TRANSGENERATIONAL EFFECTS OF PRENATAL STRESS ON MEMORY AND EXPRESSION OF THE INSULIN-LIKE GROWTH FACTOR 2 GENE IN THE OFFSPRING BRAIN
- Authors: Ordyan N.E.1, Shigalugova E.D.1, Malysheva O.V.1,2, Pivina S.G.1, Akulova V.K.1, Kholova G.I.1
-
Affiliations:
- Pavlov Institute of Physiology of the Russian Academy of Sciences
- Ott Research Institute of Obstetrics, Gynecology and Reproductology
- Issue: Vol 59, No 5 (2023)
- Pages: 403-412
- Section: EXPERIMENTAL ARTICLES
- URL: https://ogarev-online.ru/0044-4529/article/view/136715
- DOI: https://doi.org/10.31857/S0044452923050066
- EDN: https://elibrary.ru/KPHMSE
- ID: 136715
Cite item
Full Text
Abstract
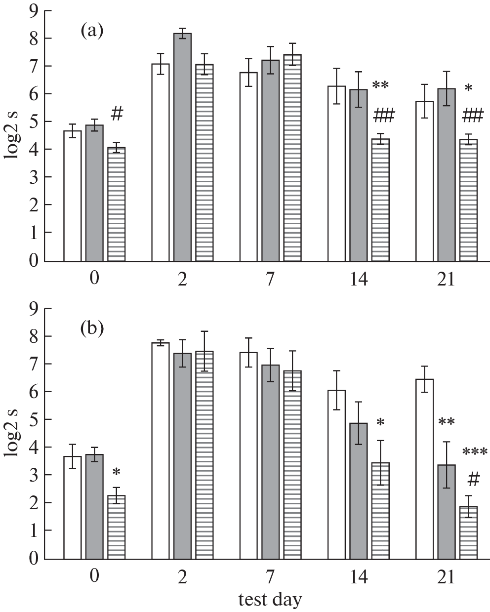
Stress effects on pregnant female disrupt the behavior and cognitive abilities of their offspring not only of the first, but also of the subsequent generations. A similar transgenerational effect on the offspring phenotype can be exerted by various stress factors that affect fathers before conception. The purpose of the study was to reveal the transgenerational effect of stress in female rats from 15–19 days of pregnancy on memory and expression of the insulin-like growth factor 2 (Igf2) gene in the brain of male and female offspring, as well as the effect of additional stress in the stress-restress paradigm in prenatally stressed male rats before conception on the memory and expression in the brain Igf2 of their offspring of both sexes. We have shown that prenatally stressed males and their next-generation male offspring show improved memory in the passive avoidance test, increased Igf2 expression in the hippocampus and cortex. Females, descendants of prenatally stressed males, on the contrary, showed a decrease in the duration of memory retention, Igf2 expression in the hippocampus and cortex. Additional stressing of prenatally stressed males before mating with intact females worsened memory and the duration of its retention, reduced Igf2 expression in the brain of the offspring of both sexes. We concluded that the transgenerational effects of prenatal stress on memory and Igf2 expression in the brain depend on the sex of the offspring, and prenatal stress itself in males contributes to memory impairment and a decrease in Igf2 expression in the offspring brain if such males were additionally stressed before mating.
About the authors
N. E. Ordyan
Pavlov Institute of Physiology of the Russian Academy of Sciences
Author for correspondence.
