Search for metabolomic markers of hypertensive conditions of different genesis: Experimental study
- Authors: Seryapina А.А.1, Sorokoumova А.А.1, Polityko Y.К.1,2, Yanshole L.V.3, Tsentalovich Y.P.3, Gilinsky М.А.2, Markel А.L.1,4
-
Affiliations:
- Federal Research Center Institute of Cytology and Genetics, Siberian Branch of the Russian Academy of Sciences
- Federal State Budgetary Scientific Institution “Research Institute of Neuroscience and Medicine”
- Institute “International Tomographic Center”, Siberian Branch of the Russian Academy of Sciences
- Novosibirsk State University
- Issue: Vol 60, No 1 (2024)
- Pages: 12-23
- Section: EXPERIMENTAL ARTICLES
- URL: https://ogarev-online.ru/0044-4529/article/view/260396
- DOI: https://doi.org/10.31857/S0044452924010021
- EDN: https://elibrary.ru/ZGACPP
- ID: 260396
Cite item
Full Text
Abstract
A personalized approach to the diagnosis and treatment of arterial hypertension requires a comprehensive analysis of the pathogenetic mechanisms underlying the disease. To determine specific metabolomic markers of various hypertensive conditions, four groups of experimental animals were studied: WAG rats (normotensive control); ISIAH rats with inherited stress-induced arterial hypertension (AH); L-NAME-treated rats with hypertension induced by endothelial dysfunction; rats with hypertension caused by DOCA administration in combination with the salt loading. Rat blood serum samples were analyzed by NMR spectroscopy. The metabolomic analysis differentiated the hypertensive conditions of various origins using group-specific blood serum metabolomic biomarkers. Rats with DOCA-salt hypertension are characterized by increased concentration of choline. Hypertension associated with endothelial dysfunction induced by L-NAME administration was accompanied by a decrease in the levels of tyrosine, serine and glycine. Distinctive features of ISIAH rats are increased concentrations of ornithine (urea and nitric oxide cycle), valine, leucine, isoleucine, myo-inositol, glutamate, glutamine (glucose metabolism).
Full Text
Сокращения: АД – артериальное давление; АГ – артериальная гипертония; WAG – Wistar Albino Glaxo (линия крыс); НИСАГ – наследственная индуцированная стрессом артериальная гипертония (линия крыс, также ISIAH – Inherited Stress-Induced Arterial Hypertension); L-NAME – Nω-Nitro-L-arginine methyl ester; DOCA – deoxycorticosterone acetate; NMDA – N-methyl D-aspartate; eNOS – endothelial nitric oxide synthase; NO – nitric oxide, оксид азота; GPCR – G protein–coupled receptor; РААС – ренин-ангиотензин-альдостероновая система; ацетил-КоА – ацетилкофермент А; SCFA – short-chain fatty acids; ВСАА – branched-chain amino acids; IP3R – inositol trisphosphate receptor.
ВВЕДЕНИЕ
Ввиду разнообразия механизмов патогенеза артериальной гипертонии (АГ) возникает необходимость разработки персонализированной диагностики и терапии заболевания. Один из методов, которые позволяют комплексно оценить патологические изменения в организме – это метаболомное исследование. Метаболом рассматривается как совокупность низкомолекулярных веществ (метаболитов), детектируемых в исследуемом образце. Знание о метаболических путях, лежащих в основе того или иного типа артериальной гипертонии, позволит более рационально проводить ее терапию [1].
Способы моделирования артериальной гипертонии для изучения особенностей различных гипертензивных состояний практически настолько же разнообразны, как патогенетические механизмы самого заболевания. Однако, можно выделить две основные группы: патофизиологические и генетические модели. К патофизиологическим моделям относятся, например, хирургические (перевязка почечной артерии), гормон-индуцированные (введение ангиотензина-II, кортикостероидов), индуцированные диетой (солевые нагрузки) и др. Генетические модели воспроизводят АГ, которая развивается либо спонтанно (линии крыс GH, SHR, SPSHR), либо в провокационной среде (солечувствительные крысы DS, соле-гормон-чувствительные крысы SBH, стресс-чувствительные крысы НИСАГ/ISIAH) [2]. В нашем исследовании были использованы три модели АГ: две патофизиологические модели АГ – ДОКА-солевая и вызванная введением L-NAME (ингибитора синтеза NO), и одна генетическая модель – крысы линии НИСАГ(ISIAH).
ДОКА-солевая гипертония – это модель АГ, вызванной солевой нагрузкой и введением синтетического минералокортикоида – дезоксикортикостерона ацетата (DOCA). Гипертензивные состояния, связанные с гиперпродукцией минералокортикоидов и задержкой соли, являются одной из причин формирования гипертензивного статуса у людей [3]. Также одним из важных механизмов развития гипертонической болезни является эндотелиальная дисфункция с нарушениями продукции оксида азота, воспроизводимого в нашей модели АГ путем введения L-NAME [4]. Крысы линии НИСАГ/ISIAH (наследственная индуцированная стрессом артериальная гипертония/ Inherited Stress-Induced Arterial Hypertension) получена путем многолетней генетической селекции на повышение АД в условиях эмоционального стресса из аутбредной популяции крыс Вистар [5]. Значение эмоционального стресса как важнейшего фактора патогенеза гипертонической болезни хорошо документировано [6–9].
Цель данного исследования – определить метаболомные биомаркеры, специфические для трёх изучаемых моделей АГ, соответствующих аналогичным формам гипертонической болезни человека.
МЕТОДЫ ИССЛЕДОВАНИЯ
Экспериментальные животные
Исследование было проведено на 3–4-месячных самцах крыс, по 10 в каждой группе. Всего групп было четыре: 1) контрольные нормотензивные крысы линии WAG (Wistar Albino Glaxo); 2) крысы линии НИСАГ (ISIAH) с наследственной индуцированной стрессом артериальной гипертонией; 3) крысы с артериальной гипертонией, связанной с эндотелиальной дисфункцией (введение ингибитора эндотелиальной NO-синтазы – L-NAME); 4) крысы с артериальной гипертонией, индуцированной введением дезоксикортикостерона в сочетании с солевой нагрузкой (ДОКА-солевая гипертония). Экспериментальные животные содержались в стандартных условиях конвенционального вивария Института цитологии и генетики СО РАН, получали полнорационный корм (“Чара”, Россия) и питьевую воду ad libitum.
