Voltammetric DNA sensors for detecting DNA damage based on poly (acridine orange) coatings obtained from relin and glycelin
- Authors: Porfirieva А.V.1, Khusnutdinova Z.F.1, Evtyugin G.A.1
-
Affiliations:
- Kazan Federal University
- Issue: Vol 79, No 12 (2024)
- Pages: 1369-1381
- Section: ORIGINAL ARTICLES
- Submitted: 06.03.2025
- Accepted: 06.03.2025
- URL: https://ogarev-online.ru/0044-4502/article/view/282610
- DOI: https://doi.org/10.31857/S0044450224120116
- EDN: https://elibrary.ru/stdqut
- ID: 282610
Cite item
Full Text
Abstract
A voltammetric DNA sensor has been developed to register DNA damage from the calf thymus by changing redox signals on cyclic voltammograms of a poly (acridine orange) (PAO) coating synthesized on a printed carbon-containing electrode from media of deep eutectic solvents – relin and glycelin and a phosphate buffer solution. The working conditions of DNA immobilization on each of the presented polymer coatings have been established. The influence of the nature of the electropolymerization medium on the electrochemical characteristics of the polymer acridine dye layer and the sensitivity of the polymer response to thermal and oxidative DNA damage has been revealed. With the optimal composition of the surface layer, the DNA sensor based on PAO synthesized from aqueous media (PAO1) reliably allowed us to determine only the fact of chemical oxidation of DNA. The use of PAO synthesized from relin (PAO2) and glycelin (PAO3) media in DNA sensors demonstrated not only the high sensitivity of PAO2 and PAO3 coatings to the introduction of DNA from the thymus of the calf as a whole, but also made it possible to successfully distinguish native, thermally denatured and chemically oxidized DNA.
Keywords
Full Text
Разработка ДНК-сенсоров является одним из актуальных направлений развития современной аналитической химии. В таких биосенсорах в качестве биораспознающего элемента используют молекулы дезоксирибонуклеиновой кислоты (ДНК). В зависимости от источника ДНК, длины последовательности нуклеотидов и молекулярной массы молекулы в целом в подобных сенсорах могут реализоваться различные принципы генерации сигнала. Гибридизация двух комплементарных нуклеотидных последовательностей используется в геносенсорах [1], которые применяют для установления последовательности нуклеотидов, обычно ассоциированной с определенными генами. Они позволяют идентифицировать патогены вирусной или бактериальной природы [2–4], определять биомаркеры онкологических заболеваний и врожденные генетические патологии [5, 6].
Иной принцип функционирования ДНК-сенсоров основан на регистрации взаимодействий с биополимером низкомолекулярных соединений – интеркаляторов. К ним относятся плоские ароматические и гетероароматические молекулы, встраиваемые между парами нуклеиновых оснований двухцепочечной ДНК. К интеркаляторам относятся некоторые красители, противораковые препараты и загрязнители окружающей среды (полиароматические углеводороды, диоксины и т.д.). Наибольший интерес в этой области представляет возможность создания ДНК-сенсоров для определения противораковых препаратов, которые востребованы для изучения фармакокинетики, установления индивидуальной дозы применения указанных токсичных препаратов, своевременной коррекции терапии и снижения кардиотоксических, кожных и других системных проявлений [7–9].
Третий тип ДНК-сенсоров направлен на выявление факта повреждения структуры ДНК. В первую очередь речь идет об окислительном повреждении ДНК под действием эндо- и экзогенных активных форм кислорода. Оно может быть следствием действия ряда экотоксикантов, патогенных микроорганизмов, УФ- и ионизирующего облучения. Окислительное повреждение ДНК приводит к преждевременному старению организма, возникновению мутаций, увеличению частоты онкологических заболеваний, диабета и заболеваний центральной нервной системы [1].
Отрицательно заряженная молекула ДНК может электростатически накапливаться на положительно заряженных электрополимеризованных покрытиях трансдьюсера. Повреждение ДНК меняет распределение заряда в поверхностном слое сенсора, что может быть зафиксировано с помощью электрохимических методов, таких как вольтамперометрия [10] и спектроскопия электрохимического импеданса [11].
Акридины встречаются в природе в различных растительных источниках в виде акридоновых алкалоидов или как часть сложных тетра-, пента- и более сложных циклических структур [12]. Некоторые акридины обладают доказанной антивирусной и антималярийной активностью [13], другие эффективны против лейшманиоза, демонстрируют противогрибковое, противораковое и фотосенсибилизирующее действие [14].
Акридиновый оранжевый (N,N,N’,N’-тетраметилакридин-3,6-диамин, АО) впервые был выделен из каменноугольной смолы. Это соединение проявляет широкий спектр биологической активности: используется как флуоресцентный агент, специфичный к ДНК и РНК, противораковый и противомалярийный препарат, фотосенсибилизатор и рН-индикатор. Акридиновый оранжевый способен накапливаться в костно-мышечных саркомах и позволяет добиться селективной гибели раковых клеток при их облучении [15]. Акридиновый оранжевый также использовали как ДНК-связывающий агент для определения гибридизации ДНК и распознавания мутаций [16].
Акридиновый оранжевый способен к электрополимеризации с образованием электроактивного полимерного покрытия. Сенсоры на основе полимерной формы красителя (ПАО), синтезированного из водных сред, успешно использованы для определения гвайфенезина [17], амоксициллина [18], мочевой кислоты [19], добутамина [20], гидрохинона в присутствии о- и м-гидрохинона [21], а также 1-нафтола в присутствии 2-нафтола [22]. ПАО сочетается с различными углеродными наноматериалами и наночастицами соединений металлов. Так, угольно-пастовый электрод с ионной жидкостью в качестве связующего последовательно покрывали слоями оксида графена и ПАО для последующего определения рутина [23]. Модификация стеклоуглеродного электрода графеном и ПАО позволила получить сенсор для вольтамперометрического определения мочевой кислоты [24]. Композит оксигидроксида ванадия VO(OH) и ПАО использовали для электрохимического определения энтакапона, препарата против болезни Паркинсона [25]. Тем не менее одной из часто встречающихся проблем при электрополимеризации красителей из водных растворов является низкая растворимость органических мономеров в воде и, как следствие, низкая эффективность процесса электрополимеризации. В связи с этим достаточно важным представляется развитие подходов к получению электроактивных полимеров путем электрополимеризации из водно-органических смесей, органических растворителей или глубоких эвтектических растворителей (ГЭР). Ранее исследования нашей научной группы показали, что переход от водных сред к другим вариантам позволил успешно провести электрополимеризацию Азура Б из водной среды, насыщенной хлороформом [8], Азура С [7] и тионина [9] из ГЭР. В литературе не представлены примеры электрополимеризации ПАО в других средах – органических, водно-органических или ГЭР или использования ПАО в составе ДНК-сенсоров.
