Thermodynamic modeling of the composition of main background ions in low-temperature ("cold") inductively coupled plasma
- Autores: Pupyshev A.A.1, Zaitceva P.V.1,2, Burylin M.Y.3, Maltsev M.A.4,5, Morozov I.V.4,5, Osina E.L.4
-
Afiliações:
- Ural Federal University
- Institute of Metallurgy. Ural Branch of Russian Academy of Sciences
- Kuban State University
- Joint Institute for High Temperatures, Russian Academy of Sciences
- Moscow Institute of Physics and Technology
- Edição: Volume 79, Nº 8 (2024)
- Páginas: 842-853
- Seção: ORIGINAL ARTICLES
- ##submission.dateSubmitted##: 11.02.2025
- ##submission.dateAccepted##: 11.02.2025
- URL: https://ogarev-online.ru/0044-4502/article/view/279546
- DOI: https://doi.org/10.31857/S0044450224080049
- EDN: https://elibrary.ru/tjniiy
- ID: 279546
Citar
Texto integral
Resumo
The possibility of studying the behavior of the main background ions formed by the primary elements of inductively coupled plasma (H, N, O, and Ar) in the low-temperature ("cold") plasma mode using the method of thermodynamic modeling has been considered. These ions, which create significant spectral interferences, are always observed when aqueous sample solutions are introduced into inductively coupled plasma mass spectrometers (ICP-MS). The quantitative composition of the main background ions in ICP-MS has been calculated using thermodynamic modeling over the temperature range from 2000 to 5000 K, depending on the plasma temperature. A comparison with experimental data from mass spectra measurements of the main background ions has been made, and a high degree of correlation between the theoretical and experimental results has been shown. The consistency of the calculations with the experiments confirms the correctness of the thermodynamic model used for the thermochemical processes in ICP-MS and its applicability for further calculations in solving analytical tasks. A method for unambiguously determining the gas-kinetic temperature of plasma, taking into account virtually all the main background ions, has been proposed.
Texto integral
Изучение термохимических процессов, протекающих в источниках ионов и источниках возбуждения атомных и молекулярных спектров (спектральные источники), а также исследование влияния операционных параметров этих устройств на их аналитические характеристики необходимо для объяснения и изучения наблюдаемых экспериментально явлений, прогнозирования и достижения оптимальных условий масс-спектрального и эмиссионного спектрального анализа. Обычно решение этих задач требует выполнения большого объема дополнительных экспериментальных работ. Однако затраты труда, времени, расходных материалов и средств можно значительно снизить, а информационный результат существенно улучшить, если подобные исследования проводить теоретически с использованием различных приемов моделирования. Это позволяет всесторонне объяснять наблюдаемые явления, лучше понимать процессы в низкотемпературной плазме спектральных источников и проводить разнообразные прогноз ные качественные и количественные оценки, ориентированные на решение конкретных аналитических задач [1].
Наиболее быстрым и информативным способом получения сведений о термохимическом поведении различных элементов, возможности образования их молекулярных и ионных соединений в многокомпонентных гетерогенных высокотемпературных системах, к которым относятся спектральные источники, является, по нашему мнению, метод равновесного термодинамического моделирования [2]. Он заключается в анализе термохимического поведения таких систем, базирующемся на расчете их полного равновесного химического состава. Расчет проводится на основании известного исходного химического состава систем с использованием их некоторых физических параметров (например, давления и температуры) и учетом большинства потенциально возможных в равновесии нейтральных и заряженных атомных и молекулярных компонентов.
Для расчетов квазиравновесного состава термодинамической системы плазменного спектрального источника требуется [1] надежный алгоритм моделирования, задание давления (обычно оно точно известно), температуры (известной или предполагаемой), полного (основного и примесного) исходного качественного и количественного ее химического состава. Расчеты основаны на максимизации энтропии или минимизации энергии Гиббса всей системы с применением обширных банков термодинамических свойств всех учитываемых в расчетах индивидуальных веществ (нейтральных и заряженных). Используемые в расчетах основные справочные термодинамические функции (энтропия, энтальпия, теплоемкость, энергия Гиббса) газообразных индивидуальных веществ (атомов, молекул, атомных и молекулярных ионов) точно определяются через их температурные зависимости статистических сумм по состояниям.