Фармакологически индуцированная артериальная гипертония
Моделирование гипертензивных состояний осуществляли с помощью фармакологического воздействия, руководствуясь протоколами, опубликованными ранее другими исследователями [10, 11]. Для моделирования гипертонии, связанной с эндотелиальной дисфункцией, крысам линии WAG перорально вводили раствор ингибитора эндотелиальной NO-синтазы (L-NAME, Nω-Nitro-l-arginine methyl ester, N-омега-нитро-L-аргинин метиловый эфир; Sigma Aldrich, США) в дозе 30 мг/кг массы тела в течение двух недель [10]. Для получения ДОКА-солевой гипертонии крысам линии WAG подкожно вводили DOCA (deoxycorticosterone acetate, дезоксикортикостерона ацетат; Sigma Aldrich, США) в дозе 25 мг/кг массы тела раз в 4 дня на фоне постоянной солевой нагрузки – 1% раствор NaCl в поилках – в течение трёх недель [11]. На протяжении всего эксперимента гипертензивный статус животных контролировали с помощью регулярных измерений АД. Кроме того, в течение недели перед забором образцов крови ежедневно регистрировали показатели потребления корма и выделение фекалий с использованием индивидуальных метаболических клеток для грызунов (Tecniplast, Италия).
Мониторинг артериального давления (АД) и получение сыворотки крови
АД измеряли два раза в неделю с использованием прибора для неинвазивного измерения АД (BIOPAC, США) методом tail-cuff (с помощью хвостовой манжеты). При измерении АД также контролировали динамику массы тела животных. Образцы сыворотки крови получали при эвтаназии экспериментальных животных методом декапитации (забор крови у всех крыс производили в одно и то же время суток, животные в течение всего эксперимента получали воду и корм ad libitum). Собранную периферическую кровь отстаивали в течение 1 часа для формирования первичного сгустка, затем центрифугировали (+4 °C, 3000 об/мин, 20 мин), полученную сыворотку крови хранили при –70 °C. Далее исследование образцов проводилось в ЦКП “Масс-спектрометрические исследования” Международного томографического центра СО РАН.
Экстракция метаболитов из образцов сыворотки крови
Для получения небелкового экстракта метаболитов сыворотки крыс использовали подобранное на основе проведённых ранее исследований [12] оптимальное соотношение объёмов сыворотки и экстрагирующего раствора: сыворотка/метанол/хлороформ = 1/1/1. Образцы экстрагировали при –20 °C в течение 30 мин, затем центрифугировали (+4 °C, 12000 об/мин, 30 мин) и отбирали надосадочную жидкость. Супернатант был высушен на вакуумном испарителе и хранился при –70 °C.
Количественный метаболомный анализ образцов сыворотки крови крыс (ЯМР-спектроскопия)
Высушенные экстракты растворяли в дейтерированном фосфатном буфере (0.05 М, рН 7.4), содержащем натриевую соль 3-триметилсилил-1-пропан-сульфокислоты (DSS, 20 мкМ) в качестве внутреннего стандарта. Спектры регистрировали на ЯМР-спектрометре AVANCE III HD600 МГц (Bruker BioSpin, Германия), оснащённом зондом TXI 1H-13C/15N/D ZGR5 мм. Спектры были получены с использованием одноимпульсной последовательности zgpr с подавлением сигнала воды, время сбора данных 6.7 с. Спектры для каждого образца регистрировали путем суммарного накопления 64 спектров.
Анализ полученных данных
Для обработки спектров применялась программа MestReNova v12.0. Идентификация метаболитов проводилась с использованием Human Metabolome Database и собственных данных о метаболомном составе биологических жидкостей человека и животных [13]. Концентрации метаболитов в растворе определялись путем интегрирования сигналов в спектре относительно сигнала DSS, a затем пересчитывались в значения концентраций в сыворотке крови (в единицах нмоль/мл). Полученные концентрации метаболитов анализировали с применением R-Studio и пакета программ Statistica 12: непараметрические критерии Краскела–Уоллиса и Манна–Уитни с поправкой Бонферрони на множественные сравнения. Значения при р < 0.05 считали статистически значимыми. Данные на графиках приведены в виде медиан с указанием границ первого и третьего квартилей.
РЕЗУЛЬТАТЫ ИССЛЕДОВАНИЯ
Формирование фармакологически индуцированной артериальной гипертонии привело к повышению АД с 134.3 ± 1.42 до 192.0 ± 2.96 мм. рт. ст. у группы L-NAME, с 137.5 ± 1.07 до 184.2 ± 1.19 мм. рт. ст. у группы DOCA. АД крыс НИСАГ(ISIAH) составляло 205.9 ± 2.12 мм.рт.ст., АД контрольных нормотензивных крыс WAG – 135.9 ± 1.21 мм. рт. ст. Масса тела экспериментальных животных, а также уровни потребления корма и выделения фекалий не имели достоверных отличий (табл. 1).
Таблица 1. Физиологические параметры (АД, масса тела, потребление корма, выделение фекалий) экспериментальных животных в день забора образцов сыворотки крови
Физиологические параметры | Группы животных | |||
WAG | ISIAH | L-NAME | DOCA | |
АД, мм.рт.ст. | 135.9 ± 1.21 | 205.9 ± 2.12 | 192.0 ± 2.96 | 184.2 ± 1.19 |
Масса тела, г | 325.16 ± 6.17 | 323.35 ± 5.76 | 324.45 ± 4.35 | 328.2 ± 6.18 |
Суточное потребление корма, г | 16.0 ± 1.5 | 15.3 ± 0.9 | 17.3 ± 1.36 | 15.8 ± 0.6 |
Суточное выделение фекалий, г | 6.67 ± 0.42 | 7.67 ± 0.43 | 7.70 ± 0.50 | 7.10 ± 0.18 |
Данные приведены в виде Mean ± SEM.
