммуномодулирующими и нейротрофными свойствами, участвует в формировании миелина, поэтому его дефицит может негативно сказываться на течении РС. О снижении уровня цианокобаламина в крови пациентов с РС неоднократно сообщалось, а проявления дефицита витамина В12 во многом сходны с симптомами РС [86]. Корреляции с путями метаболизма и синтеза витамина В12 выявлены у недифференцированных Lachnospiraceae, а также у рода Coprococcus и Dorea в контрольной группе. Эти виды-продуценты сокращаются у пациентов с РС, поэтому в этих группах не выявляются корреляции с путями метаболизма и синтеза витамина В12. Напротив, у чрезмерно увеличивающихся Akkermansia при РС появляется отрицательная корреляция с метаболическими путями этого витамина. Эти данные могут свидетельствовать о том, что действительно при РС возникает дефицит бактериального пула витамина В12, особенно у детей и требуется восполнение этого витамина в толстой кишке за счет пищевых добавок, в частности, для поддержания роста полезных ауксотрофных бактериальных видов.
Выявленные в нашем исследовании корреляции уровня Bacteroidota с метаболическими путями витаминов группы В лишь частично согласуются с данными Magnusdottir и соавт. [24], показавшими при анализе in silico, что большинство представителей этого филума имеют необходимые гены для осуществления синтеза de novo всех витаминов группы В, за исключением витамина В12. Мы предполагаем, что это может быть из-за того, что наша контрольная выборка была небольшая, а изменения кишечного микробиома у пациентов с РС могли исказить результат.
Хотя мы не можем интерпретировать реконструкцию метаболических путей витаминов группы В как истинные функциональные пути кишечного микробиома, наши данные свидетельствуют о важности их дальнейшего изучения, в том числе, о необходимости уделять внимание тем бактериальным таксонам, которые могут влиять на синтез и потребление витаминов и создавать их дефицит в организме. В данном исследовании мы не определяли, имеется ли дефицит витаминов у пациентов. Однако на другой когорте было показано, что субклинический дефицит витаминов В6 и В9 имеют не только пациенты с РС, но и 25–35% здоровых детей и взрослых, а в отношении витамина В12 – их число возрастает до 50%. Хотя считается, что микробиота не может обеспечить суточную потребность хозяина в витаминах, возрастание доли ауксотрофных видов при сокращении видов-продуцентов будет создавать конкуренцию за пищевые витамины и повышать потребность в их экзогенном поступлении.
ЗАКЛЮЧЕНИЕ
Проведенное исследование таксономического состава кишечного микробиома и реконструкция метаболических путей витаминов группы В у детей и взрослых с РС показало важность дальнейшего изучения выявленных взаимосвязей. Понимание роли бактериального пула витаминов в формировании и поддержании кишечного микробного сообщества откроет пути направленной модуляции его состава за счет безопасных микронутриентов или пробиотических штаммов, способных синтезировать те витамины, которые необходимы пациенту. Это особенно важно для детей, у которых заболевание находится близко к биологическому началу и еще высок регенеративный потенциал. Однако для того, чтобы не вызвать переизбытка витаминов и сопутствующим им нежелательных явлений, необходимо учитывать и оценивать не только состав кишечной микробиоты, но и способность бактериального сообщества синтезировать и потреблять витамины.
БЛАГОДАРНОСТИ
Авторы выражают благодарность ЦКП “Геномные технологии, протеомика и клеточная биология” ФГБНУ ВНИИ сельскохозяйственной микробиологии за предоставление оборудования и помощь в исследованиях по секвенированию кишечного микробиома. Мы также благодарим всех участников исследования.
ВКЛАДЫ АВТОРОВ
Идея, планирование и организация исследования (И.Н.А., В.И.Л., А.В.Д.), сбор данных (Е.Ю.С., Г.Н.Б., В.И.Л.), обработка данных (И.Н.А., Е.А.Ч., В.А.Н., А.В.М., В.И.Л.), биоинформационный и статистический анализ (А.Б.И., В.И.У., И.Н.А.), написание и редактирование манускрипта (И.Н.А., А.В.Д.).
СОБЛЮДЕНИЕ ЭТИЧЕСКИХ СТАНДАРТОВ
Все процедуры исследования соответствовали этическим нормам Хельсинкской декларации 1964 года и ее последующих изменений. Исследование одобрено Локальным этическим комитетом ФГБНУ “ИЭМ” протокол № 2/22 от 06.04.2022 г. Участие в исследовании было добровольным, участники давали информированное согласие после ознакомления с процедурой и целями исследования.