Индуктивно связанная плазма (ИСП) в настоящее время успешно и очень широко применяется как спектральный источник для элементного анализа методом атомно-эмиссионной спектрометрии, элементного и изотопного анализа методом масс-спектрометрии (МС-ИСП). Ранее в серии работ [3–6] была предложена, обоснована и разработана многокомпонентная квазиравновесная термодинамическая модель ИСП, применяемой в атомном спектральном анализе, для практического изучения и прогнозирования ее поведения при вариации операционных параметров. При расчете равновесного химического состава ИСП, реализуемой с трехпотоковой плазменной горелкой, для термодинамической модели МС-ИСП в итоге были приняты следующие основные допущения [1]:
– рассматривается только центральная (аналитическая) зона на оси разряда, в которую транспортирующим потоком аргона (или другого газа) вводится аэрозоль анализируемой пробы и из которой идет отбор плазмы в интерфейс масс-спектрометра;
– в аналитической зоне выполняются условия локального термодинамического равновесия (квазиравновесное состояние);
– исходные компоненты модельной квазиравновесной термодинамической системы равномерно распределены по объему аналитической зоны;
– в аналитической зоне аэрозоль пробы полностью испаряется;
– плазма находится под внешним давлением 0.1013 МПа;
– в различных участках аналитической зоны могут реализовываться разные температуры плазмы, определяемые операционными условиями анализа и конструкцией горелки (продольная неизотермичность факела плазмы);
– исходный состав термодинамической системы (рабочего тела) определяется из соотношения массовых скоростей (г/мин) введения составляющих плазмы в горелку (аргон или другой транспортирующий газ и аэрозоль анализируемого раствора, содержащий растворитель, кислоты, матричные и примесные компоненты пробы);
– отсутствует смешивание центрального транспортирующего аэрозоль потока газа с другими потоками аргона в трехпотоковой плазменной горелке;
– компоненты окружающего воздуха в аналитическую зону факела плазмы не попадают;
– введение матричных элементов пробы изменяет температуру плазмы незначительно;
– степень двухкратной ионизации атомов принимается значимой только для элементов с самыми низкими вторыми потенциалами ионизации их атомов;
– экстракция ионов из плазмы разряда в интерфейс, ионную оптику и регистрирую щую систему масс-спектрометра дает представительную пробу ионов изучаемой аналитической зоны факела плазмы (регулируется расстоянием между индуктором и отверстием пробоотборного конуса интерфейса).
Неоднократно проверенная по многим экспериментальным данным термодинамическая модель [1] МС-ИСП обеспечивает возможность вычисления при различной температуре полного равновесного химического состава плазмы, попадающей в интерфейс прибора. Модель учитывает различия в исходном качественном и количественном химическом составе термодинамических систем, реализуемых в МС-ИСП: любые типы и расходы транспортирующего газа, растворителя (в том числе кислотный состав пробы), матричных, определяемых и сопутствующих элементов анализируемых образцов, наличие различных температурных зон вдоль факела плазмы.
Уже первоначальное применение модели [3] показало ее достаточно широкие возможности по расчету концентрации электронов и степени ионизации атомов аналитов при любом элементном составе плазмы, варьировании температуры (мощности разряда), расходов транспортирующего потока аргона и скорости подачи аэрозоля. По результатам данных расчетов, а также термодинамического моделирования ионизационных помех [4] подтверждена правомерность применения предложенной модели для исследования аналитических характеристик ИСП и предложен унифицированный расчетный режим (алгоритм расчета).