Цель данной работы – получение и изучение электрохимических характеристик новых модифицирующих слоев на основе электрополимеризованного красителя АО, синтезированного из традиционной среды фосфатного буферного раствора и двух ГЭР (релина и глицелина) в сочетании с ДНК из тимуса теленка, для вольтамперометрической регистрации окислительного и термического повреждения ДНК. Сборку распознающих слоев сенсоров проводили на печатном углеродном электроде (ПУЭ), что позволило сократить объем рабочей ячейки до 100 мкл. Покрытия, полученные из водных сред и ГЭР, обладали различной чувствительностью к представленным формам ДНК, что позволило идентифицировать повреждение ДНК, вызванное химическими и физическими воздействиями.
ЭКСПЕРИМЕНТАЛЬНАЯ ЧАСТЬ
Реагенты. Использовали моногидрат гидрохлорида АО (содержание красителя ≥98%); мочевину; ДНК из тимуса теленка, натриевую соль (Тип I, волокна, высокополимеризованная, Кат. № D1501) (Sigma-Aldrich, Германия); холин хлорид (Acros Organics, КНР). Все остальные реагенты были категории ч. д. а. или analytical grade. Рабочие растворы реагентов и растворы для проведения электрохимических измерений готовили на деионизованной воде Millipore®.
Глубокие эвтектические растворители релин и глицелин готовили смешением компонентов (холин хлорида и мочевины или глицерина) в мольном соотношении 1 : 2. Компоненты сначала перемешивали на вортексе и далее помещали в ультразвуковую ванну на 30 мин. Для получения раствора АО в релине или глицелине добавляли точную навеску красителя к компонентам ГЭР перед их перемешиванием и ультразвуковой обработкой.
Оборудование. Вольтамперометрические измерения проводили с помощью портативного бипотенциостата-гальваностата µStat 400 Metrohm DropSens (DropSens, S.L., Испания).
Использовали ПУЭ на подложке из поликарбоната, изготовленные на кафедре аналитической химии Казанского федерального университета методом четырехпроходной трафаретной печати на пленке Lomond PE DS Laser Film (Lomond, остров Мэн) с помощью полуавтомата трафаретной печати DEK-248 (DEK, Великобритания). На подложку последовательно наносили электропроводящие дорожки, углеродную пасту C2030519P4 (Gwent group, Великобритания) и изоляционный слой D2140114D5 (Gwent group, Великобритания). Псевдоэлектрод сравнения состоял из серебряной пасты PSP-2 (НПП Дельта-пасты, Россия). Каждый слой последовательно подвергали отверждению при 90оС. В итоге получили трехэлектродную систему 11 × 27 мм на едином носителе. Площадь поверхности рабочего электрода ПУЭ составила 0.038 см2. Для подключения ПУЭ к потенциостату использовали коннектор для планарных электродов DCS (Metrohm, Нидерланды). Вольтамперометрические измерения проводили без термостатирования. Для измерения рН использовали цифровой рН-метр-иономер Экотест-001 (Эконикс-Эксперт, Москва, Россия). Гомогенизацию компонентов глубоких эвтектических растворителей проводили с помощью вортекса (Biosan SIA, Латвия). Для ультразвуковой обработки использовали ультразвуковую ванну Wise Clean с частотой 50 Гц (DAIHAN Scientific Co, Ltd, Корея).
Непосредственно перед использованием проводили электрохимическую очистку ПУЭ путем десятикратного циклирования потенциала в диапазоне –1.0 … 1.0 В со скоростью сканирования 0.15 В/с в 0.1 М фосфатном буферном растворе с рН 7.0, содержащем 0.1 моль/л NaNO3. На рабочую поверхность ПУЭ наносили 100 мкл раствора таким образом, чтобы капля полностью покрывала поверхность рабочего, вспомогательного электродов и электрода сравнения. При изучении электрохимического поведения ПАО при различных значениях рН готовили 0.1 М фосфатный буферный раствор, содержащий 0.1 М NaNO3 с рН от 2 до 9, наносили раствор с определенным значением рН на поверхность модифицированного ПУЭ, регистрировали вольтамперограмму, промывали электрод деионизованной водой, сушили электрод на воздухе при комнатной температуре и наносили раствор с другим значением рН. При необходимости рН фосфатного буферного раствора корректировали добавками раствора NaOH и H2SO4.
Электрополимеризация Акридинового оранжевого. Для электрополимеризации на ПУЭ из 100 мкл 1 мМ раствора АО в 0.1 М фосфатном буферном растворе с рН 7.0, содержащем 0.1 моль/л NaNO3, многократно сканировали потенциал в интервале –0.6 … 1.2 В при скорости сканирования 0.15 В/с (20 циклов). Полученное покрытие далее обозначено как ПАО1. Электрополимеризацию контролировали по характерным изменениям пиков красителя на вольтамперограмме. Аналогичным образом получали покрытия из 0.1 М раствора АО в релине (ПАО2) и глицелине (ПАО3), но при этом использовали более широкий рабочий интервал сканирования потенциала: –1.2 … 1.2 В.
Стабилизацию полимерного покрытия и удаление несвязавшихся частиц красителя проводили в 100 мкл рабочего фосфатного буферного раствора либо путем выдерживания модифицированного электрода в бестоковом режиме в течение 30 мин (ПАО1), либо при десятикратном сканировании потенциала в диапазоне –0.8 … 0.6 В со скоростью сканирования 0.15 В/с (ПАО2 и ПАО3).
Включение ДНК в состав поверхностного слоя ДНК-сенсора. На ПУЭ, модифицированный ПАО1, ПАО2 или ПАО3 и стабилизированный по указанным выше методикам, капельно наносили 2 мкл раствора ДНК из тимуса теленка с концентрацией 1 мг/мл, высушивали на воздухе либо инкубировали в течение 10, 20 или 30 мин, затем промывали деионизованной водой для удаления несвязавшихся реагентов. В случае инкубирования электрод накрывали пробиркой Эппендорфа во избежание высыхания капли раствора ДНК. В качестве рабочего протокола иммобилизации нативной ДНК для ПУЭ/ПАО1 выбрали высушивание, для ПУЭ/ПАО2 – инкубирование в течение 10 мин, для ПУЭ/ПАО3 – инкубирование в течение 20 мин.
