Fluorescent azolotriazines-based test systems based for the diagnosis of endometritis in cows on site conditions
- Authors: Kuchmenko T.A.1,2, Vandyshev D.Y.3, Skorikov V.N.4, Umarkhanov R.U.1, Shikhaliev H.S.3, Seredin P.V.4, Yagov V.V.2, Mikhalev V.I.4
-
Affiliations:
- Voronezhsky State University of Engineering Technologies
- Vernadsky Institute of Geochemistry and Analytical Chemistry of the Russian Academy of Sciences
- Voronezh State University
- Russian Scientific Research Veterinary Institute of Pathology, Pharmacology and Therapy
- Issue: Vol 79, No 9 (2024)
- Pages: 971-987
- Section: ORIGINAL ARTICLES
- Submitted: 23.02.2025
- Accepted: 23.02.2025
- URL: https://ogarev-online.ru/0044-4502/article/view/281160
- DOI: https://doi.org/10.31857/S0044450224090032
- EDN: https://elibrary.ru/tiyfbl
- ID: 281160
Cite item
Full Text
Abstract
The results of an experiment on testing the possibility of using solutions of 6-oxo-2-phenylimidazo[1,2-b]pyrido[4,3-e][1,2,4]triazine-7(6H)-yl)acetic acid on tablets and cellulose carriers to register the excessive, relatively biologically normal, content of volatile organic compounds that accompany inflammation of the endometrium have been considered. The fluorescent properties of the dye were studied using gynecological mucus of cows taken at different periods (before and after parturition) and nasal mucus of newborn calves. The response of the test systems was compared with clinically established diagnoses of cows and the results of microbiological studies. False-positive (no more than 11%) and false-negative (2%) responses, other characteristics (specificity, correctness, precision) of test systems based on 6-oxo-2-phenylimidazo[1,2-b]pyrido[4,3-e][1,2,4]triazin-7(6H)yl) acetic acid were evaluated. The possibility of using this fluorophore for the express diagnosis of endometritis inflammation in cows in the “on-site” mode is considered.
Keywords
Full Text
Производственная реализация генетического потенциала высокопродуктивных коров сдерживается рядом факторов. Среди них наиболее актуальной общемировой проблемой является снижение плодовитости и долголетия животных по причине воспалительных заболеваний матки (метритов), развивающихся в послеродовый период. В высокопродуктивных стадах они регистрируются у 30–70% и более животных, приводят к большим экономическим потерям, связанным с расстройством репродуктивной функции, лактации и большими затратами на лечение [1–5].
В настоящее время послеродовый метрит рассматривается как типичная факторная инфекционная патология [6–8]. Развитие воспалительного процесса в матке животных после родов связанно с инфицированием родовых путей ассоциациями различных патогенных и потенциально патогенных микроорганизмов, которые нередко (в 75% случаев) сочетаются с грибами рода Candida, Mucor, Aspergillus [6, 7, 9, 10]. При этом тяжесть протекания заболевания связана не только с патогенной и условно патогенной микрофлорой, но и с токсичными продуктами ее жизнедеятельности, вызывающими расстройство иммунных и обменных процессов в тканях матки. Инфекционная патология не ограничивается только коровами. При микробиологическом исследовании из верхних отделов респираторного тракта новорожденных телят выделена идентичная микрофлора, изолированная от заболевших послеродовым метритом коров, что способствует развитию респираторных заболеваний молодняка [11]. Это, в свою очередь, приводит к снижению выживаемости телят и также требует затрат на лечение и контроль над их состоянием.
В результате многочисленных исследований удалось создать теоретическую основу, разработать меры профилактики и борьбы с данным заболеванием. Для предотвращения потерь поголовья животных важное место отводят диагностическим методам и их возможностям. Основными методами диагностики острых послеродовых метритов считаются клинико-акушерский [12, 13], ультразвуковой [1, 12, 13], гистологический и цитологический [13]. Данные методы являются точными, однако они применяются на поздних послеродовых сроках. Кроме того, они дорогостоящие, требуют высокой квалификации специалистов и больших затрат времени, недостаточно технологичны в условиях хозяйств. Отбор образцов для проведения биопсии отрицательно влияет на фертильность коров [13], поэтому в настоящее время гистологический и цитологический методы не находят широкого применения на практике для диагностики воспалительных заболеваний матки у коров в режимах “на месте” и “реального времени”. В большинстве случаев применяется клиническое обследование, которое не всегда информативно в первые дни после родов, весьма трудоемкое и продолжительное по времени.
Совершенствование существующих алгоритмов, разработка новых методов прогнозирования и ранней диагностики острых послеродовых метритов у коров – важное направление исследований, которые будут способствовать решению данной проблемы. Необходима разработка диагностического оборудования и других средств, с помощью которых можно неинвазивно, быстро и с высокой точностью поставить диагноз, оценить терапевтическую эффективность и риски возникновения инфекционной патологии.
Наиболее перспективным и малоизученным подходом к решению такого рода задач является применение простых и чувствительных тест-систем для полевого анализа на основе флуоресцентных зондов. Способ основан на измерении интенсивности флуоресценции молекул-зондов в малом объеме биологических сред. Тщательный анализ литературы и патентный поиск информации по ранней диагностике послеродовых эндометритов с применением таких систем не дал результатов, систематические исследования отсутствуют.
В качестве флуорофоров при разработке полевых тест-систем актуально применение органических агентов, в частности азолотриазинов, которые имеют ярко выраженную и стабильную люминесценцию [14–16]. Что касается люминесцентных свойств, среди возможных комбинаций триазинового и азольных циклов в молекуле биофлуорофора представляют интерес имидазо[1, 2-b][1, 2, 4]триазины. Люминесценция имидазотриазинов в зависимости от природы среды и ее биоактивности хорошо изучена, поэтому их применяют в качестве флуоресцентных зондов для различных биомедицинских приложений [17–20]. Недостатком имидазотриазиновых красителей, в отличие от линейно связанных аналогов [21, 22], является низкая интенсивность аналитического сигнала [23–25]. Для решения этой проблемы в структуру таких флуорофоров вводят различные электроноакцепторные функциональные группы и/или дополнительное пиридиновое кольцо [26, 27]. Предварительные испытания на модельных биообъектах [28] показали, что такие красители демонстрируют максимальный аналитический отклик по сравнению со своими предшественниками.
Цель настоящей работы – разработка способа выявления воспалений эндометрия у коров в режиме “на месте” по результатам тест-анализа слизи с визуальной детекцией флуоресценции органического флуорофора.
Задачи пилотного эксперимента заключались в следующем:
– тестировании флуоресцентных красителей, содержащих остов азолотриазинов, на модельных растворах и парах летучих органических соединений (ЛОС) – маркерах воспаления;
– выборе оптимального флуорофора для последующих испытаний на цервикальной слизи коров и носовых выделений телят;
– поиске оптимальных носителей реагента для применения в виде раствора (планшет) и без растворителя (бумажные полоски, тупфер);
– оценке селективности, чувствительности тест-систем на основе органического флуорофора к продуктам измененного метаболизма в матке коров, связанного с развитием заболевания, представленным летучими органическими соединениями (амины, кислоты, кетоны, спирты);
– установлении корреляции между типом (тушение, усиление, изменение длины волны свечения) и интенсивностью аналитического сигнала флуорофора в цервикальной слизи коров и наличием, выраженностью воспаления у них эндометрия;
– оценке правильности предсказания состояния эндометрия у коров по результатам применения тест-систем на основе предложенного флуорофора в полевых условиях, в том числе в разные периоды после родов, на ограниченной группе животных;
– оценке возможности применения тест-систем для мониторинга биологической обсемененности носоглотки новорожденных телят от изученной группы коров.
ЭКСПЕРИМЕНТАЛЬНАЯ ЧАСТЬ
Флуорофоры. В качестве потенциальных аналитических реагентов изучали содержащие фрагмент имидазо[1, 2-b][1, 2, 4]триазина соединения Z1–Z4, ключевые характеристики которых представлены в табл. 1. Синтез реагентов проводили по ранее описанной методике [26]. Для последующих испытаний красителей готовили их растворы в пропаноле-2 и хлороформе с концентрацией реагента 1 мг/см3.