В работе [7] с помощью данной модели рассмотрены различные термодинамические системы аргон–вода–аналит–матричный элемент (Mt), реализуемые в методе МС-ИСП в температурном диапазоне 6000–8000 К. Одновременно изучено термохимическое поведение аналитов и/или матриц с близкими первыми потенциалами ионизации атомов и резко различными атомными массами или с близкими атомными массами, но существенно различными первыми потенциалами ионизации. Рассчитаны изменения парциальных давлений ионов аналитов в зависимости от температуры в присутствии различных количеств матричных элементов в плазме, а также парциальных давлений основных ионов, определяющих ионный ток (Ar+, H+, O+, Mt+) в МС-ИСП. Это дало возможность, кроме моделирования условий образования ионов аналитов в ИСП, рассчитать и возможное снижение сигнала аналитов из-за эффектов, возникающих при транспортировке ионов в ионном пучке после интерфейса (кулоновское расталкивание ионов). Установлены основные закономерности матричных неспектральных помех за счет процессов в плазме и в ионном пучке. Показана высокая степень совпадения экспериментальных и расчетных результатов.
В работе [5] с помощью данной модели рассчитана эффективность ионизации атомов 75 элементов в аргоновой ИСП для реальных исходных составов плазм и сделан вывод, что эти результаты полезны для повышения точности многоэлементного полуколичественного анализа методом ИСП. Показана возможность проведения моделирования термохимических процессов в гелиевой МС-ИСП.
В работе [8] для реальных составов плазм выполнено термодинамическое моделирование образования в аргоновой ИСП дважды заряженных атомных ионов М2+ (или M++), что приводит к некоторому повышению пределов обнаружения элементов по однозарядным атомным ионам и вносит серьезные спектральные помехи. Установлено, что эффективность образования дважды заряженных ионов однозначно определяется вторым потенциалом ионизации атомов аналитов. Рассчитаны эффективности образования атомных ионов М2+ многих элементов Периодической системы при различных температурах ИСП.
Эффективность образования отрицательных основных фоновых ионов и ионов F-, Cl-, Br- и I- в ИСП изучена в работе [9] с использованием термодинамического моделирования при температурах от 4000 до 9000 К. Показано, что основными отрицательными фоновыми ионами в ИСП являются O–, H–, OH– и, вероятно, Ar–, что соответствует эксперименту. Расчетная общая концентрация отрицательных ионов в ИСП составляет величины, на четыре-пять порядков меньшие, чем для положительных ионов. Наибольшая эффективность образования отрицательных ионов должна наблюдаться для элементов, имеющих высокое сродство к электрону.
Таким образом, основное внимание при термодинамическом моделировании термохимических процессов в ИСП ранее уделялось поведению ионов аналитов и матричных элементов при различных операционных параметрах разряда. Однако в квазиравновесной плазме при постоянном ионно-молекулярном взаимодействии данные ионы существуют совместно со всеми фоновыми ионами ИСП, содержание которых в плазме на много порядков больше, чем ионов аналитов и матричных компонентов пробы [1]. Фоновые ионы образуются главными элементами рабочего газа, воды, кислот и воздуха (чаще всего H, C, N, O и Ar) при вводе в факел плазмы водного (“влажного”) аэрозоля и имеют наиболее высокую интенсивность в любых масс-спектрах аналитической МС-ИСП. В связи с этим правильность полученных результатов термодинамического моделирования и точность полученных практических аналитических оценок может быть существенно улучшена, если станет возможно теоретически определять и количественный состав основных фоновых ионов, образующихся в ИСП в наибольших концентрациях и проявляющихся в спектрах МС-ИСП максимальной интенсивностью ионных пиков.
Первая попытка моделирования состава основных фоновых ионов в приложении к методу МС-ИСП выполнена в работе [10], где метод термодинамического моделирования впервые использован для изучения состава низкотемпературной (“холодной”) ИСП и процесса транспорта ионов в ней. Равновесный химический состав ИСП рассчитан для температурного диапазона 2500–4500 К по экспериментальным данным [11]. Согласно расчетам, соотношения концентраций (см–3) ионов NO+, O2+, H3O+, H2O+, OH+, O+ и Ar+ качественно соответствуют соотношению экспериментальных интенсивностей (импульс/с) данных ионов, наблюдаемых в масс-спектрах “холодной” плазмы МС-ИСП для диапазона расчетных плазменных температур 2750–3500 К. Расчетами подтверждено снижение полного ионного сигнала ИСП на два-три порядка величины по сравнению с условиями нормальной (“горячей”) плазмы. Тео ретически определены отношения парциальных давлений О+/H2O+, OH+/H2O+, H3O+/H2O+, NО+/NO2+, которые позволяют оценивать газокинетическую температуру плазмы по экспериментальным интенсивностям этих пар ионов.
