Luminescent determination of dopamine using a camera
- Authors: Gromova S.A.1, Matyash M.V.1, Apyari V.V.1, Dmitrienko S.G.1, Zolotov Y.A.1,2
-
Affiliations:
- Lomonosov Moscow State University
- Kurnakov Institute of General and Inorganic Chemistry of the Russian Academy of Sciences
- Issue: Vol 80, No 1 (2025)
- Pages: 52-61
- Section: ORIGINAL ARTICLES
- Submitted: 25.04.2025
- Accepted: 25.04.2025
- URL: https://ogarev-online.ru/0044-4502/article/view/289195
- DOI: https://doi.org/10.31857/S0044450225010054
- EDN: https://elibrary.ru/aasvru
- ID: 289195
Cite item
Abstract
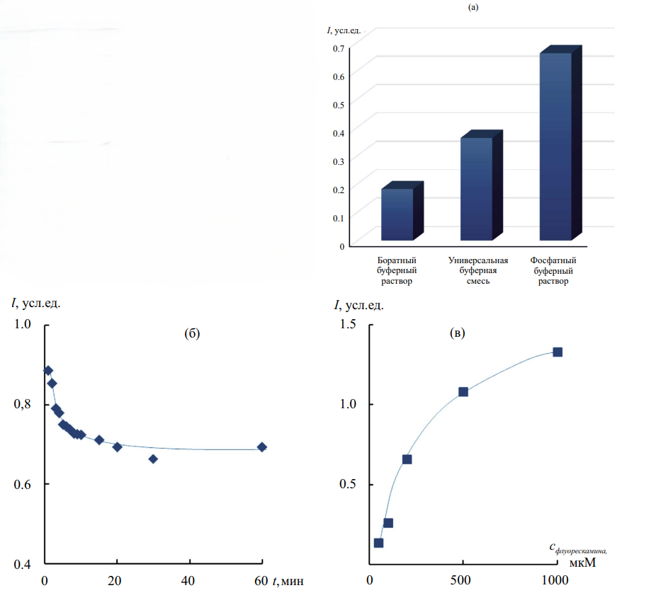
It is shown that the interaction of dopamine with fluorescamine can be used as a basis for the luminescent determination of dopamine using a camera, since the product formed as a result of this interaction is characterized by a luminescence maximum in the visible region (485 nm), and a light-emitting diode emitting light in the near ultraviolet region (395 nm) is sufficient to excite the luminescence. The reaction should be carried out at pH 8–8.5 in a phosphate buffer solution for 5 min; fluorescamine should be added to the reaction mixture last. Some analytical characteristics of the determination using a camera are assessed and compared with the characteristics of a similar determination of dopamine using a professional spectrofluorometer and spectrophotometer. The detection limits of dopamine using a camera, spectrophotometer and spectrofluorometer were 1.8, 1.6 and 0.5 μM, the range of determined contents was 5.4–50 μM, 4.8–100 μM, 1.5–100 μM, respectively. The presence of common inorganic ions, the content of which is 10 times higher than the content of dopamine, does not interfere with the determination. The proposed method for determining dopamine can be used for quality control of drugs.
Keywords
Full Text
About the authors
S. A. Gromova
Lomonosov Moscow State University
Email: masha13_1992@mail.ru
Russian Federation, 1, Leninskie Gory, Moscow, 119991
M. V. Matyash
Lomonosov Moscow State University
Author for correspondence.
Email: masha13_1992@mail.ru
Russian Federation, 1, Leninskie Gory, Moscow, 119991
V. V. Apyari
Lomonosov Moscow State University
Email: masha13_1992@mail.ru
Russian Federation, 1, Leninskie Gory, Moscow, 119991
S. G. Dmitrienko
Lomonosov Moscow State University
Email: masha13_1992@mail.ru
Russian Federation, 1, Leninskie Gory, Moscow, 119991
Yu. A. Zolotov
Lomonosov Moscow State University; Kurnakov Institute of General and Inorganic Chemistry of the Russian Academy of Sciences
Email: masha13_1992@mail.ru
Russian Federation, 1, Leninskie Gory, Moscow, 119991; 31, Leninsky Ave., Moscow, 119991
References
- Апяри В.В., Горбунова М.В., Исаченко А.И., Дмитриенко С.Г., Золотов Ю.А. Использование бытовых цветорегистрирующих устройств в количественном химическом анализе // Журн. аналит. химии. 2017. Т. 72. № 11. С. 963. https://doi.org/10.7868/S0044450217110019 (Apyari V.V., Gorbunova M.V., Isachenko A.I., Dmitrienko S.G., Zolotov Yu A. Use of household color-recording devices in quantitative chemical analysis // J. Anal. Chem. 2017. V. 72. № 11. P. 1127. https://doi.org/10.1134/S106193481711003X)
- Моногарова О.В., Осколок К.В., Апяри В.В. Цветометрия в химическом анализе // Журн. аналит. химии. 2018. Т. 73. № 11. С. 857. https://doi.org/10.1134/S0044450218110063 (Monogarova O.V., Oskolok K.V., Apyari V.V. Colorimetry in chemical analysis // J. Anal. Chem. 2018. V. 73. P. 1076. https://doi.org/10.1134/S1061934818110060)
- Lapresta-Fernández A., Capitán-Vallvey L.F. Environmental monitoring using a conventional photographic digital camera for multianalyte disposable optical sensors // Anal. Chim. Acta. 2011. V. 706. № 2. P. 328. https://doi.org/10.1016/j.aca.2011.08.042
- Doeven E.H., Barbante G.J., Kerr E., Hogan C.F., Endler J.A., Francis P.S. Red–green–blue electrogenerated chemiluminescence utilizing a digital camera as detector // Anal. Chem. 2014. V. 86. № 5. P. 2727. https://doi.org/10.1021/ac404135f