Таблица 1. Исследуемые органические флуорофоры на основе имидазотриазинов
Структура и название по правилам ИЮПАК | Маркировка | Молярная масса, г/моль | Максимум поглощения, нм* |
2-(6-Оксо-2-фенилимидазо[1, 2-b]пиридо[4,3-e][1, 2, 4]триазин-7(6H)-ил)уксусная кислота | Z1 | 321 | 372 496 |
2-(6-Оксо-2-фенилимидазо[1, 2-b]пиридо[4,3-e][1, 2, 4]триазин-7(6H)-ил)янтарная кислота | Z2 | 379 | 374 494 |
2-(6-Оксо-2-фенилимидазо[1, 2-b]пиридо[4,3-e][1, 2, 4]триазин-7(6H)-ил)этансульфоновая кислота | Z3 | 371 | 379 504 |
3-Метил-6-фенилимидазо[1, 2-b][1, 2, 4]триазин-2-карбоновая кислота | Z4 | 254 | 361 523 |
*Данные получены при анализе растворов красителей в диметилформамиде (с = 1 × 10–5 мг/см3).
В ходе предварительного эксперимента установили, что выбранные реагенты облдают различными люминесцентными и другими физическими свойствами, несмотря на их структурное подобие. Для аналитического применения необходимо было выбрать реагент с улучшенными свойствами, который сохраняет свои характеристики в различных средах и в различных матрицах, а также позволяет наблюдать их значительные изменения при взаимодействии с аналитами. Особенно важно, чтобы эти изменения могли фиксироваться визуально.
Тест-вещества. Оценили возможность взаимодействия флуорофоров с водными растворами ЛОС и изменения при этом их спектральных свойств. Для каждого ЛОС готовили растворы на двух уровнях концентраций: граница нормы (низкие концентрации Х) и заболевания (высокие концентрации Х*), которые выбирали индивидуально [29–40]. В качестве широко распространенных биомаркеров воспаления выбрали тест-вещества из рядов кетонов, карбоновых кислот и аминов х. ч. (ООО “ХромЛаб”, ГК “ЭКРОС”, Россия; маркировка веществ в исследовании представлена в табл. 2).
Таблица 2. Летучие органические тест-вещества (биомаркеры патологии)
Тест-вещество | Маркировка | |
Кетоны | Ацетон | J |
Бутан-2,3-дион | E | |
Циклогексанон | K | |
Карбоновые кислоты | Пропионовая | C |
Масляная | F | |
Молочная | G | |
Уксусная | N | |
3-Фенилмолочная | M | |
Амины | Этаноламин | H |
Дипропиламин | P | |
Бутиламин | A | |
Изобутиламин | L | |
Циклопентиламин | O | |
Триэтиламин | D | |
Морфолин | B | |
Аммиак | Q | |
Методы исследования. Растворы красителей исследовали в ВГУ и ГЕОХИ РАН с использованием стандартных методик абсорбционной, ИК- и люминесцентной спектроскопии с помощью спектрофотометра USB2000+ (OceanOptics, США). Спектры фотолюминесценции получали с помощью автоматического спектрального комплекса с монохроматором МДР-4 (ЛОМО, Россия), оснащенного приемником ФЭУ R928P (Hamamatsu, Япония) и фотодиодом PDF10C/M (Thorlabs Inc., США).
Визуальную флуориметрию на планшетах с оцифровкой результатов взаимодействия флуоресцентных зондов Z1–Z4 и тест-веществ проводили при естественном освещении и на денситометре ДенСкан (ООО “НЦ “Ленхром”, Россия) при двух длинах волн возбуждения (365, 254 нм). Планшеты формировали по единой схеме добавления веществ с двукратным повторением (рис. 1). Для веществ с явным или сомнительным аналитическим откликом лунки дополнительно повторяли.
Рис. 1. Схема добавления растворов тест-веществ разной концентрации к раствору исследуемого флуорофора. Звездочкой отмечены системы, в которых применяли растворы с высокими концентрациями веществ (Х*).
Флуоресценцию на целлюлозных носителях изучали визуально и с помощью лазера, спектры регистрировали на спектрометре Maya 2000 Pro (OceanOptics, США). Такой вариант оценки эффекта взаимодействия флуоресцентных зондов и тест-веществ наиболее информативен, так как позволяет изучить реакцию реагента на носителе любой природы и паров тест-веществ с исключением влияния растворителей.
Характеристика биопроб. Отбор проб цервикально-вагинальных выделений и маточного экссудата проводили по методу, описанному в работе [41], с применением стерильных зондов-тампонов и акушерской ложки Панкова. Биопробы после отбора помещали в стерильные пробирки. В обучающей и проверочной выборке участвовало 27 новотельных животных. Каждое животное исследовали не менее трех раз в периоды до, 3, 6, 18 дней после отела.
Биопробы животных параллельно анализировали на содержание микроорганизмов (E. coli, Actinomycespyogenes, Staph. aureus, Staph. epidermidis, Pr. Vulgaris, Fusobacteriumnecroforum, Actinomycespyogenes, Staph. epidermidis, Bacillussubtilis, Staph. saprophyticus, Bacilluslicheniformis, а также микроскопические грибы).
Отобранные животные имели разный микробиоценоз. Эти признаки, наряду с клиническими признаками состояния животных в выборке, положены в основу деления их на группы “норма”/“эндометрит”. В группу “эндометрит” входили животные и биопробы от них с явными, сомнительными признаками заболевания, а также биопробы коров после пролечивания (хроническая форма).
Пробы носовой слизи телят (n = 4) отбирали стерильными ватными тампонами, которые помещали в носовые ходы телят, 5-тикратными круговыми движениями аккуратно проворачивали и помещали в стерильные пробирки. Пробы у телят отбирали однократно, через 1–3 дня после рождения.
Методика применения тест-систем для анализа биопроб. Диагностика воспаления у коров и оценка состояния микрофлоры в носовой слизи телят в режиме “на месте” с применением оптимального флуорофора включала отбор 5–10 мл цервикальной слизи у коровы, помещение ее в стерильную пробирку, добавление 3–5 мл воды, встряхивание и погружение в раствор тест-системы различной природы, пропитанной хлороформным раствором реагента. Систему выдерживали 2–5 с и визуально, в условиях естественного освещения и при использовании портативной УФ-лампы с длиной волны 365 нм (Раритет Интернешнл, Россия) регистрировали изменения интенсивности и окраски реагентной зоны по сравнению с исходным (нулевым) состояниям реагента. Если интенсивность окраски реагента уменьшается или исчезает при естественном освещении, а при освещении тест-системы УФ-светом с длиной волны 356 нм в биопробе появляется зеленая флуоресценция, то отклик тест-системы считали положительным, фиксировали наличие или развитие воспаления в матке и эндометрита. Интенсивность изменения связывали с выраженностью воспаления [42]. Пробы из обучающей и проверочной групп тестировали в лунках (после разбавления дистиллированной водой) и с применением тупферов, а также для проверки правильности принятия решения добавляли раствор реагента в смыв этих же биопроб, предварительно отобранный после добавления воды. Для отдельной группы проб (отобраны в один день) проверяли возможность оценки состояния не только добавлением раствора реагента к смыву в лунках, но и параллельно с применением тупферов (№№ проб 100, 4918, 4648, 5068, 2238, 4768).
РЕЗУЛЬТАТЫ И ИХ ОБСУЖДЕНИЕ
Последние достижения в области аналитических технологий, направленных на распознавание и определение ЛОС в матрицах человека и животных, включая выдыхаемый воздух, мочу, слюну, кровь, фекалии, пот, сперму, выдох кожи [30–40, 43–45] вызывают растущий интерес в связи с информативностью ЛОС для ранней диагностики, скрининга и мониторинга многих заболеваний и состояний [45–47]. Являясь конечными продуктами клеточного метаболизма, ЛОС могут предоставлять информацию о состоянии внутриклеточного обмена веществ. Помимо этого известно, что микроорганизмы, участвующие в патогенезе большинства воспалительных заболеваний, способны синтезировать большое количество летучих и среднелетучих соединений, относящихся в основном к органическим соединениям.