Такой способ оценки газокинетической температуры плазмы базируется [12–14] на измерении экспериментального отношения концентраций пары указанных выше или других ионов, расчете экспериментальной температурной константы равновесия соответствующей термохимической реакции, в которой они участвуют, и сопоставлении с теоретическими значениями константы, рассчитанными для разных температур по фундаментальным молекулярным и атомным статистическим данным. Например, экспериментальная температурная константа равновесия КT(NO2+) для реакции диссоциации NO2+ = NO+ + O составляет
КT(NO2+) = [NO+]∙[O] / [NO2+],
где [NO+], [O] и [NO2+] – равновесные концентрации компонентов в плазме разряда при температуре T. Отношение концентраций [NO+]/[NO2+] можно определить экспериментально, исходя из соотношения ионных сигналов данных компонентов, приняв с большой долей вероятности, что оно соответствует отношению концентраций этих ионов в плазме разряда. Концентрацию атомарного кислорода можно косвенно рассчитать по количеству воды, попавшей из водного аэрозоля в плазму разряда [14].
Для метода МС-ИСП этот прием уже использовали неоднократно, например [12–14]. К сожалению, газокинетические температуры плазмы, определенные подобным способом, существенно различаются для разных пар ионов. Так, например, для конкретных операционных условий “холодной” плазмы с использованием ионных пар ArO+/O+, Ar2+/Ar+, ArN+/N+, OH+/O+, H2O+/OH+, H3O+/H2O+, ArH+/Ar+, O2+/O+ и NO+/N+ в работе [14] определен температурный диапазон от 1040 К (ArO+/O+) до 4050 К (NO+/N+). Конечно, такой способ определения газокинетической температуры плазмы можно признать лишь грубой и неоднозначной ее оценкой, хотя он достаточно часто применяется на практике.
Большие расхождения газокинетических температур плазмы, найденных подобным способом, связаны, с одной стороны, с погрешностями определения реальных концентраций ионов плазмы (спектральные помехи, дискриминация ионов по массе), приблизительными оценками концентраций нейтральных частиц по косвенным данным и, главное, с тем, что эффективность образования разных типов ионов различна даже в соседних осевых участках плазмы (продольная неизотермичность), одновременно попадающих в интерфейс прибора МС-ИСП. С другой стороны, в таких оценках газокинетической температуры плазмы рассматривается только одна из множества возможных в ИСП ионно-молекулярных реакций. Следовательно, необходимо создание подхода, не связанного в первую очередь с оценками концентраций частиц, прямо не измеряемых в МС-ИСП, а также с сопоставлением с теоретической константой равновесия отдельной ионно-молекулярной реакции. Во-вторых, этот подход должен при оценке газокинетической температуры и определении других физических свойств плазмы, учитывать одновременно большое число видов ионов, поступающих в интерфейс из различных участков плазмы и регистрируемых экспериментально прибором.