Термическая денатурация ДНК. Раствор, содержащий 1 мг/мл ДНК, помещали в термостат при 95°С на 30 мин, после чего охлаждали в ледяной бане в течение 5 мин. Далее на поверхность ПУЭ/ПАО1, ПУЭ/ПАО2 или ПУЭ/ПАО3 наносили 2 мкл раствора термически денатурированной ДНК.
Химическое окисление ДНК из тимуса теленка. 1 мг ДНК растворяли в 900 мкл 0.1 М фосфатного буферного раствора с рН 7.0, содержащего 0.1 моль/л NaNO3, добавляли 100 мкл 4 мМ раствора сульфата меди и 1.32 мкл 30%-ного пероксида водорода. Перед применением полученный раствор выдерживали в течение одного часа. Далее на поверхность ПУЭ/ПАО1, ПУЭ/ПАО2 или ПУЭ/ПАО3 наносили 2 мкл раствора, содержащего 1 мг/мл химически окисленной ДНК. Для последующего удаления ионов меди на рабочую поверхность электрода наносили 2 мкл 4 мМ раствора динатриевой соли этилендиаминтетрауксусной кислоты (ЭДТА) и инкубировали в течение 10 мин, после чего ДНК-сенсор промывали деионизованной водой.
Регистрация повреждения ДНК. Регистрировали вольтамперограмму покрытия ПАО1, ПАО2 или ПАО3 в диапазоне –0.8 … 0.6 В со скоростью сканирования 0.15 В/с в 100 мкл 0.1 М фосфатного буферного раствора с рН 7.0, содержащего 0.1 моль/л NaNO3. Далее проводили иммобилизацию нативной, термически денатурированной или химически окисленной ДНК, как описано выше. Электрод промывали деионизованной водой и сушили на воздухе при комнатной температуре. На рабочую поверхность модифицированного электрода наносили 100 мкл рабочего буферного раствора и повторно регистрировали вольтамперограмму в тех же условиях. Изменение токов пиков окисления и восстановления полимерного покрытия в результате иммобилизации нативной или поврежденной ДНК выражали в процентах относительно исходного сигнала полимера, полученного в отсутствие ДНК в слое.
РЕЗУЛЬТАТЫ И ИХ ОБСУЖДЕНИЕ
Нанесение ПАО и электрохимические характеристики покрытий ПАО1, ПАО2 и ПАО3. Электроактивные полимерные покрытия на основе феназиновых, фенотиазиновых, феноксазиновых и акридиновых красителей широко используются в составе сенсоров и биосенсоров, поскольку обладают воспроизводимыми электрохимическими характеристиками, несут положительный заряд и обладают выраженными медиаторными свойствами [26, 27]. Для получения ПАО использовали потенциодинамический режим электрополимеризации (рис. 1). На вольтамперограммах электрополимеризации АО из фосфатного буферного раствора (рис. 1а) с увеличением числа циклов сканирования потенциала наблюдали рост пары пиков окисления-восстановления ПАО1 в области –0.025 и –0.2 В. При 0.7 В наблюдали необратимую волну окисления мономера с образованием катион-радикала. С ростом числа циклов сканирования потенциала сигнал генерации катион-радикала закономерно снижался в силу частичного блокирования поверхности электрода продуктами полимеризации. Поскольку в процессе полимеризации дополнительная пара пиков не возникала, потенциалы окисления-восстановления мономерной и полимерной форм красителя при проведении процесса в водной среде совпадали [28].
Рис. 1. Циклические вольтамперограммы электрополимеризации красителя на ПУЭ. (а) 1 мМ АО в 0.1 М фосфатном буферном растворе с рН 7.0, содержащем 0.1 моль/л NaNO3, –0.6 … 1.2 В, 20 циклов, 0.15 В/с; (б) 0.1 М АО в релине; (в) 0.1 М АО в глицелине, –1.2 … 1.2 В, 20 циклов, 0.15 В/с.
При электрополимеризации АО из релина и глицелина вольтамперограммы значимо различались. Пики полимера на вольтамперограммах были менее выражены. Сигнал окисления мономера АО в релине проявлялся на первом цикле сканирования при 0.23 В, с ростом числа циклов пик уменьшался по величине и смещался в анодную область потенциалов, сигнал восстановления мономера был выражен слабо (рис. 1б). Начиная с 5–6 цикла сканирования, в более анодной области потенциалов появлялись пики окисления полимерной формы ПАО2 и волны восстановления полимера. Пики полимерной формы, как правило, были менее обратимы и смещены в область более высоких потенциалов относительно пиков мономерной формы. Это связано с затруднением электронного переноса через полимерный слой на поверхности электрода, осаждаемый в процессе электрополимеризации [29]. Этим же объясняется и смещение потенциалов пиков окисления мономера, регистрируемое на первых циклах сканирования потенциала. Пик окисления катион-радикала в релине смещался на 0.29 В в анодную область по сравнению с электрополимеризацией в водных средах, что свидетельствовало о затруднении электронного переноса в вязких средах ГЭР. Также следует отметить значительный рост емкостных токов с числом циклов сканирования потенциала при электрополимеризации АО в релине.
В глицелине подобного роста емкостной составляющей тока не наблюдали. На вольтамперограммах регистрировали две волны окисления при 0.42 и 0.88 В и две волны восстановления при 0.43 и 0.03 В (рис. 1в). Необратимая волна окисления катион-радикала в глицелине дополнительно смещалась на 0.2 В в анодную область по сравнению с процессом в релине. При переходе от релина к глицелину регистрируемые токи заметно увеличились, что может быть связано с меньшей вязкостью глицелина (301 Па · с по сравнению с 583 Па · с для релина [30]). По этой причине в глицелине диффузия мономера менее затруднена, что обеспечивает более высокий редокс-сигнал покрытия и влияет на эффективность полимеризации акридинового красителя в целом.
Для стабилизации покрытия использовали два подхода. Первый вариант предполагал десятикратное циклирование потенциала электрода в 0.1 М фосфатном буферном растворе с рН 7.0, содержащем 0.1 моль/л NaNO3 в диапазоне –0.8 … 0.6 В со скоростью сканирования 0.15 В/с. Второй вариант заключался в выдерживании электрода с покрытием в фосфатном буферном растворе в течение 30 мин в режиме разомкнутой цепи.