ИСТОЧНИКИ ФИНАНСИРОВАНИЯ
Работа выполнена при поддержке гранта РНФ и Санкт-Петербургского научного фонда № 22–25–20191.
КОНФЛИКТ ИНТЕРЕСОВ
Авторы декларируют отсутствие явных и потенциальных конфликтов интересов, связанных с публикацией данной статьи.
About the authors
I. N. Abdurasulova
Institute of Experimental Medicine
Author for correspondence.
Email: i_abdurasulova@mail.ru
Russian Federation, St. Petersburg
E. A. Chernyavskaya
Institute of Experimental Medicine
Email: i_abdurasulova@mail.ru
Russian Federation, St. Petersburg
V. A. Nikitina
Institute of Experimental Medicine
Email: i_abdurasulova@mail.ru
Russian Federation, St. Petersburg
A. B. Ivanov
National Research University ITMO
Email: i_abdurasulova@mail.ru
Russian Federation, St. Petersburg
V. I. Lioudyno
Institute of Experimental Medicine
Email: i_abdurasulova@mail.ru
Russian Federation, St. Petersburg
A. A. Nartova
Institute of Experimental Medicine
Email: i_abdurasulova@mail.ru
Russian Federation, St. Petersburg
A. V. Matsulevich
Institute of Experimental Medicine
Email: i_abdurasulova@mail.ru
Russian Federation, St. Petersburg
E. Yu. Skripchenko
Pediatric Research and Clinical Centre for Infectious Diseases under the Federal Medical Biological Agency
Email: i_abdurasulova@mail.ru
Russian Federation, St. Petersburg
G. N. Bisaga
Almazov National Medical Research Centre
Email: i_abdurasulova@mail.ru
Russian Federation, St. Petersburg
V. I. Ulyantsev
National Research University ITMO
Email: i_abdurasulova@mail.ru
Russian Federation, St. Petersburg
A. V. Dmitriev
Institute of Experimental Medicine
Email: i_abdurasulova@mail.ru
Russian Federation, St. Petersburg
References
- Van den Elsen PJ, van Eggermond MCJA, Puentes F, van der Valk P, Baker D, Amor S (2014) The epigenetics of multiple sclerosis and other related disorders. Mult Scler Rel Dis 3(2): 163–175. https://doi.org/10.1016/j.msard.2013.08.007
- Loma I, Heyman R (2011) Multiple sclerosis: pathogenesis and treatment. Curr Neuropharmacol 9(3): 409–416. https://doi.org/ 10.2174/157015911796557911
- Simpson SJr, Blizzard L, Otahal P, Van der Mei I, Taylor B (2011) Latitude is significantly associated with the prevalence of multiple sclerosis: a meta-analysis. J Neurol Neurosurg Psychiatry 82(10): 1132–1141. https://doi.org/ 10.1136/jnnp.2011.240432
- Simpson SJr, Taylor B, Blizzard L, Ponsonby AL, Pittas F, Tremlett H, Dwyer T, Gies P, van der Mei I (2010) Higher 25-hydroxyvitamin D is associated with lower relapse risk in multiple sclerosis. Ann Neurol 68(2): 193–203. https://doi.org/ 10.1002/ana.22043
- Trojano M, Lucchese G, Graziano G, Taylor BV, Simpson SJr, Lepore V, Grand’maison F, Duquette P, Izquierdo G, Grammond P, Amato MP, Bergamaschi R, Giuliani G, Boz C, Hupperts R, Van Pesch V, Lechner-Scott J, Cristiano E, Fiol M, Oreja-Guevara C, Saladino ML, Verheul F, Slee M, Paolicelli D, Tortorella C, D’Onghia M, Iaffaldano P, Direnzo V, Butzkueven H, Group MSS, the New Zealand MSPSG (2012) Geographical variations in sex ratio trends over time in multiple sclerosis. PloS one 7(10): e48078. https://doi.org/10.1371/journal.pone.0048078
- Wu GF, Alvarez E (2011) The immunopathophysiology of multiple sclerosis. Neurol Clin 29(2): 257–278. https://doi.org/ 10.1016/j.ncl.2010.12.009
- Wiendl H, Gold R, Zipp F (2021) Multiple sclerosis therapy consensus group (MSTCG): answers to the discussion questions. Neurologic Res Practice 3: 44. https://doi.org/10.1186/s42466-021-00140-1
- Ельчанинова ЕЮ, Смагина ИВ (2017) Невроло Журн (2): 64–71. [El’chaninova EYu, Smagina IV (2017) Nevrol Zh (2): 64–71. (In Russ)]. https://doi.org/10.8821/1560-9545-2017-22-2-64-71