Количественно определить достоверность термодинамического моделирования для фонового ионного состава “холодной” ИСП в работе [10] не удалось, так как отсутствовала необходимая для проведения расчетов информация по термохимическим и термодинамическим свойствам ряда основных фоновых ионов и их прекурсоров в ИСП. Основными мы называем фоновые ионы ИСП, образованные главными элементами плазмы (H, N, O и Ar) и имеющие наиболее высокую интенсивность в ее масс-спектре: H+, H2+, H2+, H3+, N++, O++, N+, NH+, O+, NH4+, OH+, H2O+, H3O+, Ar++, N2+, NO+, O2+, Ar+, ArH+, N2O+, NO2+, ArN+, ArO+ и Ar2+. В масс-спектре ИСП присутствуют и другие фоновые ионы, например [15, 16]: С++, С+, CH+, С2+, C2H+, C2H2+, CN+, CNH+, C2H3+, CO+, C2H4+, N2H+, COH+, C2H5+, CH3N+, N2H2+, COH2+, C2H5+, CH4N+, NOH+, NOH2+, O2H+, O2H2+, O2H5+, ArH2+, N3+, CO2+, CO2H+, N2OH+, ArC+, ArCH+, ArOH+, ArN2+, ArNO+, ArNOH+, ArCNH+, ArCO+, ArO2+, ArO2H+, Ar2H+ и др. Углеродсодержащие ионы, выделенные в этом списке курсивом, также относятся к основным фоновым ионам МС-ИСП и их присутствие в плазме (в случае изучения проб, содержащих органические компоненты) может быть учтено в расчетах термодинамического моделирования, поскольку необходимая термодинамическая информация по этим ионам имеется в базах данных программных комплексов моделирования. Остальные указанные в списке фоновые ионы имеют низкую интенсивность в масс-спектрах МС-ИСП, что связано с их малой концентрацией в плазме разряда. В связи с этим отсутствие учета этих ионов в расчетах термодинамического моделирования практически не скажется на равновесных концентрациях основных фоновых ионов, матричных ионов проб и ионов аналитов.
В работе [17], посвященной расширению возможностей термодинамического моделирования термохимических процессов в ИСП, сделан вывод о необходимости накопления информации о термодинамических характеристиках разнообразных газообразных полиатомных ионов, образуемых в ИСП. В первую очередь это касается оксидных, гидридных, гидроксидных, аргидных. карбидных, нитридных и галогенидных ионов, необходимая справочная термодинамическая информация по которым пока существенно ограничена. Включение этих индивидуальных веществ в теоретическую модель позволит повысить качественную и количественную точность термодинамического моделирования для метода МС-ИСП, надежно описывать термохимические процессы для различных режимов работы ИСП, прогнозировать и учитывать спектральные помехи полиатомных ионов, более точно оценивать температуру плазмы, расширить круг теоретически решаемых аналитических задач.
За последние годы описаны термодинамические свойства ряда основных фоновых ионов и их прекурсоров, которые могут образоваться в ИСП: Ar2 и Ar2+ [18], ArH и ArH+ [19], ArO и ArO+ [20], ArN и ArN+ [21]. Это позволило вернуться к термодинамическому моделированию основного фонового ионного состава низкотемпературной (“холодной”) ИСП с целью количественного сопоставления с экспериментальными данными, дальнейшей проверки работоспособности термодинамической модели МС-ИСП и расширения ее возможностей при изучении термохимических процессов в ИСП и решении практических аналитических задач.
Проведение термодинамического моделирования
Экспериментальные данные для проверки расчетов. Для проведения термодинамического моделирования за основу взяли экспериментальные данные работ [11, 22]. Статья [22] посвящена изучению ионизационного и матричного подавления сигналов аналитов в условиях “холодной” плазмы, что являлось важным для определения проблемных для метода МС-ИСП с точки зрения спектральных помех элементов Fe, Ca, K, Na и Li на уровне следов. Для создания условий “холодной” плазмы с помощью промышленного прибора Elan 6000 использовали высокочастотную мощность W = 600 Вт и скорость транспортирующего аэрозоль потока аргона VAr = 1.08 л/мин. Ввод пробы (0.1 мас. % азотной кислоты в деионизованной воде) осуществляли при комнатной температуре с помощью поперечно-потокового распылителя GemTipTM и стандартной коррозионно-устойчивой распылительной камеры двойного прохождения RytonTM. Вторичный разряд постоянного потенциала факела плазмы на заземленный пробоотборный конус интерфейса (сэмплер) был конструктивно подав лен. При этих операционных условиях полный ионный сигнал был ниже примерно на три порядка, чем для условий нормальной плазмы (W = 1200 Вт, VAr = 0.77 л/мин) с доминированием в масс-спектре “холодной” ИСП ионов H2O+, H3O+, NO+ и O2+.