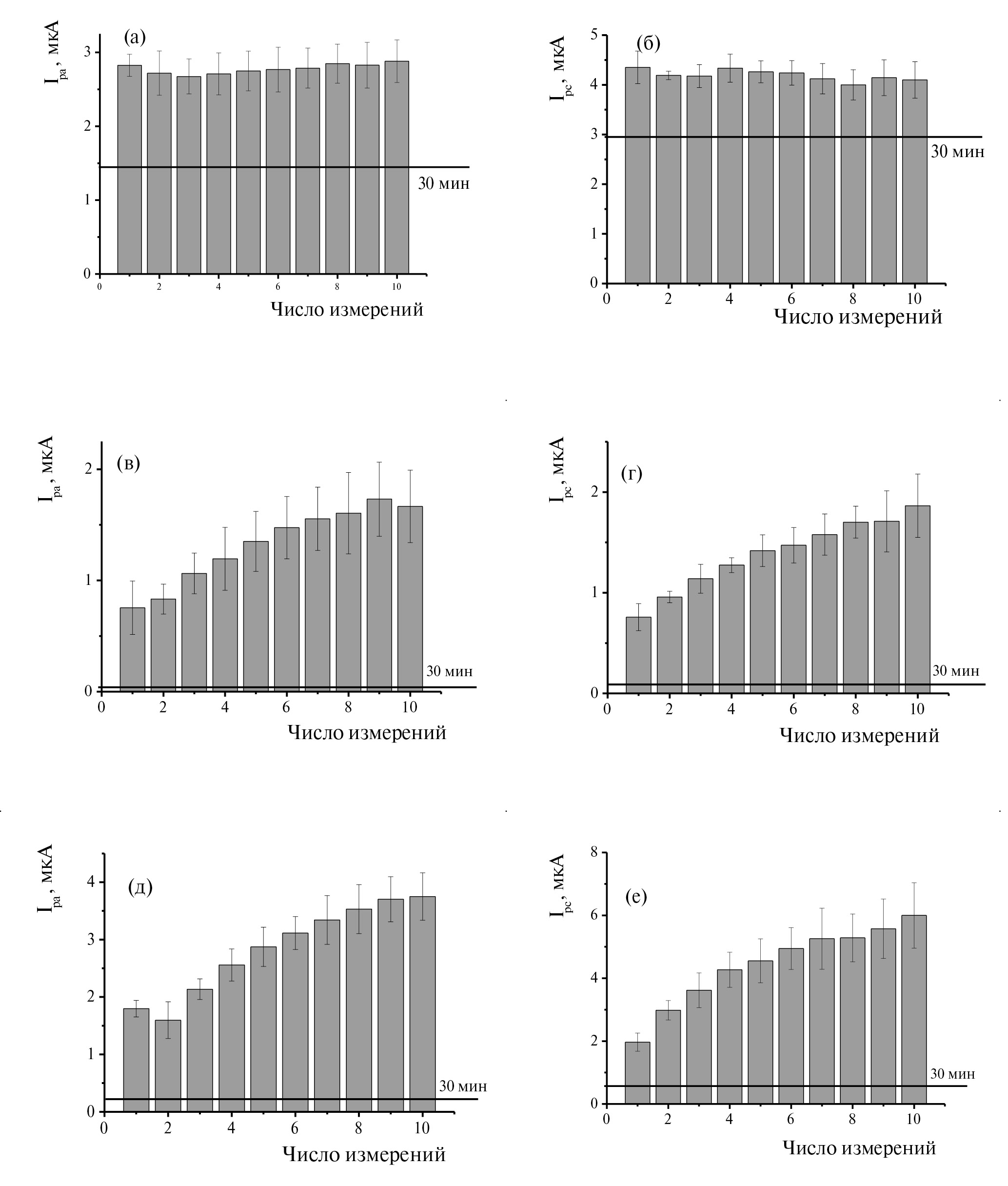
При регистрации десяти последовательных вольтамперограмм из фосфатного буферного раствора покрытие ПАО1 демонстрировало стабильность токов пиков окисления и восстановления (рис. 2а, б). В отличие от покрытия, полученного из водной среды, сигнал покрытий ПАО2 и ПАО3 увеличивался при многократном сканировании потенциала, что свидетельствовало о дополнительной проработке поверхности (рис. 2в–е). Бестоковый режим позволил удалить часть захваченного в процессе роста полимерного покрытия мономера из покрытия ПАО1, что снижало токи по сравнению с первым вариантом стабилизации. В случае ПАО2 и ПАО3 при использовании бестокового режима токи пиков полимера практически исчезали. В дальнейшем для стабилизации покрытия ПАО1 выбрали методику выдерживания покрытия в режиме разомкнутой цепи, а в случае покрытий из ГЭР – десятикратное сканирование потенциала в рабочем буферном растворе.
Рис. 2. Стабильность вольтамперометрического сигнала покрытий (a), (б) ПАО1; (в), (г) ПАО2; (д), (е) ПАО3, 0.1 М фосфатный буферный раствор с рН 7.0, содержащий 0.1 моль/л NaNO3, –0.8 … 0.6 В, 0.15 В/с.
Вольтамперограммы электродов, покрытых ПАО1, ПАО2, ПАО3, после переноса в фосфатный буферный раствор и проведения стабилизации представлены на рис. 3. Редокс-пики покрытий ПАО2 и ПАО3 лучше выражены и разрешены по сравнению с покрытием ПАО1.
Рис. 3. Циклические вольтамперограммы покрытий ПАО1 (—), ПАО2 (–··), ПАО3 (····) после стабилизации по выбранной методике, 0.1 М фосфатный буферный раствор с рН 7.0, содержащий 0.1 моль/л NaNO3, –0.8 … 0.6 В, 0.15 В/с.