Для исследования профиля ЛОС применяют хромато-масс-спектрометрию, обеспечивающую эффективное разделение компонентов сложной смеси, их идентификацию и оценку относительного содержания. Благодаря этому методу сформированы базы данных идентифицированных легколетучих (ЛОС) и среднелетучих (СЛОС) органических соединений (например, база mVOC 3.0 database: https://bioinformatics.charite.de/mvoc/). База включает свыше 2000 соединений, выделяемых различными видами микроорганизмов (бактериями и грибами) [48, 49], а также образующихся в ходе различных заболеваний [47, 48, 50–57]. Так, среди маркерных ЛОС/СЛОС преобладают алкены, спирты, кетоны, терпены, бензоиды, пиразины, кислоты, сложные эфиры, амины и серосодержащие производные [48, 49, 58–60]. При выборе целевых аналитов или их смесей при постановке эксперимента учитывали, что многие ЛОС являются нативными и присутствуют в биопробах в нормальном, здоровом состоянии животных и людей. Для таких веществ важным критерием оценки патогенности является их концентрация.
На первом этапе работы изучали микробиоту цервикально-вагинальной слизи и экссудата животных, отобранных по клиническим признакам в группы “норма (отсутствие эндометрита)” и “эндометрит” (табл. 3). Установили, что у коров с физиологическим течением послеродового периода степень микробной контаминации достоверно ниже более чем в 3.3 раза (Р < 0.001) по сравнению с заболевшими послеродовым метритом животными. У здоровых животных из цервикально-вагинального секрета изолированы лактобактерии в 100%, бифидобактерии в 80% случаев. Это в 4.0–5.0 раз (Р < 0.001) превышает аналогичные показатели для биопроб от заболевших коров и указывает на высокий уровень биологической защиты репродуктивного тракта животных из группы “норма”. Также у здоровых животных изолировали Bacillussubtilis, Staph. Saprophyticus, Bacilluslicheniformis. У животных с акушерской патологией из маточного экссудата изолировали E. coli, Actinomycespyogenes, Staph. aureus, Staph. epidermidis, Pr. Vulgaris, Fusobacterium necroforum, Actinomyces pyogenes, Bacillus subtilis, Staph. saprophyticus, Bacillus licheniformis, а также микроскопические грибы. На основании комбинаций микроорганизмов и биохимических процессов, участвующих в формировании воспаления эндометрия, а также данных [47–57] для дальнейших испытаний выбрали основные патогенные ЛОС. Среди них доминируют аммиак и низкомолекулярные амины.
Таблица 3. Результаты микробиологических исследований коров с физиологическим и патологическим течением послеродового периода
Проба | Отбор пробы после отела | Микробиология | Степень микробной контаминации, КОЕ/мл секрета | Предварительный диагноз / группа |
100 | Через 2 недели после отела | Лактобактерии и бифидобактерии не выделены. Изолированы E. coli, Actinomyces pyogenes, Staph. aureus | 2470.0 | Эндометрит/ “эндометрит” |
4918 | Через 2 недели после отела | Выделены лактобактерии и бифидобактерии. Изолированы Staph. epidermidis, Staph. Saprophyticus и Bacillus licheniformis | 738.0 | Здорова/ “норма” |
4648 | Через 1.5 недели после отела | Выделены лактобактерии и бифидобактерии. Изолированы Staph. Epidermidis и Bacillussubtilis | 625.0 | Здорова/ “норма” |
5068 | Через 1.5 недели после отела | Лактобактерии и бифидобактерии выделены в незначительных количествах. Изолированы E. coli, Proteusvulgaris, Staph.aureus, микроскопические и дрожжеподобные грибы | 1470.0 | Здорова/ “норма” |
2238 | Через 1.5 недели после отела | Лактобактерии и бифидобактерии не выделены. Изолированы E. coli, Fusobacteriumnecroforum, Staph.aureus, Miсoplasmabovis, микроскопические грибы | 2520.0 | Эндометрит/ “эндометрит” |
4768 | Через 1.5 недели после отела | Лактобактерии и бифидобактерии выделены в незначительных количествах. Изолированы E. Coli, Actinomycespyogenes, микроскопические грибы | 2720.0 | Эндометрит/ “эндометрит” |
Выбор оптимального флуорофора. Выбор группы потенциальных флуорофоров для решения поставленных задач основан на результатах предшествующих исследований, в ходе которых были проанализированы различные производные азолотриазинов [26, 28]. Ключевыми факторами отбора являлись простота и надежность визуальной детекции аналитического сигнала, зависящие от люминесцентных свойств реагентов. Установили, что системы, содержащие остов пиразоло- и триазолотриазинов, характеризуются наличием максимумов поглощения в коротковолновой области спектра (190–200 нм), поэтому их применение ограничено для создания визуальных тест-систем доклинической диагностики в полевых условиях. Помимо этого, независимо от растворителей растворы таких красителей подвергаются флуоресцентной деградации, зависящей от способа и времени хранения. В то же время растворы производных имидазолотриазинов характеризуются несколькими максимумами поглощения в диапазоне длин волн 361–504 нм, отличаются высокими фотостабильностью при хранении, интенсивностью люминесценции и выраженностью аналитического отклика. Дальнейшее математическое моделирование их взаимодействия с биоматриксом и ЛОС позволило выделить четыре лидерные структуры для целей неинвазивной доклинической диагностики Z1–Z4 [26, 28].
Для проверки возможности применения выбранных реагентов для решения задачи неинвазивной доклинической диагностики эндометрита провели серию экспериментов по изучению интенсивности их люминесценции на различных носителях и в 96-канальных иммунохроматографических планшетах.
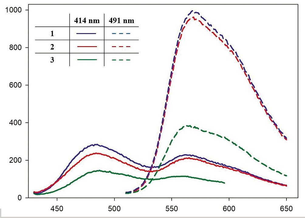
Исследуемые реагенты (табл. 1) проявляют свойства флуоресцентных кислотно-основных индикаторов. Однако результаты промежуточных тестов показали, что их флуоресценция значительно подавляется 60 мМ HCl со смещением максимума поглощения с 568 до 562 нм (рис. 2). В то же время растворы аммиака аналогичной концентрации незначительно повышают интенсивность флуоресценции реагентов, что говорит об антагонистическом характере откликов реагента на кислоты и основания. Полученные результаты позволили оценить возможность раздельной классификации аналитического отклика выбранных флуоресцентных реагентов в присутствии органических кислот или оснований в биопробах. Выдвинута гипотеза о том, что при воспалении (эндометрит) биопробы содержат большое количество аминов, что приводит в соответствии с предварительными исследованиями к увеличению интенсивности флуоресценции при применении этих реагентов в смывах биопроб. Другие процессы и микроорганизмы могут повышать кислотность биопроб (грибы), что приведет к тушению флуоресценции вплоть до полного обесцвечивания тест-системы в водной вытяжке. Для подтверждения этой гипотезы далее проводили эксперимент со стандартными растворами тест-веществ.
Рис. 2. Фотолюминесценция (на примере реагента Z1) в воде без добавок (1), с добавлением 14 мМ раствора аммиака (2) и 60 мМ HCl (3).
Так как биопробы представляют собой сложную систему с большим содержанием воды, далее визуально оценивали аналитический отклик растворов органических флуорофоров Z1–Z4 в присутствии тест-веществ на планшете. К растворам реагентов добавляли водные растворы тест-веществ минимальной (физиологическая норма) и максимальной (не норма) концентраций. Примеры планшетов представлены на рис. 3. За аналитический сигнал принимали любые видимые при естественном освещении, при 365 и 254 нм изменения в лунках: подавление, усиление флуоресценции или изменение окраски.
Рис. 3. Примеры фото планшетов при нагрузке растворов органических реагентов тест-веществами при УФ-освещении с длиной волны 365 нм.
Результаты планшетного тестирования взаимодействия флуорофоров с тест-веществами представлены в табл. 4. Для всех исследуемых красителей наблюдается частичное или полное тушение флуоресценции (эмиссии) красителей в чистой воде, что может быть объяснено коллизией молекул гидрофобных зондов.