Email: neo@infran.ru
Russia, St. Petersburg
E. D. Shigalugova
Pavlov Institute of Physiology of the Russian Academy of Sciences
Email: neo@infran.ru
Russia, St. Petersburg
O. V. Malysheva
Pavlov Institute of Physiology of the Russian Academy of Sciences; Ott Research Institute of Obstetrics, Gynecology and Reproductology
Email: neo@infran.ru
Russia, St. Petersburg; Russia, St. Petersburg
S. G. Pivina
Pavlov Institute of Physiology of the Russian Academy of Sciences
Email: neo@infran.ru
Russia, St. Petersburg
V. K. Akulova
Pavlov Institute of Physiology of the Russian Academy of Sciences
Email: neo@infran.ru
Russia, St. Petersburg
G. I. Kholova
Pavlov Institute of Physiology of the Russian Academy of Sciences
Email: neo@infran.ru
Russia, St. Petersburg
References
- Bock J, Wainstock T, Braun K, and Segal M (2015) Stress in utero: prenatal programming of brain plasticity and cognition. Biol Psychiatr 78: 315–326. https://doi.org/10.1016/j.biopsych.2015.02.036
- Nilsson EE, Skinner MK (2015) Environmentally induced epigenetic transgenerational inheritance of disease susceptibility. Transl Res 165: 12–17. https://doi.org/10.1016/j.trsl.2014.02.003
- Zhang Q, Tian Y (2022) Molecular insights into the transgenerational inheritance of stress memory. J Genet Genom 49: 89–95. https://doi.org/10.1016/j.jgg.2021.11.015
- Moisiadis VG, Constantinof A, Kostaki A, Szyf M, Matthews SG. (2017) Prenatal Glucocorticoid Exposure Modifies Endocrine Function and Behaviour for 3 Generations Following Maternal and Paternal Transmission. Sci Rep 7: 11814. https://doi.org/10.1038/s41598-017-11635-w
- Soubry A (2018) Epigenetics as a Driver of Developmental Origins of Health and Disease: Did We Forget the Fathers? BioEssays 40: 1700113. https://doi.org/10.1002/bies.201700113
- Rando OJ (2012) Daddy Issues: Paternal Effects on Phenotype. Cell 151: 702–708. https://doi.org/10.1016/j.cell.2012.10.020
- Hellmann JK, Carlson ER, Bell AM (2020) Sex-specific plasticity across generations II: Grandpaternal effects are lineage specific and sex specific. J Anim Ecol 89: 2800–2812. https://doi.org/10.1111/1365-2656.13365
- Bell AM, Hellmann JK (2019) An integrative framework for understanding the mechanisms and multigenerational consequences of transgenerational plasticity. Ann Rev Ecol Evol Systemat 50: 97–118. https://doi.org/10.1146/annurev-ecolsys-110218-024613
- Pembrey ME, Bygren LO, Kaati G, Edvinsson S, Northstone K, Sjostrom M, Golding J, Team AS (2006) Sex-specific, male-line transgenerational responses in humans. Eur J Hum Genet 14: 159–166. https://doi.org/10.1038/sj.ejhg.5201538
- Van den Bergh B, van den Heuvel MI, Lahti M, Brae-ken M, de Rooij SR Entringer S, Hoyer D, Roseboom T, Räikkönen K, King S, Schwab M (2020) Prenatal developmental origins of behavior and mental health: The influence of maternal stress in pregnancy. Neurosci Biobehav Rev 117: 26–64. https://doi.org/10.1016/j.neubiorev.2017.07.003
- Cherian SB, Bairy KL, Rao MS (2009) Chronic prenatal restraint stress induced memory impairment in passive avoidance task in post weaned male and female Wistar rats. Indian J Exp Biol 47: 893–899.
- Guan SZ, Fu Y, Zhao F, Liu HY, Chen XH, Qi FQ, Liu ZH, Ng TB (2021) The mechanism of enriched environment repairing the learning and memory impairment in offspring of prenatal stress by regulating the expression of activity-regulated cytoskeletal-associated and insulin-like growth factor-2 in hippocampus. Environment Health Prevent Med 26: 8. https://doi.org/10.1186/s12199-020-00929-7
- Chen DY, Stern SA, Garcia-Osta A, Saunier-Rebori B, Pollonini G, Bambah-Mukku D (2011) A critical role for IGF-II in memory consolidation and enhancement. Nature 469: 491–497. https://doi.org/10.1038/nature09667
- Bracko O, Singer T, Aigner S, Knobloch M, Winner B, Ray J, Clemenson GD Jr, Suh H, Couillard-Despres S, Aigner L, Gage FH, Jessberger S (2012) Gene expression profiling of neural stem cells and their neuronal progeny reveals IGF2 as a regulator of adult hippocampal neurogenesis. J Neurosci 32: 3376–3387. https://doi.org/10.1523/JNEUROSCI.4248-11.2012
- Alberini CM, Chen DY (2012) Memory enhancement: consolidation, reconsolidation and insulin-like growth factor 2. Trends Neurosci 35: 274–283. https://doi.org/10.1016/j.tins.2011.12.007