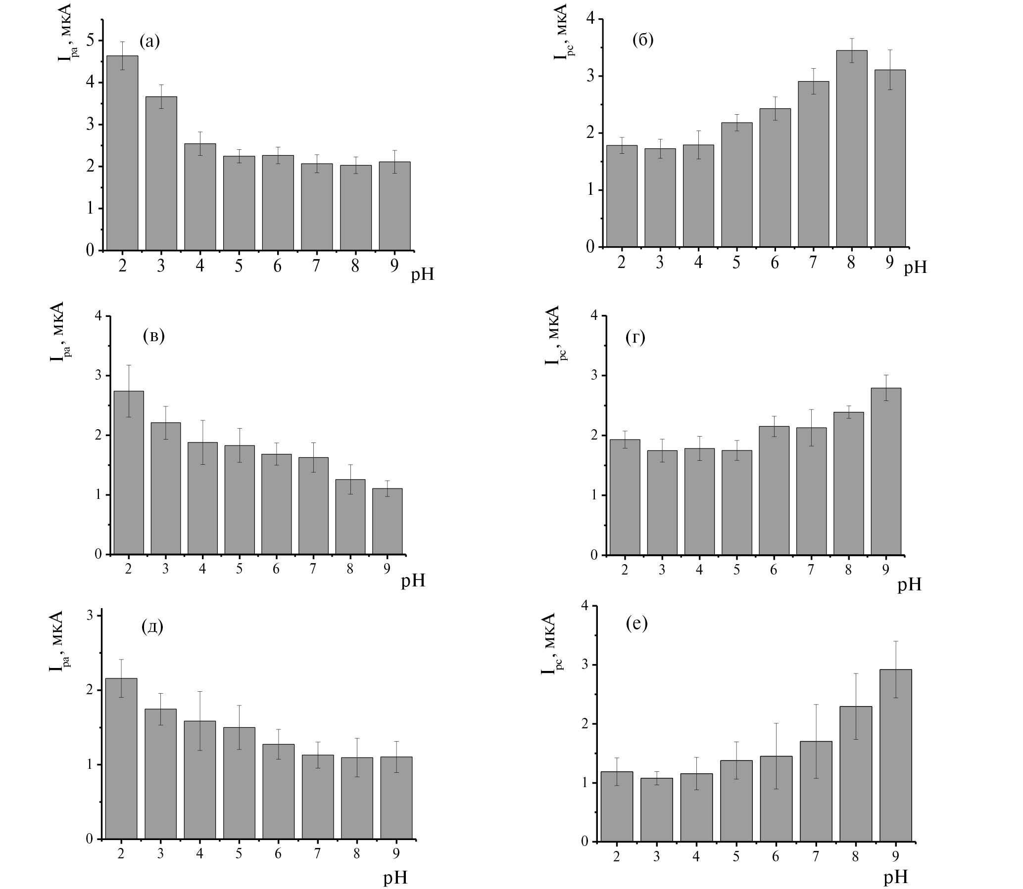
Для использования полученных покрытий в составе ДНК-сенсоров предварительно изучили рН-чувствительность регистрируемых пиков полимеров. В целом токи пиков окисления всех трех покрытий сначала снижались, а затем стабилизировались при переходе от кислых к щелочным средам. Для ПАО1 токи достаточно резко падали в диапазоне рН от 2 до 4, затем величина тока пика практически не менялась до рН 9. Для ПАО2 скорее характерно монотонное снижение токов с тенденцией к стабилизации в нейтральных и щелочных средах. Токи окисления ПАО2 несколько ниже по сравнению с токами ПАО1. Токи пика восстановления демонстрировали противоположный характер зависимости. Они не менялись в кислых и слабокислых средах и увеличивались при смещении в нейтральную и щелочную области (рис. 4). Для ПАО3 измерения в кислой среде сопровождались необратимой деградацией покрытия и резким снижением регистрируемых токов.
Рис. 4. рН-зависимость токов пиков окисления и восстановления для (a), (б) ПАО1; (в), (г) ПАО2; (д), (е) ПАО3, 0.1 М фосфатный буферный раствор, содержащий 0.1 моль/л NaNO3, рН 2.0–9.0, –0.8 … 0.6 В, 0.15 В/с.
Полусумму потенциалов пиков полимерного покрытия использовали в качестве оценки равновесного редокс-потенциала Em. Для ПАО1 наклон зависимости Еm–рН составил –92 ± 8 мВ/рН (рН 2–7), что превышало нернстовский наклон для переноса равного числа протонов и электронов в потенциалопределяющей стадии. Подобное превышение может быть связано с неравновесным характером процессов окисления-восстановления полимера. Для ПАО2 и ПАО3, полученных из ГЭР, потенциал Em линейно менялся во всем изученном диапазоне рН, наклоны зависимости составили 64 ± 1 и 61 ± 1 мВ/рН, соответственно, и соответствовали переносу равного числа протонов и электронов в электродной реакции.
Для установления природы лимитирующей стадии электродной реакции строили билогарифмическую зависимость тока пика от скорости сканирования потенциала. Для ПАО1 наклоны зависимости составили 0.86 для тока пика окисления и 0.85 для тока пика восстановления, что свидетельствовало о смешанном диффузионно-адсорбционном характере электродного процесса. При переходе от покрытия, синтезированного из фосфатного буферного раствора, к покрытию из релина наклоны билогарифмических зависимостей токов пиков окисления и восстановления повысились до 1.03 и 1.13, соответственно. Таким образом, на покрытии ПАО2 лимитирующая стадия электродного процесса имеет поверхностный характер. Зависимости, полученные на ПАО3, имели более сложный вид. При малых скоростях сканирования потенциала (0.01–0.1 В/с) тангенсы угла наклона составили 1.20 и 1.24, что свидетельствует об адсорбционном характере электродного процесса. При более высоких скоростях сканирования (0.1–0.5 В/с) эти значения снижались до 0.73 и 0.67 для окисления и восстановления, что говорит о значительном повышении вклада диффузионных процессов.
Коэффициенты переноса электрона α, рассчитанные по уравнениям Лавирона (1) и (2) для окисления и восстановления полимерных покрытий ПАО1–ПАО3, находились за пределами допустимых значений α, что связано с многоступенчатым и многоэлектронным характером электродных процессов:
, (1)
, (2)
где Epc и Ера – потенциалы пиков восстановления и окисления, E0’ – формальный стандартный редокс-потенциал, v – скорость сканирования потенциала, α – коэффициент переноса электронов, n – число электронов, участвующих в реакции, остальные обозначения имеют свои обычные значения.
Все полученные электрохимические параметры покрытий ПАО1, ПАО2 и ПАО3 представлены в табл. 1.
Таблица 1. Электрохимические параметры покрытий ПАО1, ПАО2 и ПАО3
I p | Наклон зависимости lgI – lgv | Линейный диапазон, В/с | R2 | Коэффициент переноса электрона | Наклон зависимости Ep – lgv | Линейный диапазон, В/с | |
ПАО1 | Ipa | 0.86 ± 0.04 | 0.01–0.5 | 0.979 | 1 – α = 2.1 | 0.019 ± 0.003 | 0.2–0.5 |
Ipc | 0. 85 ± 0.03 | 0.01–0.5 | 0.987 | α = 1.4 | –0.042 ± 0.006 | 0.01–0.04 | |
ПАО2 | Ipa | 1.03 ± 0.05 | 0.01–0.5 | 0.968 | – | – | – |
Ipc | 1.13 ± 0.08 | 0.01–0.5 | 0.943 | α = 3.69 | –0.016 ± 0.002 | 0.01–0.5 | |
ПАО3 | Ipa | 1.20 ± 0.05 | 0.01–0.1 | 0.992 | – | – | – |
0.73 ± 0.06 | 0.1–0.5 | 0.988 | |||||
Ipc | 1.24 ± 0.01 | 0.01–0.1 | 0.996 | α = 2.81 | –0.021 ± 0.001 | 0.08–0.5 | |
0.67 ± 0.01 | 0.1–0.5 | 0.988 | |||||
Включение ДНК в состав поверхностного слоя. Рабочий протокол включения биораспознающего элемента в состав модифицирующего слоя ДНК-сенсора должен обеспечивать эффективную иммобилизацию биополимера и его доступность для специфических взаимодействий. Иммобилизация нативной ДНК обычно приводит к снижению регистрируемых токов электроактивных полимерных покрытий, поскольку молекула биополимера имеет большие размеры и не является проводящей. Успешная физическая адсорбция биорецептора затрудняет электронный перенос через слой ДНК и, следовательно, снижает регистрируемые токи.