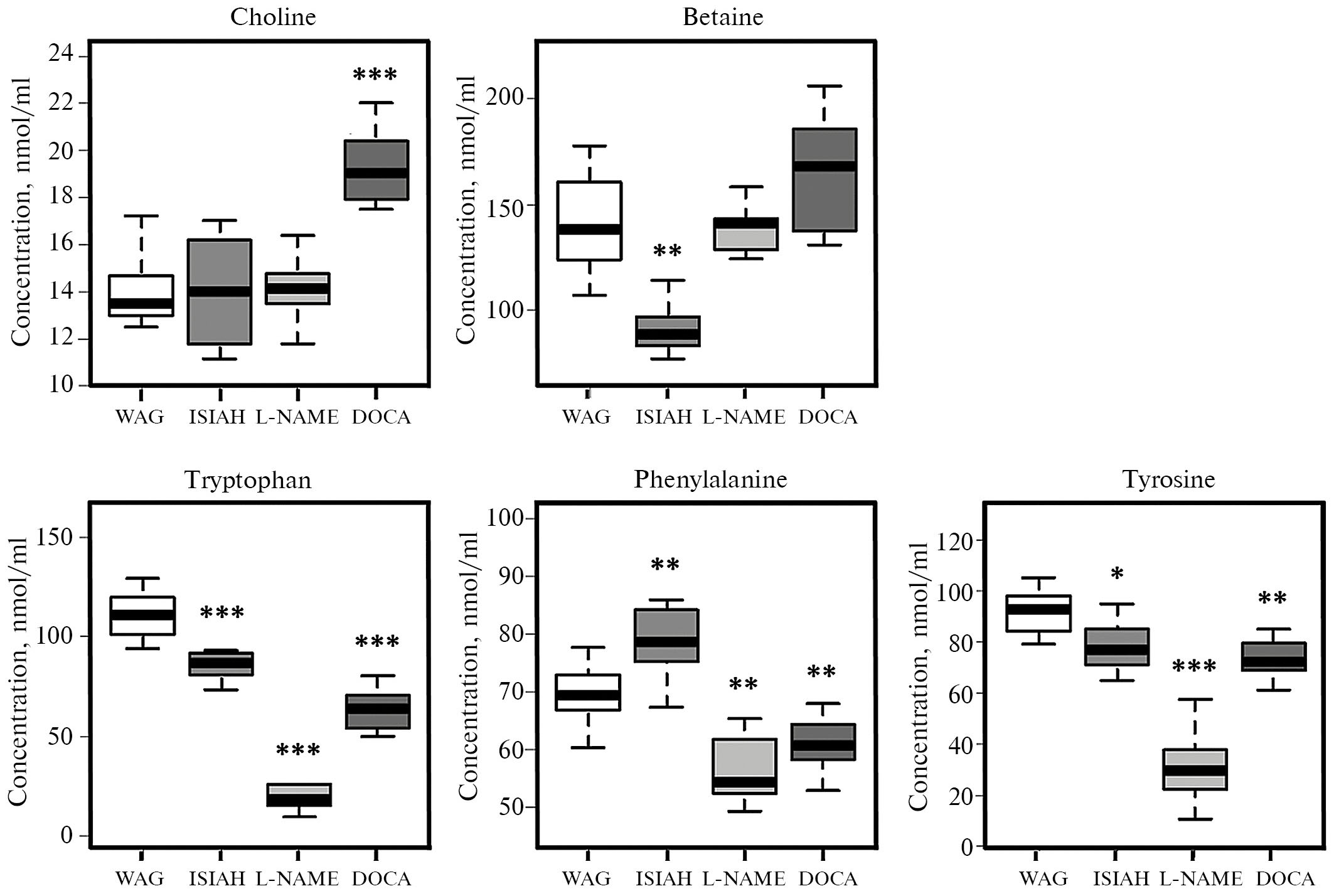
Метаболизм холина
Концентрация холина значительно повышена в сыворотке крови крыс с ДОКА-солевой гипертонией (рис. 1). Холин выполняет в организме многочисленные функции: является предшественником нейромедиатора ацетилхолина, входит в состав клеточных мембран, участвует в метаболизме липидов [14]. В митохондриях холин преобразуется в бетаин, который участвует в метилировании гомоцистеина с образованием метионина; бетаин, в свою очередь, превращается в диметилглицин [15]. Также холин является основным продуктом фосфолипазы D [16], которая участвует в механизмах воспаления и дестабилизации коронарной бляшки [17]. Повышенный уровень холина в плазме ассоциирован с риском возникновения острого коронарного синдрома [18].
Рис. 1. Межгрупповые различия (ISIAH, L-NAME, DOCA vs WAG) в концентрациях метаболитов, связанных с метаболизмом холина (холин, бетаин), с почечной функцией (триптофан), с метаболизмом тирозина (фенилаланин, тирозин). Критерий Манна–Уитни, * – p < 0.05, ** – p < 0.01, *** – p < 0.001.
Биомаркеры почечной дисфункции
У всех трёх гипертензивных групп животных наблюдается сниженный уровень триптофана по сравнению с нормотензивным контролем (рис. 1). Триптофан – незаменимая аминокислота, метаболизм которой в организме происходит по трём путям: индольному, кинурениновому и серотониновому. Метаболиты индольного и кинуренинового путей участвуют в образовании активных форм кислорода, способствуя индукции оксидативного стресса и обострению воспаления [19]. В когорте больных, у которых впервые диагностировали различные сердечно-сосудистые заболевания, было обнаружено снижение уровней триптофана и кинуренина в плазме крови [20]. Снижение концентрации триптофана в сыворотке крови наблюдалось у больных с хронической почечной недостаточностью – при этом концентрации метаболитов кинуренинового пути были повышены [21]. Было показано, что производные триптофана, образующиеся в кишечнике, являются лигандами Ah-рецептора [22]. Ah-рецептор модулирует действие Т-хелперов 17 типа, участвующих в развитии гипертонии на фоне повышенной солевой нагрузки [23].
Метаболизм тирозина
Из фенилаланина под действием фермента фенилаланингидроксилазы образуется тирозин, который, в свою очередь, под действием тирозингидроксилазы превращается в дигидроксифенилаланин (ДОФА) – начальное звено в синтезе катехоламинов. Катехоламины (дофамин, адреналин, норадреналин) играют заметную роль в регуляции АД, воздействуя как на сократимость сосудов, так и на реабсорбцию натрия в почке [24, 25]. Наиболее выраженные изменения в метаболизме тирозина по сравнению с нормотензивным контролем наблюдаются у крыс с моделированной эндотелиальной дисфункцией (L-NAME) – снижение концентраций фенилаланина и тирозина (рис. 1).
Метаболизм глицина
У крыс группы L-NAME по сравнению с контролем достоверно снижены концентрации глицина и серина в сыворотке крови (рис. 2). L-серин под действием гидроксиметилтрансферазы превращается в глицин, а также может находиться in vivo в другом изомерном состоянии – в виде D-серина [26]. Как глицин, так и D-серин являются коагонистами ионотропных NMDA-рецепторов и, активируя их совместно с глутаматом, способствуют вазодилатации за счёт увеличения продукции оксида азота эндотелиальной NO-синтазой eNOS [27, 28].
Рис. 2. Межгрупповые различия (ISIAH, L-NAME, DOCA vs WAG) в концентрациях метаболитов, связанных с метаболизмом глицина (глицин, серин), циклом Кребса (цитрат, сукцинат), с окислительным метаболизмом (карнитин, ацетилкарнитин). Критерий Манна–Уитни, * – p < 0.05, ** – p < 0.01, *** – p < 0.001.
Цикл Кребса
Группы L-NAME и DOCA отличаются пониженными концентрациями цитрата и сукцината (рис. 2). Сукцинат может связываться с рецептором, сопряжённым с G-белком (GPR91), активируя РААС и вызывая повышение АД [29]. Связь цитрата крови с регуляцией АД не настолько очевидна: исследователи отмечали снижение его уровня в моче крыс SHR со спонтанной гипертензией, связывая это с нарушением кислотно-щелочного баланса [30, 31].