Работа [11] посвящена ионизационному и матричному подавлению сигналов аналитов (K, Ca, Fe) в условиях “холодной” плазмы в методе МС-ИСП с использованием той же приборной базы и при тех же операционных условиях анализа, как в работе [22]. Кроме того, авторы работы [11] варьировали исходное содержание азотной кислоты в анализируемом фоновом растворе в диапазоне 0.005–4 мас. %. В фоновом масс-спектре “холодной” ИСП интенсивность ионов H2O+, H3O+, NO+ и O2+ была значительно выше, чем интенсивность других основных фоновых ионов (в условиях нормальной плазмы доминируют ионы O+, Ar+, ArH+). Уровень ионизации в “холодной” плазме ниже на два-три порядка по сравнению с условиями нормальной плазмы (полный ионный сигнал 1010 относительно 4 × 107 импульс/с). Газокинетическая температура для условий “холодной” плазмы оценена как 1450 К. Эта температура, по мнению авторов работы [11], относится к плазме прямо на фронте апертуры пробоотбора, когда она экстрагируется через сэмплер.
В работах [11, 22] приведены фоновые масс-спектры “холодной” ИСП в диапазоне от 6 до 84 а. е. м., позволившие нам количественно оценить интенсивность основных фоновых ионов для последующего сравнения с концентрациями соответствующих ионов, полученных по результатам термодинамического моделирования. Кроме того, авторы работ [11, 22], изучив относительную чувствительность определения различных элементов (импульс/с)/(моль/л) пришли к заключению, что в условиях “холодной” плазмы она определяется фактически только первым потенциалом ионизации атомов этих элементов и не зависит от дискриминации ионов по массе (эффект mass bias). Это позволяет проводить прямое сравнение расчетных и экспериментальных зависимостей по концентрациям и интенсивностям ионов в плазме без корректировки на эффект дискриминации масс [23].
В качестве сравнительного эксперимента мы также использовали данные по основному фоновому масс-спектру МС-ИСП, приведенному в работе [24]. Данная работа посвящена определению Li, Na, Mg, K, Ca и Fe с использованием прибора PlasmaQuad II Turbo+ с защитой плазмы горелки от вторичного разряда в условиях “холодной” плазмы: потребляемая мощность 620 Вт, скорость транспортирующего потока аргона 0.89 л/мин, V-образный распылитель (с канавкой), скорость подачи пробы 1 мл/мин, распылительная камера Scott двойного прохождения с охлаждением до 1°С. В этих операционных условиях анализа, максимально близких к использованным в работах [11, 22], авторами получен фоновый спектр ионов ИСП при введении воды. В работе [24] приведен основной фоновый спектр в диапазоне от 16 до 58 а. е. м.
Оцифровка нами фонового спектра из работы [24] и его сопоставление с фоновыми спектрами, полученными в работах [11, 22], показали, что интенсивности основных фоновых ионов в зависимости от соотношения массы к заряду иона m/z (сравнивали совпадающий диапазон данных от 16 до 41 а. е. м.), приведенные в этих работах, меняются практически синхронно (рис. 1). При этом коэффициент корреляции R между этими данными составляет 0.96. Такое высокое значение коэффициента R позволяет при сравнении расчетных и экспериментальных данных ориентироваться на любую из публикаций [11, 22, 24].
Рис. 1. Сопоставление логарифмов интенсивности lgI (импульс/с) основных фоновых ионов c различными соотношениями m/z для режима “холодной” плазмы в работах [11, 22] (1) и [24] (2).
Проведение расчетов. В настоящей работе термодинамическое моделирование проводили с использованием программного комплекса Terra [25, 26] с базой термодинамических данных ИВТАНТЕРМО [27], в которую дополнительно вводили комплекты термодинамических свойств из работ [18–21]. Учитываемые в расчетах равновесия нейтральные и заряженные индивидуальные вещества приведены в табл. 1.