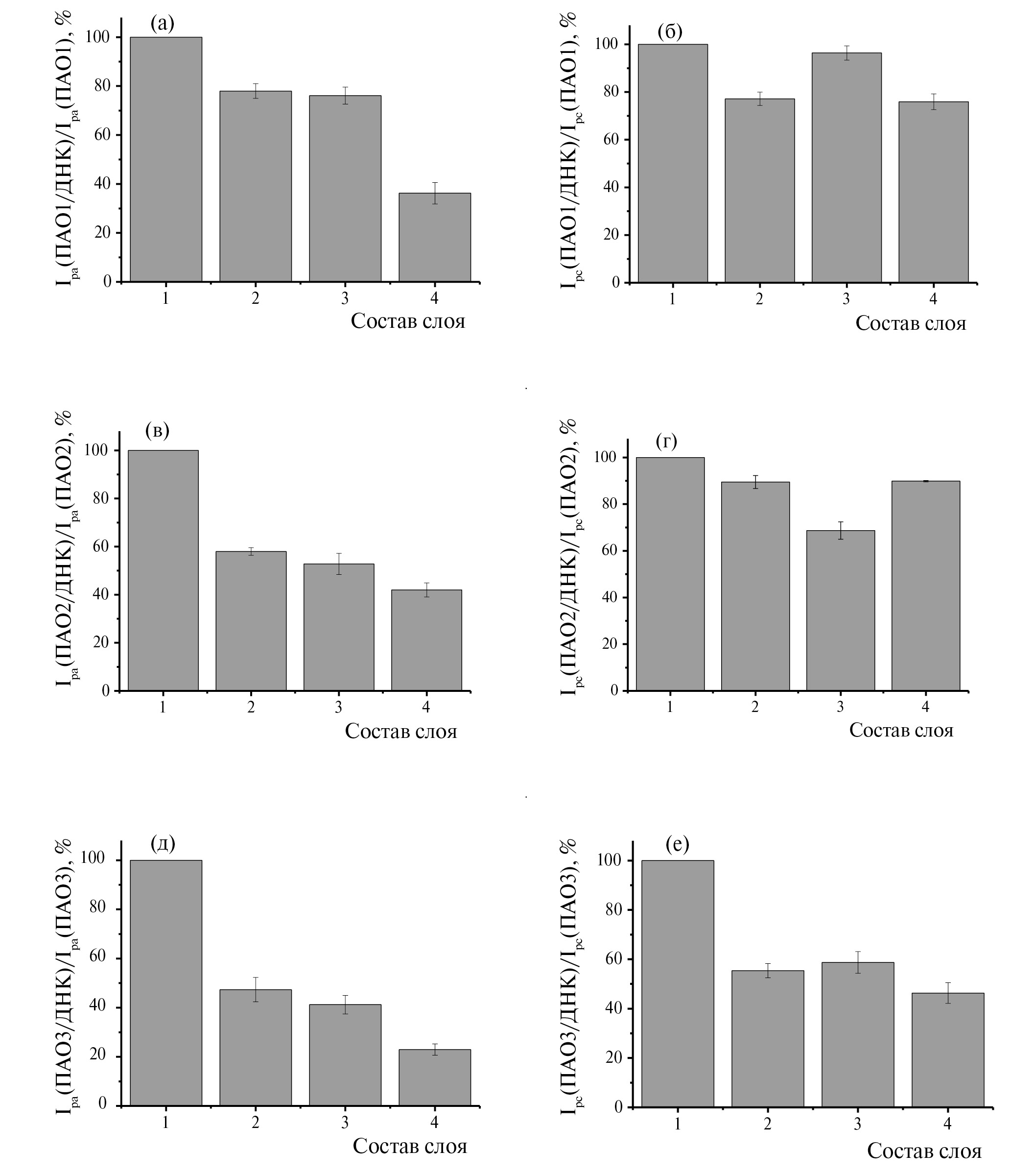
В данной работе для иммобилизации использовали капельное нанесение 2 мкл раствора, содержащего 1 мг/мл ДНК, с последующей физической иммобилизацией биополимера в слое за счет электростатических взаимодействий. Наносимый раствор либо высушивали на рабочей поверхности ПУЭ/ПАО1, ПУЭ/ПАО2 и ПУЭ/ПАО3, либо оставляли под пластиковой пробиркой Эппендорфа для предотвращения высыхания на 10–30 мин с последующей отмывкой деионизованной водой. До и после нанесения ДНК регистрировали циклическую вольтамперограмму в диапазоне –0.8 … 0.6 В при скорости сканирования 0.15 В/с в 0.1 М фосфатном буферном растворе с рН 7.0, содержащем 0.1 моль/л NaNO3. Контролировали изменение пары пиков полимерного покрытия ПАО1–ПАО3. Дополнительных сигналов, характерных для редокс-реакций нуклеотидов ДНК, на вольтамперограмме не наблюдали. Изменение сигнала сенсора после включения ДНК выражали в процентах относительно сигнала редокс-пары полимера без ДНК (рис. 5).
Рис. 5. Влияние способа включения ДНК из тимуса теленка в состав поверхностного слоя на сигнал. (а), (б): ПУЭ/ПАО1, (в), (г): ПУЭ/ПАО2, (д), (е): ПУЭ/ПАО3. Циклические вольамперограммы в диапазоне –0.8 В … 0.6 В, 0.15 В/с, 0.1 М фосфатный буферный раствор с рН 7.0, содержащий 0.1 моль/л NaNO3. Способ включения: 1 – покрытие без ДНК, 2 – высушивание, 3 – инкубирование 10 мин, 4 – 20 мин, 5 – 30 мин.