Таблица 4. Результаты планшетного тестирования органических реагентов
Тест-вещество | Аналитический отклик | |||||||
Z1 | Z2 | Z3 | Z4 | |||||
VL | 365 нм | VL | 365 нм | VL | 365 нм | VL | 365 нм | |
H2O | 0 | ↓ | 0 | ↓ | 0 | ↓ | ● | ↓ |
Ацетон | 0 | 0 | 0 | ↓ | 0 | ↓ | ● | ↑ |
Бутан-2,3-дион | 0 | ↓ | 0 | ↓ | 0 | ↓ | ● | ↓ |
Циклогексанон | 0 | 0 | 0 | ↓ | 0 | ↑ | ● | ↑ |
Пропионовая кислота | 0 | 0 | 0 | ↓ | 0 | ↓ | ● | ↓ |
Масляная кислота | 0 | 0 | 0 | ↓ | 0 | ↓ | ● | 0 |
Молочная кислота | 0 | 0 | 0 | ↓ | 0 | ↑ | ● | ↑ |
Уксусная кислота | 0 | ↑ | 0 | ↓ | 0 | ↑ | ● | ↑ |
3-Фенилмолочная кислота | 0 | ↓ | 0 | ↓ | 0 | ↓ | ● | 0 |
Этаноламин | ● | ↑ | 0 | ↓ | 0 | ↓ | ● | 0 |
Дипропиламин | ● | ↓ | 0 | ↓ | 0 | ↓ | ● | 0 |
Бутиламин | ● | ↑ | ● | ↓ | 0 | ↓ | ● | ↓ |
Изобутиламин | ● | ↑ | 0 | ↑ | 0 | ↓ | ● | 0 |
Циклопентиламин | ● | ↑ | 0 | ↓ | 0 | ↓ | ● | 0 |
Триэтиламин | ● | 0 | 0 | ↓ | 0 | ↓ | ● | ↓ |
Морфолин | ● | ↑ | 0 | ↓ | 0 | ↑ | ● | ↓ |
Аммиак | ● | ↑ | 0 | ↓ | 0 | ↓ | ● | ↑ |
*VL – видимый свет, ↑ – усиление люминесценции, ↓ – тушение флуоресценции, 0 – нет изменений, ● – изменение интенсивности окраски.
На основании полученных результатов выбрали 6-оксо-2-фенилимидазо[1, 2-b]пиридо[4,3-е][1, 2, 4]триазин-7(6Н)-ил)уксусную кислоту (Z1) как наиболее эффективный флуорофор для планшетных тест-систем. При этом карбоксильная группа в молекуле реагента обеспечивает селективное и обратимое связывание с азотсодержащими аналитами. Это приводит к изменению интенсивности окраски флуорофора не только в УФ-области, но и при естественном освещении, что позволяет говорить об универсальном способе оценки изменений в тест-системах на их основе: при естественном и УФ-освещении. Эта особенность важна для обеспечения возможности экспрессного применения тест-систем в полевых условиях.
Увеличение интенсивности люминесценции соединения Z1 в водных растворах аналитов, возможно, связано с принадлежностью его к группе молекулярных роторов (рис. 4). При этом повышение рН способствует образованию водородных связей между карбонильной группой и метиленовыми протонами, замедляя вращение фрагмента аминоуксусной кислоты. Кроме того, слабощелочная среда способствует ионизации молекул красителя и изменению межмолекулярных взаимодействий с молекулами воды и ЛОС. В то же время в кислой среде за счет уменьшения вероятности образования водородных связей происходит изменение конформации.
Рис. 4. Конформационная динамика 6-оксо-2-фенилимидазо[1, 2-b]пиридо[4,3-е][1, 2, 4]триазин-7(6Н)-ил)уксусной кислоты.
Несмотря на простоту и наглядность, применение планшетов в полевых условиях не является оптимальным, поэтому оценили возможность переноса флуорофора на целлюлозные планарные носители (бумажные тест-полоски) и тупферы. Для этого равные объемы хлороформного раствора Z1 наносили на целлюлозную подложку, обмакивали тупферы в раствор на 2 с и высушивали при комнатной температуре. Изменение интенсивности люминесценции оценивали визуально при активации системы УФ-лампой с длиной волны 365 нм и твердотельным лазером. Установили, что на целлюлозных носителях в парах приоритетных для воспаления ЛОС наблюдается инверсия аналитического отклика (рис. 5) по сравнению с системами на основе растворов (планшетные тесты). Происходит постепенное снижение интенсивности люминесценции вплоть до полного тушения при взаимодействии аммиака, аминов с выбранным реагентом (рис. 5а). При естественном освещении фиксировали аналогичную инверсию аналитического отклика (рис. 5б). Полученные результаты согласуются с результатами фотолюминесцентного анализа бумажных тест-полосок (рис. 5в). Подобное поведение вызвано возможной абсорбцией части света целлюлозным носителем, снижением “подвижности” красителя вне растворителя и, как следствие, снижением эффективности перехода электронов в возбужденное состояние.
Рис. 5. Поведение Z1 на тупферах при УФ-освещении с длиной волны 365 нм (а), естественном освещении (б) и его фотолюминесценция на бумажных тест-полосках под действием твердотельного лазера с длиной волны 405 нм (в) при взаимодействии с различными летучими органическими соединениями.
Результаты модельных испытаний позволяют предположить высокую селективность Z1 к аминам, аммиаку – приоритетным биомаркерам воспаления, а следовательно, положительно оценить возможность его применения в доклинической неинвазивной диагностике воспалений и эндометрита по результатам тестирования слизи.
Сравнение результатов ветеринарного осмотра и применения тест-систем на обучающей группе животных. На обучающей выборке животных установили взаимосвязь изменения люминесценции и определили эффективность флуорофора как индикатора состояния здоровья животных. За основу правильной оценки отклика красителя Z1 брали результаты ветеринарного осмотра, хотя доля ложных оценок специалистом допускается. В экспериментах опробовали разные способы применении раствора реагента.
К пробам цервикальной слизи, отобранным от пяти животных через различные промежутки времени после отела, разбавленным водой и помещенным в лунки планшета, добавляли раствор Z1. Установили, что в зависимости от степени воспаления матки животного интенсивность флуоресценции лунок под воздействием УФ-лампы с длиной волны 365 нм различается. Это может служить визуальным индикатором состояния здоровья животного при наличии исходного стандарта. Также установили, что результаты тестирования не зависят от времени отбора образцов слизи после отела, а определяются только уровнем воспаления. Это указывает на возможность эффективного применения красителя Z1 для определения состояния здоровья животного независимо от времени отбора пробы в пост- или дородовый период.
Из-за сложностей, возникающих при применении планшетов в полевых условиях, более удобными оказались полоски или тупферы. Во время профилактического осмотра новой группы коров ветеринаром были отобраны пробы цервикальной слизи объемом не менее 5–10 мл (рис. 5а). Полученные образцы помещали в стерильные пробирки и смешивали с небольшим количеством раствора испытуемого флуоресцентного реагента (рис. 6а). Результаты, полученные под действием УФ-света, фиксировали и заносили в табл. 5. Установили, что в пробах слизи от животных № 1 (100) и № 4 (5068) (рис. 6б) под источником света с длиной волны 356 нм визуально фиксируется флуоресценция зеленого цвета, что связано с развитием воспаления и эндометрита. В пробах № 2 (4918) и 3 (4648) флуоресценция отсутствует. Аналогично фиксировали изменения в пробирках с пробами от животных под инвентарными номерами 2238 (№ 5), 4768 (№ 6) (табл. 5), для которых в этих условиях зафиксирована флуоресценция разной интенсивности. Как и в случае предварительных экспериментов, при использовании тупферов происходит инверсия аналитического отклика, отмеченная как при естественном освещении, так и при 365 нм. Результаты тестирования проб разными способами – в лунках и на тупферах – показали правильность предсказания диагноза, совпадающего с диагнозом специалиста, соответственно 91 и 67% (табл. 5). Ложные предсказания в этих пробах, не соответствующие клиническому диагнозу, следует воспринимать скорее верными, так как чувствительность к маркерам воспаления у реагента очень высокая, в то время как клинические исследования и тщательный осмотр специалистом проводятся редко. За время от момента осмотра до отбора пробы ситуация у животного могла измениться в худшую сторону. Ложноположительный ответ тест-системы в этом случае также благоприятен, так как повышает вероятность повторного исследования и предотвращения развития заболевания в более тяжелой форме или купирования его на ранних стадиях. Ложноотрицательных результатов ни в лунках, ни с тупферами не наблюдали. Необходимо подчеркнуть, что при прямом введении красителя в пробу не зафиксированы ложноположительные или ложноотрицательные результаты. Этот способ наиболее точен по прогнозу, но более затратен по расходу реагентов.
Рис. 6. Пробы цервикальной слизи с добавлением раствора Z1 при естественном (а) и УФ-освещении (б).