- Смагина ИВ, Ельчанинова ЕЮ, Раевских ВМ Связь антропогенных и биотических факторов с риском педиатрического рассеянного склероза (2020) Медико-фармацевт Журн “Пульс” 22(9): 42–51. [Smagina IV, Elchaninova EY, Raevskikh VM (2020) Association of anthropogenic and biotic factors with the risk of pediatric multiple sclerosis. Med Pharmaceut J “Pulse” 22(9): 42–51. (In Russ)]. https://doi.org/10.26787/nydha-2686-6838-2020-22-9- 42-51
- Bar-Or А, Hintzen RQ, Dale RC, Rostasy K, Brück W, Chitnis T (2016) Immunopathophysiology of pediatric CNS inflammatory demyelinating diseases. Neurology 87 (9 Suppl 2): S12–19. https://doi.org/10.1212/WNL.0000000000002821
- Nemazannikova N, Mikkleson K, Stojanovska L, Blatch GL, Apostolopoulos V (2018) Is there a link between vitamin B and multiple sclerosis? Med Chem 14(2): 170. https://doi.org/10.2174/1573406413666170906123857
- Klenner FB (1973) Response of Peripheral and Central Nerve Pathology to Mega-Doses of the Vitamin B-Complex and Other Metabolites. J Appl Nutr.
- Nijst TQ, Wevers RA, Schoonderwaldt HC, Hommes OR, de Haan AF (1990) Vitamin B12 and folate concentrations in serum and cerebrospinal fluid of neurological patients with special reference to multiple sclerosis and dementia. J Neurol Neurosurg Psychiatry 53(11): 951. https://doi.org/10.1136 / jnnp.53.11.951
- Comerford KB (2013) Recent developments in multivitamin/mineral research. Advanc Nutrit 4(6): 644–656. https://doi.org/ 10.3945/an.113.004523
- Mikkelsen K, Stojanovska L, Apostolopoulos V (2016) The Effects of Vitamin B in Depression. Curr Med Chem 23(38): 4317–4337. https://doi.org/10.2174/0929867323666160920110810
- Mikkelsen K, Stojanovska L, Tangalakis K, Bosevski M, Apostolopoulos V (2016) Cognitive decline: A vitamin B perspective. Maturitas 93: 108–113. https://doi.org/10.1016/j.maturitas.2016.08.001
- Mikkelsen K, Stojanovska L, Prakash M, Apostolopoulos V (2017) The effects of vitamin B on the immune/cytokine network and their involvement in depression. Maturitas 96: 58–71. https://doi.org/10.1016/j.maturitas.2016.11.012
- Abdurasulova IN (2022) Role of the intestinal microbiota in the pathogenesis of multiple sclerosis. Part 1. Clinical and experimental evidence for the involvement of the gut microbiota in the development of multiple sclerosis. Medical Academic J 22(2): 9–36. https://doi.org/10.17816/MAJ108241
- O’Connor EM (2013) The role of gut microbiota in nutritional status. Curr Opin Clin Nutr Metab Care 16: 509–516. https://doi.org/10.1097/MCO.0b013e3283638eb3
- Berding K, Donovan SM (2016) Microbiome and nutrition in autism spectrum disorder: current knowledge and research needs. Nutr Rev 74: 723–736. https://doi.org/10.1093/nutrit/nuw048
- Maruvada P, Leone V, Kaplan LM, Chang EB (2017) The human microbiome and obesity: moving beyond associations. Cell Host Microbe 22: 589–599. https://doi.org/10.1016/j.chom.2017.10.005
- Rossi M, Amarett A, Raimondi S (2011) Folate production by probiotic bacteria. Nutrients 3: 118–134. https://doi.org/10.3390/nu3010118
- Morowitz MJ, Carlisle EM, Alverdy JC (2011) Contributions of intestinal bacteria to nutrition and metabolism in the critically ill. Surg Clin North Am 91: 771–785. https://doi.org/10.1016/j.suc.2011.05.001
- Magnúsdóttir S, Ravcheev D, de Crecy-Lagard V, Thiele I (2015) Systematic genome assessment of B-vitamin biosynthesis suggests co-operation among gut microbes. Front Genet 6: 148. https://doi.org/10.3389/fgene.2015.00148
- Steinert RE, Lee Y-K, Sybesma W (2019) Vitamins for the Gut Microbiome. Trends Mol Med 26(2): 137. https://doi.org/10.1016/j.molmed.2019.11.005
- Ling Z, Cheng Y, Yan X, Shao L, Liu X, Zhou D, Zhang L, Yu K, Zhao L (2020) Alterations of the Fecal Microbiota in Chinese Patients with Multiple Sclerosis. Front Immunol 11: 590783. https://doi.org/10.3389/fimmu.2020.590783