Сигнал сенсора на основе ПАО1 незначительно менялся при инкубировании в растворе ДНК. Максимальное снижение токов пиков в пределах 20–25% наблюдали при высушивании раствора ДНК на поверхности ПУЭ/ПАО1 (рис. 5а, б). Покрытия ПАО2 и ПАО3, полученные из ГЭР релина и глицелина, проявляли более высокую чувствительность к включению ДНК в состав модифицирующего слоя. Для сенсора на основе ПАО2 наибольшие изменения токов пика окисления происходили при инкубировании 1 мг/мл нативной ДНК в течение 10 мин. Токи пика восстановления ПАО2 оказались малочувствительными к включению ДНК любым из представленных способов (рис.5в, г). Токи пиков окисления ПАО3 снижались в присутствии ДНК примерно вдвое, независимо от выбранного способа иммобилизации биополимера. Токи пиков восстановления были минимальны при инкубировании в растворе ДНК в течение 20 мин (рис. 5д, е). В дальнейшем при сборке ДНК-сенсоров для регистрации повреждения ДНК использовали метод высушивания для ПУЭ/ПАО1, инкубирование в течение 10 мин для ПУЭ/ПАО2 и в течение 20 мин для ПУЭ/ПАО3.
Регистрация повреждения ДНК. Использовали термическую денатурацию ДНК и ее химическое окисление смесью Cu2+/H2O2 (схема (3) [31]). Взаимодействие компонентов окислительной смеси приводило к образованию гидроксидных радикалов, относящихся к активным формам кислорода и вызывающих повреждение нативной двухцепочечной структуры ДНК:
(3)
При термической денатурации ДНК происходило разрушение водородных и других типов связей между комплементарными цепями ДНК. Цепи частично расплетались и сворачивались в клубки. При иммобилизации денатурированной ДНК на поверхности электрополимеризованного покрытия подобные глобулы в целом занимали меньшую площадь электрода по сравнению со спиралью ДНК. Между глобулами оставались участки свободного полимера, что улучшало электронный обмен в пределах поверхностного слоя по сравнению с влиянием нативной ДНК. Химическое окисление биополимера могло приводить к разрыву основной цепи, окислению рибозных фрагментов и удалению части нуклеиновых оснований. При этом конформационная жесткость молекулы по сравнению с двухцепочечной нативной ДНК снижалась. Бóльшая гибкость молекулы поврежденной ДНК приводила к более плотному заполнению поверхности сенсора, что выражалось в заметном снижении редокс-токов ПАО.
Природа среды для электрополимеризации влияла на свойства полученных ДНК-сенсоров. На ПУЭ/ПАО1, где электрополимеризацию проводили из водной среды, по анодным токам пика можно было достоверно определить только факт химического окисления биополимера. В остальных случаях снижение анодного сигнала не превышало 20–25%, что осложняло его интерпретацию. Катодные токи пика были нечувствительны к денатурации ДНК, для нативной и окисленной форм ДНК они совпадали (рис. 6а, б). Переход от водных сред к ГЭР на стадии электрополимеризации АО повысил чувствительность биосенсоров к повреждению ДНК. Покрытия ПАО2 и ПАО3, синтезированные из ГЭР релина и глицелина, проявляли высокую чувствительность анодных токов пиков к включению всех изученных форм ДНК (рис. 6в–е). Покрытие ПАО3 позволяло достоверно отличить окисленную форму ДНК от нативной и термически денатурированной по токам пиков окисления полимерного покрытия. Токи пика восстановления ПАО3 и токи пика окисления ПАО2 малоинформативны. Катодный сигнал ПАО2 можно использовать для определения факта термической денатурации ДНК.
Рис. 6. Влияние включения различных форм ДНК из тимуса теленка в состав поверхностного слоя на сигнал (а), (б) ПУЭ/ПАО1, (в), (г) ПУЭ/ПАО2, (д), (е) ПУЭ/ПАО3. Циклические вольтамперограммы в диапазоне –0.8 В … 0.6 В, 0.15 В/с, 0.1 М фосфатный буферный раствор с рН 7.0, содержащий 0.1 моль/л NaNO3. Состав слоя: 1 – покрытие без ДНК, 2 – нативная ДНК, 3 – термически денатурированная ДНК, 4 – химически окисленная ДНК.
* * *
Таким образом, разработанные сенсоры на основе ПАО, синтезированного из водной среды и ГЭР, обладают различной чувствительностью к повреждению ДНК, что может быть использовано для установления факта такого повреждения при воздействии на ДНК различных химических и физических агентов. Подобные ДНК-сенсоры могут быть востребованы в контроле противораковых препаратов и оценке экотоксикантов, обладающих выраженным мутагенным действием, а также в медицине катастроф и в предварительном анализе продуктов пищевой промышленности.
ФИНАНСИРОВАНИЕ РАБОТЫ
Работа выполнена при поддержке Российского научного фонда (проект 23-13-00163, https://rscf.ru/project/23-13-00163/, дата обращения 18.06.2024).
КОНФЛИКТ ИНТЕРЕСОВ
Авторы данной работы заявляют об отсутствии конфликта интересов.
About the authors
А. V. Porfirieva
Kazan Federal University
Author for correspondence.
Email: porfireva-a@inbox.ru
Russian Federation, Kazan, 420008
Z. F. Khusnutdinova
Kazan Federal University
Email: porfireva-a@inbox.ru
Russian Federation, Kazan, 420008
G. A. Evtyugin
Kazan Federal University
Email: porfireva-a@inbox.ru
Russian Federation, Kazan, 420008
References
- Gunasekaran B.M., Srinivasan S., Ezhilan M., Nesakumar N. Nucleic acid-based electrochemical biosensors // Clin. Chim. Acta. 2024. V.559. Article 119715.
- Jampasa S., Jikul B., Kreangkaiwal C., Khamcharoen W., Jesadabundit W., Waiwinya W., et al. Multiple signaling probe-based ultrasensitive electrochemical DNA sensor integrated with NFC- enabled smartphone to diagnose leptospirosis // Sens. Actuators B. 2024. V. 406. Article 135411.
- Franchin L., Paccagnella A., Bonaldo S. Influence of surface passivation on Campylobacter jejuni specificity of an impedimetric genosensor for poultry infection monitoring in agri-food industry // IEEE Sens. Lett. 2024. P. 1.
- Lee J.-H., Oh B.-K., Choi J.-W. Electrochemical sensor based on direct electron transfer of HIV-1 Virus at Au nanoparticle modified ITO electrode // Biosens. Bioelectron. 2013. V. 49. P. 531.
- Mokni M., Tlili A., Khalij Y., Attia G., Zerrouki C., Hmida W., et al. Designing a simple electrochemical genosensor for the detection of urinary PCA3, a prostate cancer biomarker // Micromachines. 2024. V. 15. № 5. Article 602.