- Jayawardane B.M., McKelvie I.D., Kolev S.D. A paper-based device for measurement of reactive phosphate in water // Talanta. 2012. V. 100. P. 454. https://doi.org/10.1016/j.talanta.2012.08.021
- Gárcia A., Erenas M.M., Marinetto E.D., Abad C.A., de Orbe-Payá I., Palma A.J., CapitánVallvey L.F. Mobile phone platform as portable chemical analyzer // Sens. Actuators B. 2011. V. 156. № 1. P. 350. https://doi.org/10.1016/j.snb.2011.04.045
- Shahvar A., Saraji M., Shamsaei D. Smartphone-based chemiluminescence sensing for TLC imaging // Sens. Actuators B: Chem. 2018. V. 255. P. 891. https://doi.org/10.1016/j.snb.2017.08.144
- Apyari V.V., Dmitrienko S.G., Zolotov Y.A. Unusual application of common digital devices: Potentialities of Eye-One Pro mini-spectrophotometer – A monitor calibrator for registration of surface plasmon resonance bands of silver and gold nanoparticles in solid matrices // Sens. Actuators B: Chem. 2013. V. 188. P. 1109. https://doi.org/10.1016/j.snb.2013.07.097
- Marchenko D.Y., Petrov S.I., Sandzhieva D.A., Dedov A.G. Express method of the quantitative determination of nitrites by computer colorimetry using new reagent compositions // Theor. Found. Chem. Eng. 2016. V. 50. P. 648. https://doi.org/10.1134/S0040579516040187
- Gorbunova M.V., Evstigneeva P.Yu., Apyari V.V., Dmitrienko S.G. A monitor calibrator as a portable tool for determination of luminescent compounds // IEEE Trans. Instrum. Meas. 2021. V. 70. Article 6002910. https://doi.org/10.1109/TI M.2020.3041390
- Gorbunova M.V., Safronova A.S., Vasilyeva A.A., Spitsyna K.S., Apyari V.V., Dmitrienko S.G. Sulfonamide drugs: Low-cost spectrofluorometric determination using a computer monitor calibrator for detection // Talanta. 2023. V. 257. Article 124383 https://doi.org/10.1016/j.talanta.2023.124383
- Кулинский В.И., Колесниченко Л.С. Катехоламины: биохимия, фармакология, физиология, клиника // Вопросы медицинской химии. 2002. Т. 48. № 1. С. 44.
- Derayea S.M., Samir E. A review on the use of fluorescamine as versatile and convenient analytical probe // Microchem. J. 2020. V. 156. Article 104835 https://doi.org/10.1016/j.microc.2020.104835
- Imai K. Fluorimetric assay of dopamine, nerepinephrine and their 3-o-methyl metabolites by using fluorescamine // J. Chromatogr. A. 1975. V. 105. P. 135. https://doi.org/10.1016/S0021-9673(01)81097-9
- Imai K., Tamura Z. Liquid chromatographic determination of urinary dopamine and norepinephrine as fluorescamine derivatives // Clin. Chim. Acta. 1978. V. 85. P. 1. https://doi.org/10.1016/0009-8981(78)90093-1
- Nakamura H., Pisano J.J. Specific detection of primary catecholamines and their 3-o-methyl derivatives on thin-layer plates using a fluorigenic reaction with fluorescamine // J. Chromatogr. A. 1978. V. 154. P. 39. https://doi.org/10.1016/S0021-9673(00)88479-4
- Ingles D.L., Gallimore D. High-performance liquid chromatography of fluorescamine-labelled amines in acid solvents // J. Chromatogr. A. 1985. V. 325. P. 346. https://doi.org/10.1016/S0021-9673(00)96042-4
- Djozan Dj., Farajzadeh M.A. The use of fluorescamine (Fluram) in fluorimetric trace analysis of primary amines of pharmaceutical and biological interest // J. Pharm. Biomed. Anal. 1992. V. 10. P. 1063. https://doi.org/10.1016/0731-7085(91)80120-X
- Толмачева В.В., Ярыкин Д.И., Горбунова М.В., Апяри В.В., Дмитриенко С.Г., Золотов Ю.А. Концентрирование катехоламинов на сверхсшитом полистироле и их определение методом высокоэффективной жидкостной хроматографии // Журн. аналит. химии. 2019. Т. 74. № 11. С. 803. https://doi.org/10.1134/S004445021909010X (Tolmacheva V.V., Yarykin D.I., Gorbunova M.V., Apyari V.V., Dmitrienko S.G., Zolotov Yu A. Preconcentration of catecholamins on hypercrosslinked polystyrene and their determination by high-performance liquid chromatography // J. Anal. Chem. 2019. V. 74. № 11. P. 1057. https://doi.org/10.1134/S1061934819090107)
Supplementary files