Таблица 1. Учитываемые в расчетах термодинамического равновесия индивидуальные вещества
Нейтральные | Заряженные |
e– | |
H, H2 | H+, H-, H2+, H3+ |
N, N2, N3, NH, NH2, NH3, N2H2, N2H4, HN3, NO, NO2, N2O, N2O3, N2O4, N2O5, HNO, HNO2, HNO3, NH3O, N2H2O2 | N+, N2+, NH+, NO+, NO2+, NO2–, NO3– |
O, O2, O3 | O+, O–, O2+, O2– |
OH, HO2, H2O, H2O2 | OH+, OH–, H2O+, HO2–, H3O+ |
Ar, Ar2, ArH, ArN, ArO | Ar+, Ar2+, Ar++, ArH+, ArN+, ArO+ |
Исходный состав термодинамической системы, численно равный материальным потокам веществ, задан согласно работам [11, 22] и приведен в табл. 2. Количество аргона соответствует его транспортирующему потоку в плазменной горелке. Количество воды определяется скоростью ее ввода в распылитель и принятой эффективностью распылительной аэрозольной системы 2%. Количество азотной кислоты соответствует ее содержанию в фоновом растворе – 0.1 мас. %.
Расчеты для “холодной” плазмы проводили при атмосферном давлении 0.1 МПа в диапазоне от 2000 до 5000 К с шагом 500 К. Для сравнения также выполняли расчеты для нормальной плазмы (табл. 2) в диапазоне температур 5000–8000 К с шагом 500 К. По результатам расчетов получили зависимости концентраций всех индивидуальных веществ (см–3, т.е. число частиц в единице объема), учитываемых в расчетах, от температуры плазмы. Это позволяет проводить прямое сопоставление расчетных температурных концентрационных зависимостей для ионов с экспериментально измеренными интенсивностями соответствующих ионных пиков, поскольку ионный ток соответствует суммарному числу индивидуально зарегистрированных детектором единичных зарядов от каждого иона.
Таблица 2. Исходный состав термодинамической расчетной системы
Исходный компонент | Массовая доля | Примечание | |
“холодная” плазма | нормальная плазма | ||
Ar | 1.928 | 1.375 | |
H2O | 0.02 | 0.02 | Выполнены также расчеты при варьировании массового соотношения Ar : H2O от 120 до 40 и постоянном массовом соотношении H2O : HNO3 1000 : 1 |
HNO3 | 0.00002 | 0.00002 | Выполнены также расчеты при варьировании массового соотношения H2O : HNO3 от 10 000 до 25 |
Результаты и их обсуждение
Результаты термодинамических расчетов, проведенных для “холодной” и нормальной аргоновой ИСП, приведены на рис. 2. Для условий “холодной” плазмы в температурном диапазоне 2000–3500 К прогнозируется значительное возрастание концентрации всех основных фоновых ионов с ростом температуры плазмы (рис. 2а), а максимальная концентрация ожидается для ионов H+, O+, OH+, H2O+, H3O+, NO+, O2+ и ArH+. Это хорошо согласуется с данными экспериментальных работ [11, 22, 24] (но в этих работах нет данных по H+). При дальнейшем повышении температуры рост концентраций основных фоновых ионов замедляется, а концентрационные зависимости для H2O+ и H3O+ проходят через максимум.
Для условий нормальной плазмы в температурном диапазоне 5000–8000 К с ростом температуры прогнозируется снижение концентрации ионов H2O+ и H3O+, в то время как для остальных фоновых ионов должно происходить постепенное повышение их концентраций (рис. 2б). При этом максимальные концентрации ионов в ИСП должны наблюдаться для H+, O+, Ar+ и ArH+. Для средних температур диапазонов “холодной” (3000–4000 К) и нормальной (6000–7000 К) плазм суммарный ионный сигнал должен различаться на 3.0–3.5 порядка величины. Таким образом, расчетные данные вновь хорошо подтверждают эксперимент [11, 22].
Рис. 2. Изменение расчетных логарифмов концентраций lgn(Х) (см–3) различных основных фоновых ионов Х в зависимости от температуры T (K) для условий “холодной” (a) и нормальной (б) аргоновой индуктивно связанной плазмы. Массовое соотношение Ar : H20 = 96 : 1.