Окислительный метаболизм
Крысы, которым вводили DOCA, имеют пониженные по сравнению с крысами линии WAG концентрации карнитина и ацетилкарнитина (рис. 2). L-карнитин принимает участие в окислении длинноцепочечных жирных кислот, взаимодействуя с ацетил-КоА с образованием ацетилкарнитина [32].
Метаболиты микробиоты кишечника
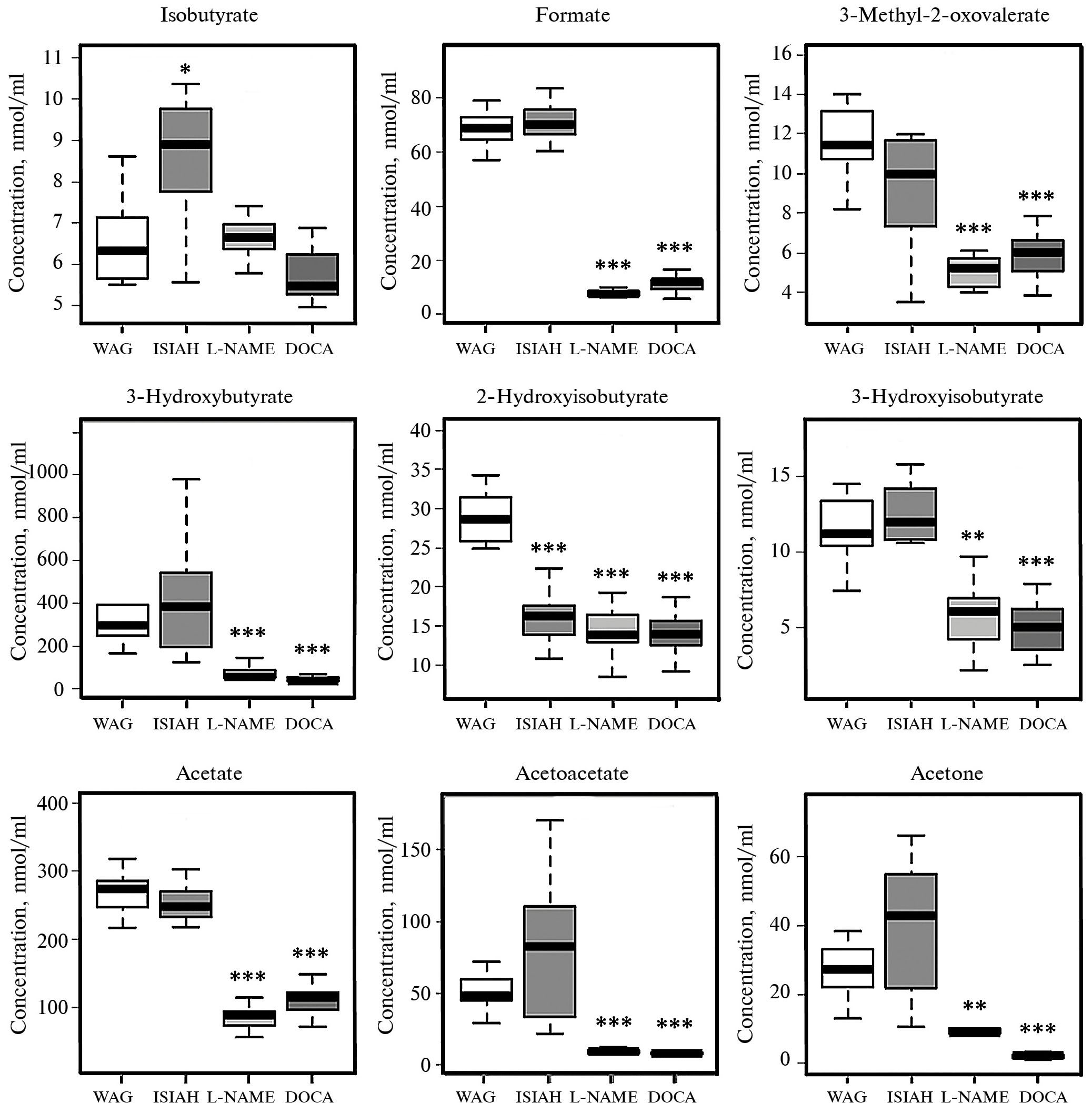
Обнаруживаемые в крови короткоцепочечные жирные кислоты (SCFA, short-chain fatty acids) и их производные – формиаты, ацетаты, бутираты, изобутираты, валераты – в основном являются побочными продуктами метаболизма кишечной микробиоты. Их участие в регуляции АД может осуществляться через рецепторы, сопряжённые с G-белком – Gpr41, Gpr43, Gpr109a, Olfr78 [33], либо эпигенетически – ацилирование короткоцепочечных жирных кислот модифицирует гистоны и регулирует гены, ответственные в том числе за развитие метаболического синдрома и регуляцию АД [34]. Группа крыс НИСАГ/ISIAH отличается от нормотензивного контроля повышенным содержанием изобутирата (рис. 3).
Рис. 3. Межгрупповые различия (ISIAH, L-NAME, DOCA vs WAG) в концентрациях метаболитов, связанных с деятельностью микробиоты кишечника (изобутират, формиат, 3-метил‑2-оксовалерат, 3-гидроксибутират, 2-гидроксиизобутират, 3-гидроксиизобутират, ацетат, ацетоацетат, ацетон). Критерий Манна–Уитни, * – p < 0.05, ** – p < 0.01, *** – p < 0.001.
Цикл мочевины и оксида азота
Аспартат в цикле мочевины превращается в аргинин, который затем либо под действием NO-синтазы образует оксид азота, либо с помощью аргиназы распадается с образованием мочевины и орнитина. Орнитин затем может под действием карбамоилтрансферазы превращаться в цитруллин, который вместе с аспартатом снова может образовать аргинин. Концентрация орнитина достоверно повышена в сыворотке крови крыс НИСАГ (рис. 4).
Рис. 4. Межгрупповые различия (ISIAH, L-NAME, DOCA vs WAG) в концентрациях метаболитов, связанных с циклом мочевины и оксида азота (орнитин), а также глутамата и глутамина. Критерий Манна–Уитни, * – p < 0.05, ** – p < 0.01, *** – p < 0.001.