- Fromer M, Roussos P, Sieberts SK, et al. (2016) Gene expression elucidates functional impact of polygenic risk for schizophrenia. Nat Neurosci 19: 1442–1453. https://doi.org/10.1038/nn.4399
- Ordyan NE, Pivina SG, Baranova KA, Rakitskaya VV, Akulova VK, Kholova GI (2021) Sex-Dependent Actions of Prenatal Stress on the Activity of the Hypothalamo-Hypophyseal-Adrenocortical System in Rats: The Role of Corticosteroid Receptors in the Brain. Neurosci Behav Physiol 51: 357–366. https://doi.org/10.1007/s11055-021-01079-1
- Pivina SG, Rakitskaya VV, Akulova VK, Shigalugova ED, Ordyan NE (2022) Effects of Prenatal Stress on Reproductive Function in Male Rats. Neurosci Behav Physiol 52: 568–573. https://doi.org/10.1007/s11055-022-01276-6
- Ordyan NE, Pivina SG (2004) Characteristics of the behavior and stress-reactivity of the hypophyseal-adrenal system in prenatally stressed rats. Neurosci Behav Physiol 34 (6): 569–574. 10.1023/b:neab.0000028286.83083.73' target='_blank'>https://doi.org/doi: 10.1023/b:neab.0000028286.83083.73
- Ordyan NE, Smolenskiy IV, Pivina SG, Akulova VK, Rakitskaya VV (2014) Characteristics of the Formation of the Anxious-Depressive State in an Experimental Model of Post-Traumatic Stress Disorder in Prenatally Stressed Male Rats. Neurosci Behav Physiol 44: 657–663. https://doi.org/10.1007/s11055-014-9966-6
- Pivina SG, Rakitskaya VV, Akulova VK, Ordyan NE (2016) Activity of the Hypothalamic-Pituitary-Adrenal System in Prenatally Stressed Male Rats on the Experimental Model of Post-Traumatic Stress Disorder. Bull Exp Biol Med 160: 601–604. https://doi.org/10.1007/s10517-016-3227-3
- Ordyan NE, Malysheva OV, Akulova VK, Pivina SG, Kholova GI (2020) The Capability to Learn and Expression of the Insulin-Like Growth Factor II Gene in the Brain of Male Rats Whose Fathers Were Subjected to Stress Factors in the “Stress–Restress” Paradigm. Neurochemical J 14: 191–196. https://doi.org/10.1134/S1819712420020075
- Markham JA, Koenig JI (2011) Prenatal stress: role in psychotic and depressive diseases. Psychopharmacology (Berl) 214: 89–106. https://doi.org/10.1007/s00213-010-2035-0
- Modir F, Elahdadi Salmani M, Goudarzi I, Lashkarboluki T, Abrari K (2014) Prenatal stress decreases spatial learning and memory retrieval of the adult male offspring of rats. Physiol Behav 129: 104–109. https://doi.org/10.1016/j.physbeh.2014.02.040
- Akatsua S, Ishikawa C, Takemura K, Ohtani A, Shiga T (2015) Effects of prenatal stress and neonatal handling on anxiety, spatial learning and serotonergic system of male offspring mice. Neurosci Res 101: 15–23. https://doi.org/0.1016/j.neures.2015.07.002
- Wua J, Songa TB, Lia YJ, Heb KS, Geb L, Wang LR (2007) Prenatal restraint stress impairs learning and memory and hippocampal PKCbeta1 expression and translocation in offspring rats. Brain Res 1141: 205–213. https://doi.org/10.1016/j.brainres.2007.01.024
- Nazeri M, Shabani M, Ravandi SG, Aghaei I, Nozari M, Mazhari S. (2015) Psychological or physical prenatal stress differentially affects cognition behaviors. Physiol Behav 142: 155–160. https://doi.org/10.1016/j.physbeh.2015.02.016
- Ordyan NE, Malysheva OV, Holova GI, Akulova VK, Pivina SG (2022) Sex-Dependent Effects of Stress in Male Rats on Memory and Expression of the Insulin-Like Growth Factor 2 Receptor Gene in the Brains of Offspring. Neurosci Behav Physiol 52: 242–250. https://doi.org/10.1007/s11055-021-01079-1
- Hellmann JK, Bukhari SA, Deno J, Bell AM (2020) Sex–specific plasticity across generations I: Maternal and paternal effects on sons and daughters. J Anim Ecol 89 (12): 2788–2799. https://doi.org/10.1111/1365-2656.13364
- Duffy KA, Bale TL, Epperson CN (2021) Germ cell drivers: transmission of preconception stress across generations. Front Hum Neurosci 15: 642762. https://doi.org/10.3389/fnhum.2021.642762
- Малышева ОВ, Пивина СГ, Пономарева ЕН, Ордян НЭ (2023) Изменение содержания малых некодирующих РНК в сперматозидах как возможный механизм трансгенерационной передачи эффектов отцовского стресса: экспериментальное исследование. Цитология 65 (1): 28–38. [Malysheva OV, Pivina SG, Ponomareva EN, Ordyan NE (2023) Changes in the content of small non-coding RNAs in spermatozoa as a possible mechanism of transgenerational transmission of the effects of paternal stress: experimental research. Citology 65 (1): 28–38. (In Russ)]. https://doi.org/10.31857/S0041377123010078
Supplementary files