Таблица 5. Результаты анализа гинекологической слизи коров из обучающей выборки при взаимодействии проб с Z1
Маркировка пробы | Номер лунки на рис. 6 | Номер пробы на рис. 6а, б | Диагноз ветеринара / группа | Наличие флуоресценции реагента при 356 нм | Соответствие диагнозу | Правильность предсказания, % |
Раствор реагента в лунках | ||||||
10011 | 3 | Здоровая / “норма” | Тушение | Соответствует | 91 | |
10012 | 5 | Здоровая / “норма” | Тушение | Соответствует | ||
10013 | 4 | Начало гнойно-катарального эндометрита / “эндометрит” | Флуоресценция | Соответствует | ||
10014 | 6 | Начало гнойно-катарального эндометрита / “эндометрит” | Флуоресценция | Соответствует | ||
10015 | 7 | Начало гнойно-катарального эндометрита / “эндометрит” | Флуоресценция | Соответствует | ||
100 | 1 | Эндометрит / “эндометрит” | Сильная флуоресценция | Соответствует | ||
4918 | 2 | Здоровая / “норма” | Отсутствует | Соответствует | ||
4648 | 3 | Здоровая / “норма” | Отсутствует | Соответствует | ||
5068 | 4 | Здоровая / “норма” | Слабая флуоресценция | Зафиксировано начало развития воспаления | ||
2238 | Эндометрит / “эндометрит” | Флуоресценция | Соответствует | |||
4768 | Ярко выраженное восполнение / “эндометрит” | Сильная флуоресценция | Соответствует | |||
Раствор реагента на тупфере | ||||||
100 | Здоровая / “норма” | Без изменений | Соответствует | 67 | ||
4918 | Здоровая / “норма” | Обесцвечивание | Не соответствует | |||
4648 | Здоровая / “норма” | Обесцвечивание | Зафиксировано начало развития воспаления | |||
5068 | Эндометрит / “эндометрит” | Частичное обесцвечивание | Соответствует | |||
2238 | Ярко выраженное воспаление / “эндометрит” | Обесцвечивание | Соответствует | |||
4768 | Эндометрит / “эндометрит” | Обесцвечивание | Соответствует | |||
Для проб, отобранных в разные дни от шести животных, с выводом специалиста о состоянии здоровья совпали результаты предсказания для пяти коров из разных групп (“норма”, “эндометрит”). Ложно отнесенные в группу “эндометрит” биопробы коровы № 5068 по результатам анализа тест-реагентом объясняются тем, что животное на момент первичного исследования относилась к группе “норма”, но через две недели ветеринаром были зафиксированы признаки развития эндометрита. Это значит, что на момент даже первичного осмотра и исследования биопроб (третьи сутки после отела) у животного состояние было уже отличным от нормы и начиналось воспаление. Применение флуоресцентного реагента позволяет на более ранней стадии, чем осмотр специалиста, установить начало развития воспаления.
Для мониторинга развития воспалительных процессов провели дополнительные испытания на пробах слизи, отобранных у восьми животных в разные временные промежутки (табл. 6). Визуальную оценку аналитического отклика проводили при естественном освещении тупферов после выдерживания их в пробах слизи. Установили, что тест-системы на тупферах хорошо определяют воспаление и усиление эндометрита даже на фоне беременности (№ 14136). Ложноотрицательных и ложноположительных оценок на день осмотра в этой группе получили по одной из восьми проб.
Таблица 6. Результаты испытаний образцов с использованием тупфера с реагентом Z1
Код пробы | Изменения на тупфере / группа | Ветеринарный диагноз | Правильность предсказания, % | |
06.02.22 | 04.04.22 | |||
11354 | Без изменений / “норма” | Без изменений / “норма” | Здорова (06.02), здорова (04.04) | 75% на дату тестирования 06.02.22; 100% на дату повторного теста 04.04.22 |
183300 | Обесцвечивание / “эндометрит” | Сильное обесцвечивание / “эндометрит” | Эндометрит (25.01), ухудшение состояния (04.04) | |
3420 | Без изменений / “норма” | Без изменений / “норма” | Эндометрит (25.01), проходит лечение; здорова (06.02 и 04.04) | |
2172 | Без изменений / “норма” | Без изменений / “норма” | Здорова (06.02), здорова (04.04) | |
13303 | Без изменений / “норма” | Обесцвечивание / “эндометрит” | 8.5–9 месяц беременности – здорова (06.02), эндометрит (04.04) | |
18222 | Без изменений / “норма” | Обесцвечивание / “эндометрит” | Здорова (06.02), эндометрит (04.04) | |
14136 | Легкое обесцвечивание / группа не определена | Обесцвечивание / “эндометрит” | 8.5–9 месяц беременности – здорова (06.02), эндометрит (04.04) | |
14181 | Без изменений / “норма” | Обесцвечивание / “эндометрит” | 8.5–9 месяц беременности – здорова (06.02), эндометрит (04.04) | |
При повторном тестировании этих животных через два месяца ситуация резко ухудшилась. Только у трех из восьми коров не развился эндометрит. У всех отелившихся животных (№№ 13303, 14136, 14181) к моменту повторного контроля эндометрит развился существенно. Правильность диагностики по сигналам на тупфере при первом тестировании составила 75%, при повторном тесте этой группы – 100%.
Данные, полученные на обучающей выборке животных, позволяют сделать ряд предварительных выводов:
– низкая способность к цитоокрашиванию и высокая стабильность растворов Z1 [28] позволяют объяснить изменение интенсивности люминесценции за счет связывания с азотсодержащими ЛОС, что может быть использовано для выявления воспалительных процессов;
– ложноположительные результаты вызываются присутствием крови в пробе;
– ложноотрицательные результаты при двойном способе оценки аналитического эффекта (при естественном свете и УФ-облучении) связаны только степенью выраженности воспаления.
Проверка правильности предсказания состояния на контрольной группе животных. В качестве проверочных выбраны пробы от восьми животных, не входящих в обучающие выборки. По результатам клинических исследований состояние животных оценивалось как подозрение на воспаление (15119), ярко выраженное воспаление (1409 и 1417) и условно здоровая с патологией задержки последа (7012).
Аналитический сигнал для пробы 1409 четко не определен (табл. 7), однако состояние пробы указывает на явные сильные процессы разложения биотканей, тест в этом случае не имеет диагностического смысла. Для пробы 7012 отсутствие изменения аналитического отклика связано с другими причинами нарушения послеродового состояния (задержка последа), которое не является воспалением. Оценка состояния проб с воспалением и эндометритом разной степени выраженности совпала с выводом специалиста (табл. 7).
Таблица 7. Результаты анализа гинекологической слизи коров из проверочной выборки при добавлении в пробы тупфера с раствором Z1
Код пробы | Первоначальный диагноз | Изменение цвета тупфера при естественном освещении | Соответствие диагнозу | Правильность предсказания, % |
Тупфер с Z1 | Без изменений | 87 | ||
105 | Начало воспаления | Легкое обесцвечивание | Соответствует | |
107 | Здорова | Без изменений | Соответствует | |
108 | Здорова | Без изменений | Соответствует | |
106 | Эндометрит | Сильное обесцвечивание | Соответствует | |
15119 | Подозрение на воспаление | Обесцвечивание | Соответствует | |
1409, проба с хлопьями | Эндометрит | Не определено | Явное воспаление по состоянию образца | |
1417, проба с кровью | Гнойное воспаление, лохии | Полное обесцвечивание | Соответствует | |
7012, проба с измененным цветом | Задержка послеродового последа | Не определено | Соответствует |
Для ярко выраженных воспалений и групп здоровых животных не установлено ложноположительных и ложноотрицательных результатов теста, что позволяет высоко оценить его потенциал для полевых испытаний. Дальнейшие исследования позволят ранжировать более точно и переходные состояния (пролеченные, начало заболевания). Правильность диагностики составила – 87% (табл. 7).
Оценка чувствительности и универсальности тест-систем. Для оценки уровня чувствительности и универсальности анализа с применением тест-средств на основе Z1 выбрали биопробы носовой слизи телят, рожденных коровами из проверочной выборки. Известно, что одной из основных причин перинатальной патологии у новорожденных телят являются микроэкологические нарушения в организме маточного поголовья до осеменения и в период беременности. В ряде случаев дисбиозы различного характера, наличие потенциально патогенной и патогенной микрофлоры в родовых путях коров-матерей становятся первичными источниками инфицирования новорожденного [61–62]. Содержание как ЛОС, так и микроорганизмов значительно отличается для носовой и цервикальной слизей соответственно у телят и их матерей. При прочих равных условиях в носовой слизи теленка и в гинекологической слизи матери уровень микробиоты будет существенно различаться и будет меньше в носовых пазухах. Другими словами, если тест-средство позволит распознать рожденных от больных коров телят, то чувствительность его будет удовлетворять потребностям многостороннего простого тест-анализа в условиях хозяйств.