Метаболизм глутамата
Орнитин также является продуктом метаболизма глутамата, который образуется в митохондриях из глутамина. Глутамин является важным источником аммиака, который образуется при его дезаминировании до глутамата – таким образом, глутамин участвует в поддержании кислотно-щелочного баланса [35]. Глутамат, связываясь с NMDA-рецепторами, усиливает уязвимость β-клеток поджелудочной железы при повышенном уровне глюкозы [36], а повышенная концентрация глутамата в плазме крови ассоциирована с диабетом 2 типа [37]. Концентрации глутамата и глутамина достоверно повышены в сыворотке крови крыс НИСАГ по сравнению c контрольной группой WAG (рис. 4).
Метаболизм глюкозы
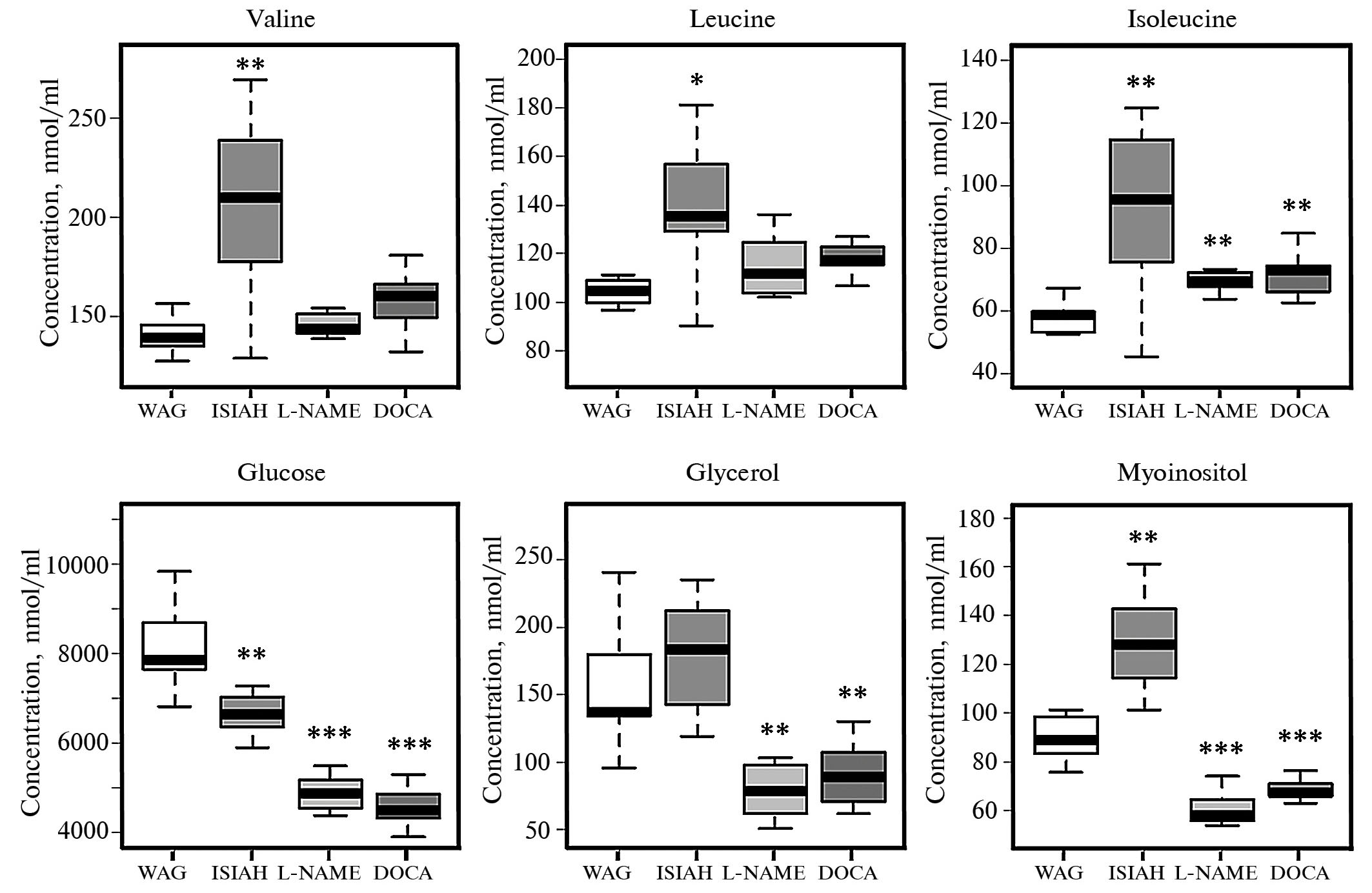
Как видно из рис. 5, у крыс НИСАГ по сравнению с остальными экспериментальными группами повышены концентрации валина, лейцина, изолейцина в сыворотке крови: это так называемые протеиногенные аминокислоты с разветвленным строением алифатической боковой цепи (ВСАА, branched-chain amino acids). Они принимают участие в метаболизме глюкозы, активируя комплекс mTORC1, который фосфорилирует субстрат инсулинового рецептора IRS-1 [38, 39]. Также лейцин, изолейцин и валин участвуют в гипоталамической регуляции метаболизма глюкозы в печени [40]. Глюкоза и её метаболит глицерол имеют пониженные концентрации в сыворотке крови крыс, которым вводили L-NAME и DOCA. У крыс НИСАГ/ISIAH по сравнению с остальными группами достоверно повышен уровень мио-инозитола – миметика инсулина, эффективно снижающего уровень глюкозы после приёма пищи [41]. Мио-инозитол также может участвовать в регуляции АД путём воздействия на инозитол-трифосфатные рецепторы (IP3R). Активация IP3R рецепторов приводит к высвобождению ионов Ca2+ в гладкомышечных стенках сосудов, увеличивая их сократимость [42].
Рис. 5. Межгрупповые различия (ISIAH, L-NAME, DOCA vs WAG) в концентрациях метаболитов, связанных с метаболизмом глюкозы (валин, лейцин, изолейцин, глюкоза, глицерол, мио-инозитол). Критерий Манна–Уитни, * – p < 0.05, ** – p < 0.01, *** – p < 0.001.
ОБСУЖДЕНИЕ РЕЗУЛЬТАТОВ
Крысы с ДОКА-солевой гипертонией отличались повышенной концентрацией холина. Ввиду многообразия биологических функций холина дать однозначную интерпретацию на основе имеющихся данных затруднительно. Показано, что метаболизм холина связан с активацией протеинкиназы С и макрофагальным воспалением [43]. В пользу гипотезы о роли воспаления в патогенезе ДОКА-солевой гипертонии говорит то, что введение ингибиторов инфильтрации уменьшало сердечный фиброз у крыс с данной моделью гипертонии [44, 45]. В продолговатом мозге крыс с ДОКА-солевой гипертонией была обнаружена повышенная холинергическая активность, которую исследователи связали с активностью симпатической нервной системы [46].