- Efimova D, Tyakht A, Popenko A, Vasilyev A, Altukhov I, Dovidchenko N, Odintsova V, Klimenko N, Loshkarev R, Pashkova M, Elizarova A, Voroshilova V, Slavskii S, Pekov Y, Filippova E, Shashkova T, Levin E, Alexeev D (2018) Knomics-Biota – a system for exploratory analysis of human gut microbiota data. BioData Mining 11: 25. https://doi.org/10.1186/s13040-018-0187-3
- Edgar RC (2010) Search and clustering orders of magnitude faster than BLAST. Bioinformatics 26 (19): 2460–2461. https://doi.org/ 10.1093/bioinformatics/btq461
- DeSantis TZ, Hugenholtz P, Larsen N, Rojas M, Brodie EL, Keller K, Huber T, Dalevi D, Hu P, Andersen GL (2006) Greengenes, a chimera-checked 16S rRNA gene database and workbench compatible with ARB. Appl Environ Microbiol 72(7): 5069–5072. https://doi.org/10.1128/AEM.03006–05
- Shannon CE, Weaver W The mathematical theory of communication, by CE Shannon (and recent contributions to the mathematical theory of communication). W. Weaver. University of illinois Press. 1949.
- Chao A (1984) Nonparametric estimation of the number of classes in a population. Scand J Statistics 11(4): 265–270.
- Lozupone CA, Hamady M, Kelley ST, Knight R (2007) Quantitative and qualitative β diversity measures lead to different insights into factors that structure microbial communities. Appl Environ Microbiol 73(5): 1576–1585. https://doi.org/10.1128/AEM.01996–06
- Langille MG, Zaneveld J, Caporaso JG, McDonald D, Knights D, Reyes JA, Clemente JC, Burkepile DE, Vega Thurber RL, Knight R, Beiko RG, Huttenhower C (2013) Predictive functional profiling of microbial communities using 16S rRNA marker gene sequences. Nat Biotechnol 31(9): 814–821. https://doi.org/10.1038/nbt.2676
- Kanehisa M, Goto S (2000) KEGG: kyoto encyclopedia of genes and genomes. Nucleic Acids Res 28(1): 27–30. https://doi.org/10.1093/nar/28.1.27
- Charlier F, Weber M, Izak D, Harkin E, Magnus M, Lalli J, Fresnais L, Chan M, Markov N, Amsalem O, Proost S, Krasoulis A, getzze, Repplinger S (2022) Statannotations (v0.6). Zenodo. https://doi.org/10.5281/zenodo.7213391
- Hunter JD (2007) Matplotlib: A 2D Graphics Environment. Computing Sci Engineering 9(3): 90–95. https://doi.org/10.1109/MCSE.2007.55
- Van Rossum G, de Boer J (1991) Interactively Testing Remote Servers Using the Python Programming Language. CWI Quarterly 4(4): 283–303.
- OpenEpi Epidemiologic Statistics [Electronic resource]. URL: http://www.openepi.com (accessed: 14.04.2023).
- Medstatistic [Electronic resource]. URL: http://www.medstatistic.ru (accessed: 14.04.2023.
- Harris CR, Millman KJ, van der Walt SJ, Gommers R, Virtanen P, Cournapeau D, Wieser E, Taylor J, Berg S, Smith NJ, Kern R, Picus M, Hoyer S, van Kerkwijk MH, Brett M, Haldane A, Del Río JF, Wiebe M, Peterson P, Gérard-Marchant P, Sheppard K, Reddy T, Weckesser W, Abbasi H, Gohlke C, Oliphant TE (2020) Array programming with NumPy. Nature 585(7825): 357–362. https://doi.org/10.1038/s41586-020-2649-2
- Virtanen P, Gommers R, Oliphant TE, Haberland M, Reddy T, Cournapeau D, Burovski E, Peterson P, Weckesser W, Bright J, van der Walt SJ, Brett M, Wilson J, Millman KJ, Mayorov N, Nelson ARJ, Jones E, Kern R, Larson E, Carey CJ, Polat İ, Feng Y, Moore EW, VanderPlas J, Laxalde D, Perktold J, Cimrman R, Henriksen I, Quintero EA, Harris CR, Archibald AM, Ribeiro AH, Pedregosa F, van Mulbregt P, SciPy 1.0 Contributors (2020) SciPy 1.0: fundamental algorithms for scientific computing in Python. Nat Methods 17(3): 261–272. https://doi.org/10.1038/s41592-019-0686-2
- McKinney W (2010) Data Structures for Statistical Computing in Python. Proceed Python Sci Conf (SciPy 2010): 56–61.