Пробы у телят отбирали однократно (через 1–3 для после рождения) и помещали в стерильную пробирку с добавлением 3–5 мл воды. После встряхивания в полученный образец опускали тупфер с Z1. Результаты исследований приведены в табл. 8. Установили, что ложноотрицательные результаты наблюдаются при малом объеме пробы носовой слизи. Потенциально высокий риск развития осложнений после рождения телят выявлен с помощью анализа проб предлагаемым тест-средством за неделю до признаков заболевания. Доля ложноположительных результатов для проб слизи аналогична таким же ошибкам для слизи коров. Данные результаты повышают информативность и эффективность предлагаемых тест-средств для полевых наблюдений за животными в агрокомплексах.
Таблица 8. Результаты тестирования тупферов с Z1, помещенных в образцы носовой слизи телят
Номер коровы | Код пробы теленка | Клинический диагноз (1–3 дня после рождения) | Аналитический отклик тест-систем | Клинический диагноз через 3 недели |
1409 | 1т | Бронхопневмония | Норма (мало пробы) | Бронхопневмония |
1417 | 2т | Здоров | Обесцвечивание | Респираторный синдром |
7012 | 3т | Здоров | Обесцвечивание | Респираторный синдром |
15119 | 4т | Респираторный синдром, ларинготрахеит | Обесцвечивание | Респираторный синдром, ларинготрахеит |
* * *
По результатам пилотного исследования установлено, что 6-оксо-2-фенилимидазо[1, 2-b]пиридо[4,3-е][1, 2, 4]триазин-7(6Н)-ил)уксусную кислоту (Z1) можно применять в качестве реагента-флуорофора в тест-системах различной природы (планшеты, бумажные тест-полоски, тупферы) для экспрессной диагностики воспаления эндометрита у коров в режиме “на месте”.
Флуоресцентный реагент обеспечивает высокую чувствительность, простоту применения и надежность фиксирования аналитического отклика и принятия решения, позволяет существенно упростить процедуру и повысить производительность мониторинга, снизить экономические и временные затраты на клинические и лабораторные исследования, анализ их результатов, на более ранней стадии установить начало воспаления эндометрия у коров. Уменьшение объема пробы слизи, наличие крови и мути приводят к появлению ложных или неявных результатов, повышению частоты ложноотрицательной оценки состояния животного.
Совокупность полученных результатов позволила оценить характеристики предложенного тест-способа (табл. 9). Реагент Z1 повышает надежность принятия решения благодаря возможности регистрации аналитического сигнала как при естественном, так и при искусственном (УФ) освещении тест-средств или проб после его введения. Реагент выбран в качестве приоритетного для дальнейших исследований и применения в качестве дополнительного модификатора квантовых точек сульфида кадмия. Ранее установлено, что квантовые точки существенно стабилизируют органические реагенты и способствуют увеличению времени их активной эксплуатации в аналитических системах. Эффективность применения реагента Z1 в качестве модификатора других сенсоров (не оптических) будет рассмотрена в нашей дальнейшей работе.
Таблица 9. Характеристики предложенного тест-способа
Способ применения | Специфичность | Правильность | Прецизионность | Число ложноположительных результатов | Число ложноотрицательных результатов |
В лунках | 0.857 | 0.910 | 0.857 | 1 из 11 | 0 |
На тупфере | 0.813 | 0.867 | 0.813 | 3 из 30 | 1 из 30 |
В растворе | 0.667 | 0.833 | 0.750 | 1 из 6 | 0 |
ФИНАНСИРОВАНИЕ РАБОТЫ
Работа выполнена при финансовой поддержке гранта Российского научного фонда 23-23-00609.
СОБЛЮДЕНИЕ ЭТИЧЕСКИХ СТАНДАРТОВ
Исследование проводилось в соответствии с Хельсинкской декларацией руководящих принципов и одобрено Комитетом по этике Воронежского государственного университета инженерных технологий (Протокол № 7 от 30.11.2023 года).
КОНФЛИКТ ИНТЕРЕСОВ
Авторы данной статьи заявляют, что у них нет конфликта интересов.
About the authors
T. A. Kuchmenko
Voronezhsky State University of Engineering Technologies; Vernadsky Institute of Geochemistry and Analytical Chemistry of the Russian Academy of Sciences
Author for correspondence.
Email: tak1907@mail.ru
Russian Federation, 394036, Voronezh, ave . Revolution, 19; 19 Kosygina str., Moscow, 119334
D. Y. Vandyshev
Voronezh State University
Email: tak1907@mail.ru
Russian Federation, 394018, Voronezh, Universitetskaya pl., 1
V. N. Skorikov
Russian Scientific Research Veterinary Institute of Pathology, Pharmacology and Therapy
Email: tak1907@mail.ru
Russian Federation, 144b Lomonosova str., Voronezh, 394087
R. U. Umarkhanov
Voronezhsky State University of Engineering Technologies
Email: tak1907@mail.ru
Russian Federation, 394036, Voronezh, ave . Revolution, 19
H. S. Shikhaliev
Voronezh State University
Email: tak1907@mail.ru
Russian Federation, 394018, Voronezh, Universitetskaya pl., 1
P. V. Seredin
Russian Scientific Research Veterinary Institute of Pathology, Pharmacology and Therapy
Email: tak1907@mail.ru
Russian Federation, 144b Lomonosova str., Voronezh, 394087
V. V. Yagov
Vernadsky Institute of Geochemistry and Analytical Chemistry of the Russian Academy of Sciences
Email: tak1907@mail.ru
Russian Federation, 19 Kosygina str., Moscow, 119334
V. I. Mikhalev
Russian Scientific Research Veterinary Institute of Pathology, Pharmacology and Therapy
Email: tak1907@mail.ru
Russian Federation, 144b Lomonosova str., Voronezh, 394087
References
- Братчикова О.А., Чехонацкая М.Л., Яннаева Н.Е. Ультразвуковая диагностика послеродового эндометрита (обзор) // Саратовский научно-медицинский журнал. 2014. Т. 10. С. 65.
- Нежданов А.Г., Шабунин С.В., Михалев В.И., Филин В.В., Скориков В.Н. Послеродовой метрит у молочных коров // Ветеринария. 2016. № 8. С. 4.
- Полянцев Н.И., Магомедов А.Г., Афанасьев А.И. Йодметрагель при эндометрите у коров // Ветеринария. 2007. № 12. С. 36.
- Sheldon I.M., Dobson H. Postpartum uterine health in cattle // Anim. Reprod. Sci. 2004. V. 82. P. 295.
- LeBlanc S.I., Duffield T.F., Leslie K.E., Bateman K.G., Keefe G.P., Walton J.S., Johnson W.H. Defining and diagnosing postpartum clinical endometritis, and its impact on reproductive performance in dairy cows // J. Dairy Sci. 2002. V. 85. № 9. С. 2223.
- Епанчинцева О.С. Симптоматическое бесплодие у коров в послеродовой период: диагностика, лечение и профилактика. Автореферат дис. … д-р. ветеринар. наук. Краснодар: ФГБОУ ВПО “Кубанский государственный аграрный университет”, 2013. 39 c.
- Халипаев М.Г., Азизов И.М., Зухрабова З.М. Этиопатогенез, диагностика и лечебно-профилактические мероприятия при послеродовом катарально-гнойном эндометрите коров // Уч. зап. Казан. гос. акад. вет. медицины им. Н. Э. Баумана. 2021. Т. 245. C. 204.
- Дубинин А.В. Профилактика акушерско-гинекологических заболеваний коров с использованием композиционного средства “Био-ФАЯЛ”. Дис. …д-р. ветеринар. наук. Санкт-Петербург: ФГБОУ ВПО “Санкт-Петербургская государственная академия ветеринарной медицины”, 2020. 135 c.
- Нежданов А.Г., Лободин К.А. Воспроизводство высокопродуктивного молочного скота: эффективность ветеринарного контроля // Молочная промышленность. 2015. № 11. C. 64.
- Иванюк В.П., Мещеряков О.Ю., Бобкова Г.Н. Оценка комплексной терапии коров, больных хроническим эндометритом // Изв. Оренбург. гос. аграрного ун-та. 2023. № 1. C. 189.