Гипертензивный статус крыс с индуцированной введением L-NAME эндотелиальной дисфункцией характеризовался сниженными концентрациями тирозина, серина и глицина в сыворотке крови. Показано, что в плазме крыс, получавших L-NAME, повышены концентрации катехоламинов (дофамин, адреналин, норадреналин) и их производных (дигидроксифенилуксусная кислота, дигидроксифенил гликоль) – и в условиях стресса концентрации адреналина, дигидроксифенилуксусной кислоты и дигидроксифенил гликоля возрастают ещё больше [47]. Это согласуется со снижением содержания в крови тирозина, который является предшественником всех катехоламинов.
Серин и глицин также можно рассматривать в качестве биомаркеров: в подробном исследовании, посвящённом механизмам их действия на уровень АД крыс с L-NAME-гипертонией и SHR, было обнаружено, что глицин оказывает двоякий эффект, воздействуя на NMDA-рецепторы: снижает АД у нормотензивного контроля, но повышает его у гипертензивных крыс. L-серин же в данном случае действовал без участия NMDA-рецепторов, а через активируемые кальцием калиевые каналы, понижая АД у всех исследуемых животных [48].
Повышенная концентрация орнитина в крови крыс НИСАГ может свидетельствовать о преобладании активности аргиназы над активностью NO-синтазы. Показано, что ингибирование аргиназы с помощью норвалина приводило к снижению АД у крыс НИСАГ [49].
Повышенные у крыс НИСАГ концентрации лейцина, изолейцина, валина, мио-инозитола, глутамата и глутамина, вероятнее всего, связаны с нарушением метаболизма глюкозы и инсулинорезистентностью. У гипертензивных крыс НИСАГ по сравнению с крысами Wistar понижен уровень иммунореактивного инсулина при высокой концентрации свободных жирных кислот в крови, снижена толерантность к глюкозе, наблюдаются изменения в метаболизме глюкозы и липидов: в печени повышена активность гексогеназы, но снижено содержание гликогена [50]. Высокие концентрации изобутирата, ацетоацетата и ацетона можно отнести к активности кишечной микробиоты, однако прямых доказательств их влияния на уровень АД у крыс НИСАГ на данный момент нет.
Таким образом, проведённый метаболомный анализ дал возможность дифференцировать гипертензивные состояния различного генеза с помощью характерных биомаркеров сыворотки крови. ДОКА-солевую гипертонию отличает повышение концентрации холина. Артериальная гипертония, связанная с эндотелиальной дисфункцией, индуцированной введением L-NAME, характеризуется сниженными уровнями тирозина, серина и глицина, что свидетельствует о нарушении баланса синтеза катехоламинов и изменении регуляции сократимости стенок сосудов. Для наследственной индуцированной стрессом артериальной гипертонии крыс НИСАГ характерны нарушения цикла мочевины и оксида азота (повышенный уровень орнитина), нарушения метаболизма глюкозы (маркеры – валин, лейцин, изолейцин, мио-инозитол, глутамат, глутамин).
БЛАГОДАРНОСТИ
Разведение и содержание животных осуществлялось в конвенциональном виварии Института цитологии и генетики СО РАН (бюджетный проект РФ FWNR-2022–0019). Метаболомные исследования проводились в ЦКП “Масс-спектрометрические исследования” Международного томографического центра СО РАН.
ВКЛАДЫ АВТОРОВ
А.Л.М., Ю.П.Ц., М.А.Г. – концепция и руководство работой; А.А.С., Л.В.Я., А.А.С., Ю.К.П. – проведение экспериментов; А.А.С., Л.В.Я., А.Л.М., М.А.Г. – обсуждение результатов исследования; А.А.С. и А.А.С. – написание текста; А.Л.М. и Ю.П.Ц. –редактирование текста статьи.
СОБЛЮДЕНИЕ ЭТИЧЕСКИХ СТАНДАРТОВ
Все применимые международные, национальные и/или институциональные принципы ухода и использования животных были соблюдены. Все процедуры, выполненные в исследованиях с участием животных, соответствовали этическим стандартам, утвержденным правовыми актами РФ, принципам Базельской декларации и рекомендациям Межинститутской комиссии по биологической этике при Институте цитологии и генетики СО РАН (протокол № 127 от 08.09.2022 г.).
ИСТОЧНИКИ ФИНАНСИРОВАНИЯ
Работа выполнена при финансовой поддержке Российского научного фонда (проект № 22–25–20025) совместно с Министерством науки Новосибирской области (соглашение № р-36 от 06.04.2022 г.).
КОНФЛИКТ ИНТЕРЕСОВ
Авторы декларируют отсутствие явных и потенциальных конфликтов интересов, связанных с публикацией данной статьи.
About the authors
А. А. Seryapina
Federal Research Center Institute of Cytology and Genetics, Siberian Branch of the Russian Academy of Sciences
Author for correspondence.
Email: seryapina@bionet.nsc.ru
Russian Federation, Novosibirsk
А. А. Sorokoumova
Federal Research Center Institute of Cytology and Genetics, Siberian Branch of the Russian Academy of Sciences
Email: seryapina@bionet.nsc.ru
Russian Federation, Novosibirsk
Yu. К. Polityko
Federal Research Center Institute of Cytology and Genetics, Siberian Branch of the Russian Academy of Sciences; Federal State Budgetary Scientific Institution “Research Institute of Neuroscience and Medicine”
Email: seryapina@bionet.nsc.ru
Russian Federation, Novosibirsk; Novosibirsk
L. V. Yanshole
Institute “International Tomographic Center”, Siberian Branch of the Russian Academy of Sciences
Email: seryapina@bionet.nsc.ru
Russian Federation, Novosibirsk
Yu. P. Tsentalovich
Institute “International Tomographic Center”, Siberian Branch of the Russian Academy of Sciences
Email: seryapina@bionet.nsc.ru
Russian Federation, Novosibirsk
М. А. Gilinsky
Federal State Budgetary Scientific Institution “Research Institute of Neuroscience and Medicine”
Email: seryapina@bionet.nsc.ru
Russian Federation, Novosibirsk
А. L. Markel
Federal Research Center Institute of Cytology and Genetics, Siberian Branch of the Russian Academy of Sciences; Novosibirsk State University
Email: seryapina@bionet.nsc.ru
Russian Federation, Novosibirsk; Novosibirsk
References
- Byrd JB (2016) Personalized medicine and treatment approaches in hypertension: current perspectives. Integr Blood Press Contr 9: 59–67. https://doi.org/10.2147/IBPC.S74
- De Jong W, Birkenhäger WH, Reid JL (Eds) (2013) Experimental and Genetic Models of Hypertension. Handbook of Hypertension, Elsevier.