- Jhangi S, Gandhi R, Cox LM, Li N, von Glehn F, Yan R, Patel B, Mazzola MA, Liu S, Glanz BL, Cook S, Tankou S, Stuart F, Melo K, Nejad P, Smith K, Topçuolu BD, Holden J, Kivisäkk P, Chitnis T, De Jager PL, Quintana FJ, Gerber GK, Bry L, Weiner HL (2016) Alterations of the human gut microbiome in multiple sclerosis. Nat Commun 7: 12015. https://doi.org/10.1038/ncomms12015
- Takewaki D, Suda W, Sato W, Takayasu L, Kumar N, Kimura K, Kaga N, Mizuno T, Miyake S, Hattori M, Yamamura T (2020) Alterations of the gut ecological and functional microenvironment in different stages of multiple sclerosis. PNAS117 (36): 22402–22412. https://doi.org/10.1073/pnas.2011703117
- Tremlett H, Fadrosh D, Faruqi AA, Zhu F, Hart J, Roalstad S, Graves J, Lynch S, Waubant E; US Network of Pediatric MS Centers (2016) Gut microbiome in early pediatric multiple sclerosis: a case-control study. Eur J Neurol 23(8): 1308–1321. https://doi.org/10.1111/ene.13026
- Tremlett H, Fadrosh DW, Faruqi AA, Hart J, Roalstad S, Graves J, Lynch S, Waubant E; US Network of Pediatric MS Centers (2016) Gut microbiota composition and relapse risk in pediatric MS: A pilot study. J Neurol Sci 363: 153–157. https://doi.org/10.1016/j.jns.2016.02.042
- Miyake S, Kim S, Suda W, Oshima K, Nakamura M, Matsuoka T, Chihara N, Tomita A, Sato W, Kim S-W, Morita H, Hattori M, Yamamura T (2015) Dysbiosis in the Gut Microbiota of Patients with Multiple Sclerosis, with a Striking Depletion of Species Belonging to Clostridia XIVa and IV Cluster. PLoS One 10(9): e0137429. https://doi.org/10.1371/journal.pone.0137429
- Galluzzo P, Capri FC, Vecchioni L, Realmuto S, Scalisi L, Cottone S, Nuzzo D, Alduina R (2021) Comparison of the intestinal microbiome of Italian patients with multiple sclerosis and their household relatives. Life (Basel) 11(7): 620. https://doi.org/10.3390/life11070620
- Cosorich I, Dalla-Costa G, Sorini C, Ferrarese R, Messina MJ, Dolpady J, Radice E, Mariani A, Testoni PA, Canducci F, Comi G, Martinelli V, Falcone M (2017) High frequency of intestinal TH17 cells correlates with microbiota alterations and disease activity in multiple sclerosis. Sci Adv 3(7): e1700492. https://doi.org/10.1126/sciadv.1700492
- Pellizoni FP, Leite AZ, de Campos Rodrigues N, Ubaiz MJ, Gonzaga MI, Takaoka NNC, Mariano VS, Omori WP, Pinheiro DG, Junior EM, Gomes E, de Oliveira GLV (2021) Detection of Dysbiosis and Increased Intestinal Permeability in Brazilian Patients with Relapsing-Remitting Multiple Sclerosis. Int J Environ Res Public Health 18(9): 4621. https://doi.org/10.3390/ijerph18094621
- Horton MK, McCauley K, Fadrosh D, Fujimura K, Graves J, Ness J, Wheeler Y, Gorman MP, Benson LA, Weinstock-Guttman B, Waldman A, Rodriguez M, Tillema JM, Krupp L, Belman A, Mar S, Rensel M, Chitnis T, Casper TC, Rose J, Hart J, Shao X, Tremlett H, Lynch SV, Barcellos LF, Waubant E; U.S. Network of Pediatric MS Centers (2021) Gut microbiome is associated with multiple sclerosis activity in children. Ann Clin Transl Neurol 8(9): 1867–1883. https://doi.org/10.1002/acn3.51441
- Castillo-Álvarez F, Pérez-Matute P, Oteo JA, Marzo-Sola ME (2021) The influence of interferon β-1b on gut microbiota composition in patients with multiple sclerosis. Neurologia (Engl Ed) 36(7): 495–503. https://doi.org/10.1016/j.nrleng.2020.05.006
- Oezguen N, Yalcinkaya N, Kücükali CI, Dahdouli M, Hollister EB, Luna RA, Türkoglu R, Kürtüncü M, Eraksoy M, Savidge TC, Tüzün E (2019) Microbiota stratification identifies disease-specific alterations in neuro-Behçet’s disease and multiple sclerosis. Clin Exp Rheumatol 37 Suppl 121(6): 58–66.