- Шабунин С.В., Шахов А.Г., Черницкий А.Е., Золотарев А.И., Рецкий М.И. Респираторные болезни телят: современный взгляд на проблему // Ветеринария. 2015. № 5. C. 3.
- Нежданов А.Г., Шабунин С.В., Алехин Ю.Н., Рецкий М.И., Шахов А.Г., Михалев В.И., Климов Н.Т., Сафонов В.А., Ефанова Л.И., Шапошников И.Т., Брехов Т.П., Ерин Д.А., Зимников В.И., Чупрын С.П., Шишкина Е.В., Филин В.В., Модин А.Н., Внукова Н.Т., Першин С.С., Лободин К.А., Дюльгер Г.П., Сулейманов С.М. Методическое пособие (по профилактике бесплодия у высокопродуктивного молочного скота) / ГНУ Всероссийский научно-исследовательский ветеринарный институт патологии, фармакологии и терапии Россельхозакадемии. Воронеж, 2010. 54 с.
- Новикова Е.Н. Этиология и патогенез неспецифического послеродового эндометрита и разработка системы его профилактики и терапии у коров. Дис. … д-р. ветеринар. наук. Краснодар: ФГБОУ ВПО “Кубанский государственный аграрный университет”, 2021. 362 c.
- Zhou W., Guo H., Lin J., Yang F. Multiple BODIPY derivatives with 1,3,5-triazine as core: balance between fluorescence and numbers of BODIPY units // J. Iran. Chem. Soc., 2018. V. 15. P. 2559.
- Padalkar V.S., Patil V.S., Sekar N. Synthesis and characterization of novel 2,2-bipyrimidine fluorescent derivative for protein binding // Chem. Cent. J. 2011. V. 5. № 1. P. 72.
- Irannejad H., Amini M., Khodagholi F., Ansari N., Tusi S.K., Sharifzadeh M., Shafiee A. Synthesis and in vitro evaluation of novel 1,2,4-triazine derivatives as neuroprotective agents // Bioorg. Med. Chem. 2010. V. 18. P. 4224.
- Dmitruk S.L., Druzhinin S.I., Kovalenko M.F., Uzhinov B.M. Acid-base interaction of 2,3-dimethyl-6-phenylimidazo-[1,2-b]-1,2,4-triazine in the ground and excited states // J. Photochem. Photobiol. 1995. V. 88. P. 129.
- SAMSUNG ELECTRONICS CO., LT D. Method for predicting efficacy of c-Met inhibitor (CN-104762371-B). SAMSUNG ELECTRONICS CO., LT D. 2019. P. 1.
- CHINESE ACADEMY OF SCIENCES; Shanghai Institute of Materia Medica (in: CAS). Reversible fluorescent compound identified by targeted tyrosine kinase and preparation method and application thereof (CN-111848657-B) // Chinese Academy of Sciences. 2021. P. 1.
- Helmholtz Association; BAYER AG. Imidazotriazines acting on cancer via inhibition of cdk12 (WO2021/176045A1). BAYER AG, 2021. P. 1.
- Goya P., de la Oliva C.G. Triazines, tetrazines and fused ring polyaza systems // Prog. Heterocycl. Chem. 2007. V. 18. P. 353.
- Rajagopal V., Narayanan N.J., Kathiresan M., Pattanayak D.K., Suryanarayanan V. Triazine interlinked covalent organic polymer as an efficient antibacterial agent // Mater. Today Chem. 2021. V. 19. P. 1
- Hu X., Guo Y., Wang T., Liu C., Yang Y., Fang G. A selectivity-enhanced ratiometric fluorescence imprinted sensor based on synergistic effect of covalent and non-covalent recognition units for ultrasensitive detection of ribavirin // J. Hazard. Mater. 2022. V. 421. P. 1
- Yu Y., Li G. Design of terbium (III)-functionalized covalent organic framework as a selective and sensitive turn-on fluorescent switch for ochratoxin A monitoring // J. Hazard. Mater. 2022. V. 422. Article 126927.
- Li Y., Li J.-J., Zhang Q., Zhang J.-Y., Zhang N., Fang Y.-Z., Yan J., Ke Q. The multifunctional BODIPY@ Eu-MOF nanosheets as bioimaging platform: A ratiometric fluorescencent sensor for highly efficient detection of F-, H2O2 and glucose // Sens. Actuators B: Chem. 2022. V. 354. Article 131140.
- Vandyshev D.Yu., Shikhaliev Kh. S., Prezent M. A., Kozaderov O.A., Ovchinnikov O.V., Smirnov M.S., Ilyinova T.N., Mangusheva D.A., Iminova R.R., Chetti P. Analysis of the spectral-luminescence properties of imidazo[1,2-b]pyrido[4,3-e][1,2,4]triazin-6(7Н)-ones // Luminescence. 2022. V. 37. P. 1689.
- Peczka N., Orgovan Z., Abranyi-Balogh P., Keseru G.M. Electrophilic warheads in covalent drug discovery: An overview //Expert Opinion on Drug Discovery. 2022. Т. 17. №. 4. С. 413-422.
- Вандышев Д.Ю., Крутских А.С., Колтаков И.А., Потапов А.Ю., Антипов С.С., Шихаливев Х.С., Хмелевская Т.Н. Исследование физико-химических характеристик флуоресцентных зондов класса азолотриазинов для идентификации микроорганизмов / Материалы VII конгресса биофизиков России. Т. 1. Краснодар, 2023 (Vandyshev D.Yu., Krutskikh A.S., Koltakov I.A., Potapov A.Yu., Antipov S.S., Shikhalivev Kh. S., Khmelevskaya T.N. Study of physicochemical characteristics of fluorescent probes of azolotriazine class for identification of microorganisms / Proc. of the VII Congress of Biophysicists of Russia. V. 1. Krasnodar, 2023.)
- Willmann J.K., Bruggen N., Dinkelborg M., Gabhir S.S. Molecular imaging in drug development // Nat. Rev. Drug Discov. 2008. V. 7. № 7. P. 591.
- Кучменко Т.А., Доровская Е.С., Босикова Я.Н., Сметанкина А.В., Битюкова В.В. Применение электронного носа на основе пьезоэлектрических сенсоров для сканирования летучих соединений гинекологических тестов // Журнал аналитической химии. 2021. Т. 76. С. 868 – 880. (Kuchmenko T.A., Dorovskaya E.S., Bosikova Y.N., Smetankina A.V., Bityukova V.V. Application of an electronic nose based on piezoelectric sensors for scanning volatile compounds of gynecological tests // J. Anal. Chem. 2021. V. 76. P. 868.)
- Кучменко Т.А., Умарханов Р.У., Менжулина Д.А. Биогидроксиапатит – новая фаза для селективного микровзвешивания паров органических соединений – маркеров воспаления в носовой слизи телят и человека. Сообщение 1. Сорбция в модельных системах // Сорбционные и хроматографические процессы 2021. Т. 21. № 2. С. 142.
- Кучменко Т.А., Умарханов Р.У., Менжулина Д.А. Биогидроксиапатит – новая фаза для селективного микровакуумного взвешивания маркеров воспаления в носовой слизи телят и человека Сообщение 2: Анализы в реальных условиях // Сорбционные и хроматографические процессы. 2021. Т. 21. № 2. С. 216.
- Kuchmenko T., Shuba A., Umarkhanov R., Chernitskiy A. Portable electronic nose for analyzing the smell of nasal secretions in calves: toward noninvasive diagnosis of infectious bronchopneumonia // Vet. Sci. 2021. V. 8. № 5. P. 74.
- Скориков В.Н., Кучменко Т.А., Михалев В.И., Умарханов Р.У., Сашнина Л.Ю., Чусова Г.Г. Применение прибора “электронный нос” для диагностики хронических заболеваний матки у молочных коров // Вопросы нормативно-правового регулирования в ветеринарии. 2020. № 3. С. 107.
- Кучменко Т.А., Шуба А.А., Умарханов Р.У., Дроздова Е.В., Черницкий А.Е. Применение пьезоэлектрического носа для оценки состояния дыхательной системы телят по летучим соединениям // Журн. аналит. химии. 2020. Т. 75. № 5. С. 645. (Kuchmenko T.A., Shuba A.A., Umarkhanov R.U., Drozdova E.V., Chernitskii A.E. Application of a piezoelectric nose to assessing the respiratory system in calves by volatile compounds // J. Anal. Chem. 2020. V. 75. P. 645.)