- Wang X., Shu G., Gao C., Yang Y., Xu Q., Tang M. Electrochemical biosensor based on functional composite nanofibers for detection of K-ras gene via multiple signal amplification strategy // Anal. Biochem. 2014. V.466. P. 51.
- Porfireva A., Begisheva E., Evtugyn V., Evtugyn G. Electrochemical DNA sensor for valrubicin detection based on poly (Azure C) films deposited from deep eutectic solvent // Biosensors. 2023. V. 13. № 10. Article 931.
- Goida A., Kuzin Y., Evtugyn V., Porfireva A., Evtugyn G., Hianik T. Electrochemical sensing of idarubicin —DNA interaction using electropolymerized Azure B and Methylene Blue mediation // Chemosensors. 2022. V. 10. № 1. Article 33.
- Goida A., Rogov A., Kuzin Y., Porfireva A., Evtugyn G. Impedimetric DNA sensors for epirubicin detection based on polythionine films electropolymerized from deep eutectic solvent // Sensors. 2023. V. 23. № 19. Article 8242.
- Kuzin Y., Kappo D., Porfireva A., Shurpik D., Stoikov I., Evtugyn G., Hianik T. Electrochemical DNA sensor based on carbon black — poly (Neutral Red) composite for detection of oxidative DNA damage // Sensors. 2018. V. 18. № 10. Article 3489.
- Güngör M.A., Alev O., Kaya H.K., Arslan L.Ç., Büyükköse S., Öztürk Z.Z., Kuralay F. Atomic layer deposited zinc oxide thin film on pencil graphite for DNA sensor applications // Mater. Today Commun. 2023. V. 36. Article 106776.
- Schmidt A., Liu M. Recent advances in the chemistry of acridines // Adv. Heterocycl. Chem. 2015. V. 115. P. 287.
- Vald és A.F.-C. Acridine and acridinones: old and new structures with antimalarial activity // Open Med. Chem. J. 2015. V. 5. P. 11.
- Réthy B., Zupk ó I., Minorics R., Hohmann J., Ocsovszki I., Falkay G. Investigation of cytotoxic activity on human cancer cell lines of arborinine and furanoacridones isolated from Ruta graveolens // Planta Med. 2007. V. 73. P. 41.
- Kusuzaki K., Murata H., Matsubara T., Satonaka H., Wakabayashi T., Matsumine A., Uchida A. Review. Acridine orange could be an innovative anticancer agent under photon energy // In Vivo. 2007. V. 21. P. 205.
- Johnson R.P., Richardson J.A., Brown T., Bartlett P.N. A label-free, electrochemical SERS-based assay for detection of DNA hybridization and discrimination of mutations // J. Am. Chem. Soc. 2012. V. 134. № 34. P. 14099.
- Işık H., Öztürk G., Ağın F., Kul D. Electroanalytical analysis of guaifenesin on poly (acridine orange) modified glassy carbon electrode and its determination in pharmaceuticals and serum samples // CCHT S. 2021. V. 24. P. 376.
- Agin F. Electrochemical determination of amoxicillin on a poly (acridine orange) modified glassy carbon electrode // Anal. Lett. 2016. V. 49. P. 1366.
- Kul D., Dogan-Topal B., Ozkan S.A., Uslu B. Poly (acridine orange)- modified glassy carbon electrodes: electrosynthesis, characterisation and sensor application with uric acid // J. Appl. Electrochem. 2014. V. 44. P. 831.
- Zhang Y. Voltammetric behavior of dobutamine at poly (acridine orange) film modified electrode and its determination by adsorptive stripping voltammetry // Anal. Lett. 2004. V. 37. P. 2031.
- Zhang Y., Ma Z. Electrochemical behavior of hydroquinone at poly (acridine orange)– modified electrode and its separate detection in the presence of o- hydroquinone and m‐ hydroquinone // Anal. Lett. 2006. V. 39. P. 1289.
- Zhang Y., Zhuang H. Poly (acridine orange) film modified electrode for the determination 1- naphthol in the presence of 2- naphthol // Electrochim. Acta. 2009. V. 54. P. 7364.
- Sun W., Wang Y., Gong S., Cheng Y., Shi F., Sun Z. Application of poly(acridine orange) and graphene modified carbon/ionic liquid paste electrode for the sensitive electrochemical detection of rutin. // Electrochim Acta. 2013. V. 109. P. 298.
- Wang Z., Xia J., Zhu L., Zhang F., Guo X., Li Y., Xia Y. The fabrication of poly (acridine orange)/graphene modified electrode with electrolysis micelle disruption method for selective determination of uric acid // Sens. Actuators B. 2012. V. 161. P. 131.
- Tkach V.V., De Oliveira S.C., Kushnir M.V., Brazhko O.A., Briosa e Gala H., Luganska O.V., Yagodynets ´ P. I. A descrição matemática do desempenho eletroanalítico do compósito poli(alaranjado da acridina)-oxihidróxido de vanádio na detecção eletrorredutiva da entacapone // Rev. Colomb. Cienc. Quím. Farm. 2019. V 48. № 2. P. 455.
- Dalkiran B., Brett C.M. A. Polyphenazine and polytriphenylmethane redox polymer / nanomaterial – based electrochemical sensors and biosensors: a review // Microchim. Acta. 2021. V. 188. Article 178.
- Schlereth D.D., Karyakin A.A. Electropolymerization of phenothiazine, phenoxazine and phenazine derivatives: Characterization of the polymers by UV-visible difference spectroelectrochemistry and Fourier transform IR spectroscopy // J. Electroanal. Chem. 1995. V. 395. P. 221.
- Porfireva A.V., Goida A.I., Rogov A.M., Evtugyn G.A. Impedimetric DNA sensor based on poly(proflavine) for determination of anthracycline drugs // Electroanalysis. 2020. V. 32. № 4. P. 827.
- Porfireva A., Subjakova V., Evtugyn G., Hianik T. Electrochemical DNA sensors based on nanomaterials for pharmaceutical determination / Nanosensors / Eds. Nikolelis D., Nikoleli G.P. Boca Raton: CRC Press, 2023. P. 23.
- Alabdullah S.S. M., Ismail H.K., Ryder K.S., Abbott A.P. Evidence supporting an emulsion polymerisation mechanism for the formation of polyaniline // Electrochim. Acta. 2020. V. 354. Article 136737.
- Stoewe R.; Prütz W.A. Copper-catalyzed DNA damage by ascorbate and hydrogen peroxide: Kinetics and yield // Free Radic. Biol. Med. 1987. V. 3. P. 97.
Supplementary files