- Tremlett H, Waubant E (2018) Gut microbiome and pediatric multiple sclerosis. Multiple Sclerosis Journal 24(1): 64–68. https://doi.org/10.1177/1352458517737369
- Абдурасулова ИН, Мацулевич АВ, Грефнер НМ, Негореева ИГ, Бисага ГН (2023) Повышенный уровень Bifidobacterium в составе кишечной микробиоты – маркер неблагоприятного течения рассеянного склероза. Журн Неврологии и психиатрии им СС Корсакова 123 (7, Вып. 2): 136–137. [Abdurasulova IN, Matsulevich AV, Grefner NM, Negoreeva IG, Bisaga GN (2023) Increased level of Bifidobacterium in intestinal microbiota is a marker of unfavourable course of multiple sclerosis. Zhurn Neurologii i Psychiatriiia im SS Korsakov 123(7, Issue 2): 136–137. (In Russ)]. https://doi.org/10.17116/jnevro2023123072136
- Forbes JD, Chen C-Y, Knox NC, Marrie R-A, El-Gabalawy H, de Kievit T, Alfa M, Bernstein CN, Van Domselaar G (2018) A comparative study of the gut microbiota in immune-mediated inflammatory diseases – does a common dysbiosis exist? Microbiome 6(1): 221. https://doi.org/10.1186/s40168-018-0603-4
- Cox LM, Maghzi AH, Liu S, Tankou SK, Dhang FH, Willocq V, Song A, Wasén C, Tauhid S, Chu R, Anderson MC, De Jager PL, Polgar-Turcsanyi M, Healy BC, Glanz BI, Bakshi R, Chitnis T, Weiner HL (2021) The Gut Microbiome in Progressive Multiple Sclerosis. Ann Neurol 89(6): 1195–1211. https://doi.org/10.1002/ana.26084
- Kozhieva M, Naumova N, Alikina T, Boyko A, Vlassov V, Kabilov MR (2019) Primary progressive multiple sclerosis in a Russian cohort: relationship with gut bacterial diversity. BMC Microbiology 19(1): 309. https://doi.org/10.1186/s12866-019-1685-2
- Zeng Q, Junli Gong, Liu X, Chen C, Sun X, Li H, Zhou Y, Cui C, Wang Y, Yang Y, Wu A, Shu Y, Hu X, Lu Z, Zheng SG, Qiu W, Lu Y (2019) Gut dysbiosis and lack of short chain fatty acids in a Chinese cohort of patients with multiple sclerosis. Neurochem Int. 129:104468. https://doi.org/10.1016/j.neuint.2019.104468
- Reynders T, Devolder L, Valles-Colomer M, Van Remoortel A, Joossens M, De Keyser J, Nagels G, D’hooghe M, Raes J (2020) Gut microbiome variation is associated to Multiple Sclerosis phenotypic subtypes. Ann Clin Transl Neurol 7(4): 406–419. https://doi.org/10.1002/acn3.51004
- Cantarel BL, Waubant E, Chehoud C, Kuczynski J, DeSantis TZ, Warrington J, Venkatesan A, Fraser CM, Mowry EM (2015) Gut microbiota in multiple sclerosis: possible influence of immunomodulators. J Investig Med 63(5): 729–734. https://doi.org/10.1097/JIM.000000000000192
- Абдурасулова ИН, Дмитриев АВ (2023) Витамины группы В: от гомеостаза к патогенезу и лечению рассеянного склероза. Усп физиол наук 54(1): 26–54. [Abdurasulova IN, Dmitriev AV (2023) Group B Vitamins: From Homeostasis to Pathogenesis and Treatment of Multiple Sclerosis. Uspechi Fiziologicheskich nauk 54(1): 26–54. (In Russ)]. https://doi.org/10.31857/S0301179823010034
- Fangmann D, Theismann E-M, Türk K, Schulte DM, Relling I, Hartmann K, Keppler JK, Knipp J-R, Rehman A, Heinsen F-A, Franke A, Lenk L, Freitag-Wolf S, Appel E, Gorb S, Brenner C, Seegert D, Waetzig GH, Rosenstiel P, Schreiber S, Schwarz K, Laudes M (2017) Targeted Microbiome Intervention by Microencapsulated Delayed-Release Niacin Beneficially Affects Insulin Sensitivity in Humans. Diabetes Care 41(3): 398–405. https://doi.org/10.2337/dc17-1967
- Steinert RE, Sadaghian Sadabad M, Harmsen HJ, Weber P (2016) The prebiotic concept and human health: A changing landscape with riboflavin as a novel prebiotic candidate? Eur J Clin Nutr 70(12): 1348–1353. https://doi.org/10.1038/ejcn.2016.119.