- Schenk J, McNeill JH (1992) The pathogenesis of DOCA-salt hypertension. J Pharmacol Toxicol Meth 27(3): 161–170. https://doi.org/10.1016/1056-8719(92)90036-Z
- Küng CF, Moreau P, Takase H, Lüscher TF (1995) L-NAME hypertension alters endothelial and smooth muscle function in rat aorta: prevention by trandolapril and verapamil. Hypertension 26(5): 744–751. https://doi.org/10.1161/01.HYP.26.5.744
- Markel AL (1992) Development of a new strain of rats with inherited stress-induced arterial hypertension. In Genetic Hypertension. (Ed.J. Sassard), Colloque INSERM John Libbey Eurotext Ltd 218: 405–407.
- Redina OE, Markel AL (2018) Stress, genes, and hypertension. Contribution of the ISIAH rat strain study. Curr Hyperten Rep 20: 1–10. https://doi.org/10.1007/s11906-018-0870-2
- Kulkarni S, O’Farrell I, Erasi M, Kochar MS (1998) Stress and hypertension. Wisconsin Med J 97(11): 34–38.
- Hudzinski LG, Frohlich ED, Holloway RD (1988) Hypertension and stress. Clin Cardiol 11(9): 622–626. https://doi.org/10.1002/clc.4960110906
- Freeman ZS (1990) Stress and hypertension – critical review. Med J Austral 153(10): 621–625. https://doi.org/10.5694/j.1326-5377.1990.tb126276.x
- Fürstenau CR, da Silva Trentin D, Gossenheimer AN, Ramos DB, Casali EA, Barreto-Chaves MLM, Sarkis JJF (2008) Ectonucleotidase activities are altered in serum and platelets of L-NAME-treated rats. Blood Cell Mol Diseas 41(2): 223–229. https://doi.org/10.1016/j.bcmd.2008.04.009
- Chan V, Hoey A, Brown L (2006) Improved cardiovascular function with aminoguanidine in DOCA‐salt hypertensive rats. British J Pharmacol 148(7): 902–908. https://doi.org/10.1038/sj.bjp.0706801
- Snytnikova OA, Khlichkina AA, Sagdeev RZ, Tsentalovich YP (2019) Evaluation of sample preparation protocols for quantitative NMR-based metabolomics. Metabolomics 15: 1–9. https://doi.org/10.1007/s11306-019-1545-y
- Zelentsova EA, Yanshole LV, Snytnikova OA, Yanshole VV, Tsentalovich YP, Sagdeev RZ (2016) Post-mortem changes in the metabolomic compositions of rabbit blood, aqueous and vitreous humors. Metabolomics 12: 1–11. https://doi.org/10.1007/s11306-016-1118-2
- Hollenbeck CB (2012) An introduction to the nutrition and metabolism of choline. Central Nervous Syst Agent Med Chem 12(2): 100–113. https://doi.org/10.2174/187152412800792689
- Corbin KD, Zeisel SH (2012) Choline metabolism provides novel insights into non-alcoholic fatty liver disease and its progression. Curr Opin Gastroenterol 28(2): 159. https://doi.org/10.1097/MOG.0b013e32834e7b4b
- Morris AJ, Frohman MA, Engebrecht J (1997) Measurement of phospholipase D activity. Analyt Biochem 252(1): 1–9. https://doi.org/10.1006/abio.1997.2299
- O’Brien KD, Pineda C, Chiu WS, Bowen R, Deeg MA (1999) Glycosylphosphatidylinositol-specific phospholipase D is expressed by macrophages in human atherosclerosis and colocalizes with oxidation epitopes. Circulation 99(22): 2876–2882. https://doi.org/10.1161/01.CIR.99.22.2876
- Danne O, Möckel M, Lueders C, Mügge C, Zschunke GA, Lufft H, Müller C, Frei U (2003) Prognostic implications of elevated whole blood choline levels in acute coronary syndromes. American J Cardiol 91(9): 1060–1067. https://doi.org/10.1016/s0002-9149(03)00149-8
- Kwiatkowska I, Hermanowicz JM, Mysliwiec M, Pawlak D (2020) Oxidative storm induced by tryptophan metabolites: missing link between atherosclerosis and chronic kidney disease. Oxidat Med Cell Longevity ID6656033. https://doi.org/10.1155/2020/6656033
- Konje VC, Rajendiran TM, Bellovich K, Gadegbeku CA, Gipson DS, Afshinnia F, Mathew AV (2021) Tryptophan levels associate with incident cardiovascular disease in chronic kidney disease. Clin Kidney J 14(4): 1097–1105. https://doi.org/10.1093/ckj/sfaa031
- Saito K, Fujigaki S, Heyes MP, Shibata K, Takemura M, Fujii H, Wada H, Noma A, Seishima M (2000) Mechanism of increases in L-kynurenine and quinolinic acid in renal insufficiency. Am J Physiol-Renal Physiol 279(3): F565–F572. https://doi.org/10.1152/ajprenal.2000.279.3.F565
- Roager HM, Licht TR (2018) Microbial tryptophan catabolites in health and disease. Nat Communicat 9(1): 3294. https://doi.org/10.1038/s41467-018-05470-4
- Wilck N, Matus MG, Kearney SM, Olesen SW, Forslund K, Bartolomaeus H, Müller DN (2017) Salt-responsive gut commensal modulates TH17 axis and disease. Nature 551(7682): 585–589. https://doi.org/10.1038/nature24628
- Guimarães S, Moura D (2001) Vascular adrenoceptors: an update. Pharmacological reviews 53(2): 319–356.