- Шабунин С.В., Кучменко Т.А., Скориков В.Н., Нежданов А.Г., Михалев В.И., Умарханов Р.У. Инновационные методы доклинической диагностики послеродового метрита у коров с применением прибора “Электронный нос” // Вестник Российской сельскохозяйственной науки. 2020. № 2. С. 48.
- Кучменко Т.А., Доровская Е.С., Менжулина Д.А., Чубаров Т.В., Мураховский И.А. Оценка возможности использования “электронного носа” для мониторинга нарушений при функциональном ожирении у детей в условиях стационара. наблюдения за изменениями состояния в процессе лечения // Журн. аналит. химии. 2023. Т. 78. С. 274. (Kuchmenko T.A., Dorovskaya E.S., Menzhulina D.A., Chubarov T.V., Murakhovsky I.A. Evaluation of the possibility of using the “electronic nose” for monitoring abnormalities in functional obesity of children in hospital conditions. observations of changes in condition during treatment // J. Anal. Chem. 2023. V. 78. P. 274.)
- Kuchmenko T.A., Dorovskaya E.S., Umarkhanov R.U., Krylov V.V., Smetankina, A. V., Menzhulina D.A., Bityukova V.V. Portable electronic nose system for fast gynecological-conditions diagnosis in consulting room: a case study // Sens. Actuators B: Chem. 2022. V. 358. Article 131538.
- Кучменко Т.А., Менжулина Д.А., Мураховский И.А. Обоснование возможности использования высокочувствительных пьезосенсоров в открытой системе для получения диагностической информации о летучих веществах кожи // Журн. аналит. химии. 2023. Т. 78. С. 711. (Kuchmenko T.A., Menzhulina D.A., Murakhovsky I.A. Justification of the possibility of using highly sensitive piezosensors in an open system for obtaining diagnostic information about volatile substances of the skin // J. Anal. Chem. 2023. V. 78. P. 711.)
- Kuchmenko T.А., Shuba A.А., Umarkhanov R.U., Lvova L.V. The new approach to a pattern recognition of volatile compounds: the inflammation markers in nasal mucus swabs from calves using the gas sensor array // Chemosensors. 2021. № 9. P. 116.
- Михайлов Н.Н., Лучко М.А., Коннова З.С. Получение образцов цервикальной слизи у коров. Москва: Ветеринария, 1967. 80 с.
- Скориков В.Н., Кучменко Т.А., Михалев В.И., Харланова А.Г., Шихалиев Х.С., Вандышев Д.Ю. Способ экспрессной диагностики послеродового метрита у молочных коров в режиме реального времени. Патент РФ № 2802522. Заявка RU2022118672A от 06.07.2022, опубл. 30.08.2023.
- de Lacy Costello B., Amann A., Al-Kateb H., Flynn C., Filipiak W., Khalid T., Osborne D., Ratcliffe N.M. A review of the volatiles from the healthy human body // J. Breath Res. 2014. V. 8. № 1. Article 014001.
- Longo V., Forleo A., Provenzano S.P., Coppola L., Zara V., Ferramosca A., Siciliano R., Capone S. HS-SPME-GC-MS metabolomics approach for sperm quality evaluation by semen volatile organic compounds (VOCs) analysis // Biomed. Phys. Eng. Express. 2019. V. 5. №. 1. Article 015006.
- Boots A.W., van Berkel J.J. B.N., Dallinga J.W., Smolinska A., Wouters E.F., van Schooten F.J. The versatile use of exhaled volatile organic compounds in human health and disease // J. Breath Res. 2012. V. 6. № 2. Article 027108.
- Capone S., Tufariello M., Forleo A., Longo V., Giampetruzzi L., Radogna, A. V., Casino F., Siciliano P. Chromatographic analysis of VOC patterns in exhaled breath from smokers and nonsmokers // Biomed. Chromatogr: BM C. 2018. V. 32. № 1-2. P. e4132.
- Markar S.R., Wiggins T., Kumar S., Hanna G.B. Exhaled breath analysis for the diagnosis and assessment of endoluminal gastrointestinal diseases // J. Clin. Gastroenterol. 2015. V. 49. № 1. P. 1.
- Markar S.R., Brodie B., Chin S.T., Romano A., Spalding D., Hanna G.B. Profile of exhaled-breath volatile organic compounds to diagnose pancreatic cancer // Br. J. Surg. 2018. V. 105. № 11. P. 1493.
- Lemfack M.C., Gohlke B.O., Toguem S.M. T., Preissner S., Piechulla B., Preissner R. mVOC 2.0: A database of microbial volatiles // Nucleic Acids Res. 2017. V. 46. № D1. P. D1261.
- Lemfack M.C., Nickel J., Dunkel M., Preissner R., Piechulla B. mVOC: A database of microbial volatiles // Nucleic Acids Res. 2014. V. 42. № D1. P. D744.
- Finamore P., Scarlata S., Incalzi R.A. Breath analysis in respiratory diseases: State-of-the-art and future perspectives // Expert Rev. Mol. Diagn. 2019. V. 19. № 1. P. 47.
- Lang A.L., Beier J.I. Interaction of volatile organic compounds and underlying liver disease: A new paradigm for risk // Biol. Chem. 2018. V. 399. № 11. P. 1237.
- Zhou J., Huang Z.-A., Kumar U., Chen D.D. Y. Review of recent developments in determining volatile organic compounds in exhaled breath as biomarkers for lung cancer diagnosis // Anal. Chim. Acta. 2017. V. 996. P. 1.
- Das S., Pal S., Mitra M. Significance of exhaled breath test in clinical diagnosis: A special focus on the detection of diabetes mellitus // J. Med. Biol. Eng. 2016. V. 36. P. 605.
- Fink T., Wolf A., Maurer F., Albrecht F.W., Heim N., Wolf B., Hauschild A.C., Bodeker B., Baumbach J.I., Volk T., Sessler D.I., Kreuer S. Volatile organic compounds during inflammation and sepsis in rats: A potential breath test using ion-mobility spectrometry // Anesthesiology. 2015. V. 122. № 1. P. 117.
- Filipiak W., Mochalski P., Filipiak A., Ager C., Cumeras R., Davis C.E., Agapiou A., Unterkofler K., Troppmair J.A compendium of volatile organic compounds (VOCs) released by human cell lines // Curr. Med. Chem. 2016. V. 23. № 20. P. 2112.
- Filipiak W., Sponring A., Filipiak A., Ager C., Schubert J., Miekisch, W., Amann A., Troppmair J. TD-GC-MS analysis of volatile metabolites of human lung cancer and normal cells in vitro // Cancer Epidemiol. Biomarkers Prev. 2010. Т. 19. № 1. P. 182.
- Сайк О.В., Мошкин М.П., Балдин М.Н., Грузнов В.М., Козлов В.А., Самороков С.Н., Деменков П.С., Иванисенко В.А., Колчанов Н.А. PROMEDIA – база данных химических соединений, потенциальных биомаркеров заболеваний, актуальных для неинвазивной диагностики // Математическая биология и биоинформатика. 2011. Т. 6. № 2. С. 250. (Saik O.V., Moshkin M.P., Baldin M.N., Gruznov V.M., Kozlov V.A., Samorokov S.N., Demenkov P.S., Ivanisenko V.A., Kolchanov N.A. PROMEDIA – Database of chemical compounds, potential biomarkers of diseases relevant for non-invasive diagnostics // Math. Biol. Bioinform. 2011. V. 6. № 2. P. 250.)
- Piechulla B., Degenhardt J. The emerging importance of microbial volatile organic compounds // Plant Cell Environ. 2014. V. 37. № 4. P. 811.
- Plyuta V., Lipasova V., Popova A., Koksharova O., Kuznetsov A., Szegedi E., Chernin L., Khmel I. Influence of volatile organic compounds emitted by Pseudomonas and Serratia strains on Agrobacterium tumefaciens biofilms // APMI S. 2016. V. 124. № 7. С. 586.
- Крылов В.П., Пашкин А.В., Сеченев В.В. Система управления здоровьем новорожденных телят // Ветеринарная патология. 2006. № 1. С. 31.
- Ерина Т.А. Микробиоценоз кишечника и иммунный статус новорожденных телят с разным морфофункциональным развитием и их коррекция. Дис. … канд. вет. наук. Воронеж: Курская государственная сельскохозяйственная академия имени профессора И.И. Иванова, 2015. 149 с.
Supplementary files