- Da Silva AVA, de Castro Oliveira SB, Di Rienzi SC, Brown-Steinke K, Dehan LM, Rood JK, Carreira VS, Le H, Maier EA, Betz KJ, Aihara E, Ley RE, Preidis GA, Shen L, Moore SR (2019) Murine Methyl Donor Deficiency Impairs Early Growth in Association with Dysmorphic Small Intestinal Crypts and Reduced Gut Microbial Community Diversity. Curr Dev Nutr 3(1): nzy070. https://doi.org/10.1093/cdn/nzy070
- Arumugam M, Raes J, Pelletier E, Le Paslier D, Yamada T, Mende DR, Fernandes GR, Tap J, Bruls T, Batto JM, Bertalan M, Borruel N, Casellas F, Fernandez L, Gautier L, Hansen T, Hattori M, Hayashi T, Kleerebezem M, Kurokawa K, Leclerc M, Levenez F, Manichanh C, Nielsen HB, Nielsen T, Pons N, Poulain J, Qin J, Sicheritz-Ponten T, Tims S, Torrents D, Ugarte E, Zoetendal EG, Wang J, Guarner F, Pedersen O, de Vos WM, Brunak S, Doré J, MetaHIT Consortium, Antolín M, Artiguenave F, Blottiere HM, Almeida M, Brechot C, Cara C, Chervaux C, Cultrone A, Delorme C, Denariaz G, Dervyn R, Foerstner KU, Friss C, van de Guchte M, Guedon E, Haimet F, Huber W, van Hylckama-Vlieg J, Jamet A, Juste C, Kaci G, Knol J, Lakhdari O, Layec S, Le Roux K, Maguin E, Mérieux A, Melo Minardi R, M’rini C, Muller J, Oozeer R, Parkhill J, Renault P, Rescigno M, Sanchez N, Sunagawa S, Torrejon A, Turner K, Vandemeulebrouck G, Varela E, Winogradsky Y, Zeller G, Weissenbach J, Ehrlich SD, Bork P (2011) Enterotypes of the human gut microbiome. Nature 473(7346): 174–180. https://doi.org/10.1038/nature09944
- Said HM (2011) Intestinal absorption of water-soluble vitamins in health and disease. Biochem J 437(3): 357–372. https://doi.org/10.1042/ BJ20110326.
- Costliow ZA, Degnan PH (2017) Thiamine Acquisition Strategies Impact Metabolism and Competition in the Gut Microbe Bacteroides thetaiotaomicron. mSystems 2(5): e00116–17. https://doi.org/10 .1128/mSystems.00116-17
- Park J, Hosomi K, Kawashima H, Chen Y, Mohsen A, Ohno H, Konishi K, Tanisawa K, Kifushi M, Kogawa M, Takeyama H, Murakami H, Kubota T, Miyachi M, Kunisawa J, Mizuguchi K (2022) Dietary vitamin B1 intake influences gut microbial community and the consequent production of short-chain fatty acids. Nutrients 14(10): 2078. https://doi.org/10.3390/nu14102078
- Herrick JA, Alexopoulos CJ (1943) A Further Note on the Production of Thiamine by Actinomyces. Bull Torrey Botanic Club 70(4): 369–371. https://doi.org/10.2307/2481558
- Soto-Martin E, Warnke I, Farquharson F, Christodoulou M, Horgan G, Derrien M, Faurie J-M, Flint HJ, Duncan SH, Louis P (2020) Vitamin biosynthesis by human gut butyrate-producing bacteria and cross-feeding in synthetic microbial communities. mBio 11(4): 20. https://doi.org/10.1128/mBio.00886-20
- Hillman ET, Kozik AJ, Hooker CA, Burnett JL, Heo Y, Kiesel VA, Nevins CJ, Oshiro JMKI, Robins MM, Thakkar RD, Wu ST, Lindemann SR (2020) Comparative genomics of the genus Roseburia reveals divergent biosynthetic pathways that may influence colonic competition among species. Microb Genom 6(7): mgen000399. https://doi.org/10.1099/mgen.0.000399
- Abdou E, Hazell AS (2015) Thiamine deficiency: An update of pathophysiologic mechanisms and future therapeutic considerations. Neurochem Res 40(2): 353–361. https://doi.org/10.1007/s11064-014-1430-z