- Missale C, Nash SR, Robinson SW, Jaber M, Caron MG (1998) Dopamine receptors: from structure to function. Physiol Rev 78(1): 189–225. https://doi.org/10.1152/physrev.1998.78.1.189
- De Koning TJ, Klomp LW (2004) Serine-deficiency syndromes. Curr Opin Neurol 17(2): 197–204. https://doi.org/10.1097/00019052-200404000-00019
- Brawley L, Torrens C, Anthony FW, Itoh S, Wheeler T, Jackson AA, Clough GF, Poston L, Hanson MA (2004) Glycine rectifies vascular dysfunction induced by dietary protein imbalance during pregnancy. J Physiol 554(2): 497–504. https://doi.org/10.1113/jphysiol.2003.052068
- Le Maistre JL, Sanders SA, Stobart MJ, Lu L, Knox JD, Anderson HD, Anderson CM (2012) Coactivation of NMDA receptors by glutamate and D-serine induces dilation of isolated middle cerebral arteries. J Cerebr Blood Flow Metabol 32(3): 537–547. https://doi.org/10.1038/jcbfm.2011.161
- Sadagopan N, Li W, Roberds SL, Major T, Preston GM, Yu Y, Tones MA (2007) Circulating succinate is elevated in rodent models of hypertension and metabolic disease. Am J Hypertens 20(11): 1209–1215. https://doi.org/10.1016/j.amjhyper.2007.05.010
- Akira K, Masu S, Imachi M, Mitome H, Hashimoto M, Hashimoto T (2008) 1H NMR-based metabonomic analysis of urine from young spontaneously hypertensive rats. J Pharmaceut Biomed Analys 46(3): 550–556. https://doi.org/10.1016/j.jpba.2007.11.017
- Lucas PA, Lacour B, McCarron DA, Drüeke T (1987) Disturbance of acid-base balance in the young spontaneously hypertensive rat. Clin Sci 73(2): 211–215. https://doi.org/10.1042/cs0730211
- Carrero JJ, Grimble RF (2006) Does nutrition have a role in peripheral vascular disease? British J Nutrit 95(2): 217–229. https://doi.org/10.1079/BJN20051616
- Pluznick JL (2017) Microbial short-chain fatty acids and blood pressure regulation. Current hypertension reports 19: 1–5. https://doi.org/ 10.1007/s11906-017-0722-5
- Chen XF, Chen X, Tang X (2020) Short-chain fatty acid, acylation and cardiovascular diseases. Clin Sci 134(6): 657–676. https://doi.org/0.1042/CS20200128
- Gstraunthaler G, Holcomb T, Feifel E, Liu W, Spitaler N, Curthoys NP (2000) Differential expression and acid-base regulation of glutaminase mRNAs in gluconeogenic LLC-PK(1)-FBPase(+) cells. Am J Physiol 278: F227–F237. https://doi.org/10.1152/ajprenal.2000.278.2.F227
- Huang XT, Li C, Peng XP, Guo J, Yue SJ, Liu W, Zhao FY, Han JZ, Huang YH, Li Y, Cheng QM, Zhou ZG, Chen C, Feng DD, Luo ZQ (2017) An excessive increase in glutamate contributes to glucose-toxicity in β-cells via activation of pancreatic NMDA receptors in rodent diabetes. Scientif rep 7(1): 44120. https://doi.org/10.1038/srep44120
- Liu X, Zheng Y, Guasch-Ferré M, Ruiz-Canela M, Toledo E, Clish C, Liang L, Razquin C, Corella D, Estruch R, Fito M, Gómez-Gracia E, Arós F, Ros E, Lapetra J, Fiol M, Serra-Majem L, Papandreou C, Martínez-González MA, Hu FB, Salas-Salvadó J (2019) High plasma glutamate and low glutamine-to-glutamate ratio are associated with type 2 diabetes: case-cohort study within the PREDIMED trial. Nutrit Metabol Cardiovascul Diseas 29(10): 1040–1049. https://doi.org/10.1016/j.numecd.2019.06.005
- Yoshizawa F (2012) New therapeutic strategy for amino acid medicine: notable functions of branched chain amino acids as biological regulators. J Pharmacol Sci 118(2): 149–155. https://doi.org/10.1254/jphs.11R05FM
- Yoon MS (2016) The emerging role of branched-chain amino acids in insulin resistance and metabolism. Nutrients 8(7): 405. https://doi.org/10.3390/nu8070405
- Arrieta-Cruz I, Su Y, Gutiérrez-Juárez R (2016) Suppression of endogenous glucose production by isoleucine and valine and impact of diet composition. Nutrients 8(2): 79. https://doi.org/10.3390/nu8020079
- Croze ML, Soulage CO (2013) Potential role and therapeutic interests of myo-inositol in metabolic diseases. Biochimie 95(10): 1811–1827. https://doi.org/10.1016/j.biochi.2013.05.011
- Abou-Saleh H, Pathan AR, Daalis A, Hubrack S, Abou-Jassoum H, Al-Naeimi H, Rusch NJ, Machaca K (2013) Inositol 1,4,5-trisphosphate (IP3) receptor up-regulation in hypertension is associated with sensitization of Ca2+ release and vascular smooth muscle contractility. J Biol Chem 288(46): 32941–32951. https://doi.org/10.1074/jbc.M113.496802
- Snider SA, Margison KD, Ghorbani P, LeBlond ND, O’Dwyer C, Nunes JR, Xu H, Bennett S, Fullerton MD (2018) Choline transport links macrophage phospholipid metabolism and inflammation. J Biol Chem 293(29): 11600–11611. https://doi.org/10.1074/jbc.RA118.003180
- Kagitani S, Ueno H, Hirade S, Takahashi T, Takata M, Inoue H (2004) Tranilast attenuates myocardial fibrosis in association with suppression of monocyte/macrophage infiltration in DOCA/salt hypertensive rats. J Hypertens 22(5): 1007–1015.
- Ishimaru K, Ueno H, Kagitani S, Takabayashi D, Takata M, Inoue H (2007) Fasudil attenuates myocardial fibrosis in association with inhibition of monocyte/macrophage infiltration in the heart of DOCA/salt hypertensive rats. J Cardiovascul Pharmacol 50(2): 187–194. https://doi.org/10.1097/FJC.0b013e318064f150
- Kubo T, Fukumori R, Kobayashi M, Yamaguchi H (1996) Enhanced cholinergic activity in the medulla oblongata of DOCA-salt hypertensive and renal hypertensive rats. Hypertens Res 19(3): 213–219. https://doi.org/10.1291/hypres.19.213
- Kvetňanský R, Pacák K, Tokarev D, Jeloková J, Ježová D, Rusnák M (1997) Chronic blockade of nitric oxide synthesis elevates plasma levels of catecholamines and their metabolites at rest and during stress in rats. Neurochem Res 22: 995–1001. https://doi.org/10.1023/A:1022426910111
- Mishra RC, Tripathy S, Quest D, Desai KM, Akhtar J, Dattani ID, Gopalakrishnan V (2008) L-Serine lowers while glycine increases blood pressure in chronic L-NAME-treated and spontaneously hypertensive rats. J Hypertens 26(12): 2339–2348. https://doi.org/ 10.1097/HJH.0b013e328312c8a3
- Gilinsky MA, Polityko YK, Markel AL, Latysheva TV, Samson AO, Polis B, Naumenko SE (2020) Norvaline reduces blood pressure and induces diuresis in rats with inherited stress-induced arterial hypertension. BioMed Res Internat 2020: 4935386. https://doi.org/10.1155/2020/4935386
- Shorin IP, Markel AL, Seliatitskaia VG, Pal’chikova NA, Grinberg PM, Amstislavskii SI (1990) Endocrine-metabolic relations in rats with inherited stress-induced arterial hypertension. Bull Exp Biol Med 109(6): 768–770. https://doi.org/10.1007/BF00841441
Supplementary files