- Bâ A (2008) Metabolic and structural role of thiamine in nervous tissues. Cell Mol Neurobiol 28(7): 923–931. https://doi.org/10.1007/s10571-008-9297-7
- Butterworth RF (2003) Thiamin deficiency and brain disorders. Nutr Res Rev 16(2): 277–284. https://doi.org/10.1079/NRR200367
- Hazell AS, Butterworth RF (2009) Update of cell damage mechanisms in thiamine deficiency: focus on oxidative stress, excitotoxicity and inflammation. Alcohol Alcohol 44(2): 141–147. https://doi.org/10.1093/alcalc/agn120
- Ji Z, Fan Z, Zhang Y, Yu R, Yang H, Zhou C, Luo J, Ke ZJ (2014) Thiamine deficiency promotes T cell infiltration in experimental autoimmune encephalomyelitis: the involvement of CCL2. J Immunol 193(5): 2157–2167. https://doi.org/10.4049/jimmunol.1302702
- Singh N, Gurav A, Sivaprakasam S, Brady E, Padia R, Shi H, Thangaraju M, Prasad PD, Manicassamy S, Munn DH, Lee JR, Offermanns S, Ganapathy V (2014) Activation of Gpr109a, receptor for niacin and the commensal metabolite butyrate, suppresses colonic inflammation and carcinogenesis. Immunity 40(1): 128–139. https://doi.org/10.1016/j.immuni.2013.12.007
- Lipszyc PS, Cremaschi GA, Zubilete MZ, Bertolino MLA, Capani F, Genaro AM, Wald MR (2013) Niacin modulates pro-inflammatory cytokine secretion. A potential mechanism involved in its anti-atherosclerotic effect. Open Cardiovasc Med J 7: 90–98. https://doi.org/10.2174/1874192401307010090
- Gazzaniga F, Stebbins R, Chang SZ, McPeek MA, Brenner C (2009) Microbial NAD metabolism: lessons from comparative genomics. Microbiol Mol Biol Rev 73(3): 529–541. https://doi.org/10.1128/MMBR.00042-08
- Kurnasov O, Goral V, Colabroy K, Gerdes S, Anantha S, Osterman A, Begley TP (2003) NAD biosynthesis: identification of the tryptophan to quinolinate pathway in bacteria. Chem Biol 10(12): 1195–1204. https://doi.org/10.1016/j.chembiol.2003.11.011
- Gao J, Xu K, Liu H, Liu G, Bai M, Peng C, Li T, Yin Y (2018) Impact of the gut microbiota on intestinal immunity mediated by tryptophan metabolism. Front Cell Infect Microbiol 8:13. https://doi.org/10.3389/fcimb.2018.00013
- Crittenden RG, Martinez NR, Playne MJ (2003) Synthesis and utilisation of folate by yoghurt starter cultures and probiotic bacteria. Int J Food Microbiol 80(3): 217–222. https://doi.org/10.1016/s0168-1605(02)00170-8
- Degnan PH, Barry NA, Mok KC, Taga ME, Goodman AL (2014) Human Gut Microbes Use Multiple Transporters to Distinguish Vitamin B12 Analogs and Compete in the Gut. Cell Host Microbe 15(1): 47–57. https://doi.org/10.1016/j.chom.2013.12.007
- Kelly CJ, Alexeev EE, Farb L, Vickery TW, Zheng L, Eric LC, Kitzenberg DA, Battista KD, Kominsky DJ, Robertson CE, Frank DN, Stabler SP, Colgan SP (2019) Oral vitamin B12 supplement is delivered to the distal gut, altering the corrinoid profil and selectively depleting Bacteroides in C57BL/6 mice. Gut Microbes 10(6): 654–662. https://doi.org/10.1080/19490976.2019.1597667
- Miller A, Korem M, Almog R, Galboiz Y (2005) Vitamin B12, demyelination, remyelination and repair in multiple sclerosis. J Neurol Sci 233(1–2): 93–97. https://doi.org/10.1016/j.jns.2005.03.009
Supplementary files