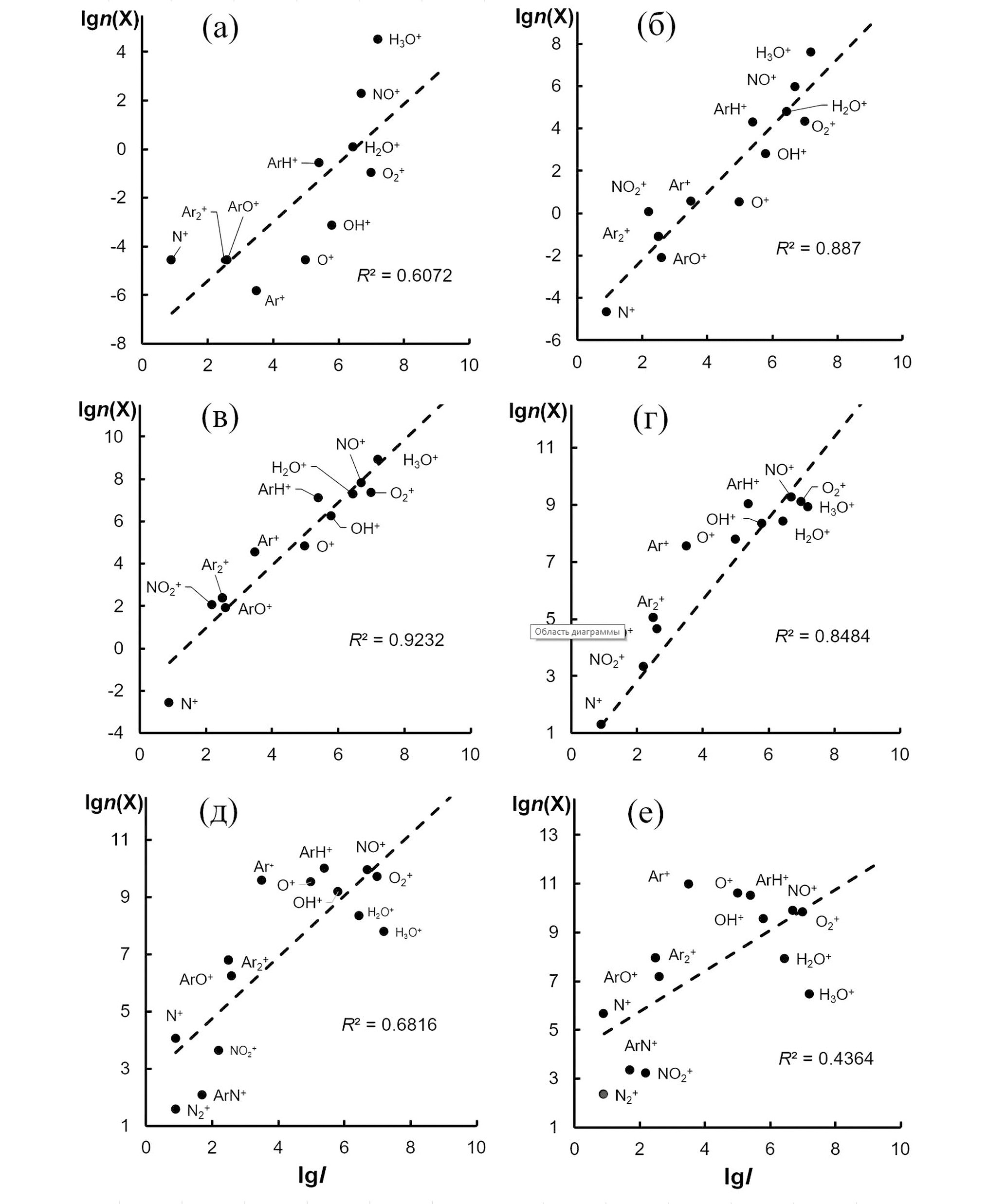
Для проверки правильности проведения расчетов термодинамического моделирования и получения однозначной оценки экспериментальной газокинетической температуры ИСП предложено сопоставлять одновременно концентрации всех учитываемых в расчетах основных фоновых ионов и экспериментально измеренные [11, 22] их сигналы при различных расчетных температурах “холодной” плазмы. Такое сопоставление иллюстрирует рис. 3. Хорошо видно, что наилучшая корреляция сравниваемых экспериментальных и теоретических данных (коэффициент детерминации R2 = 0.92) достигается при температуре плазмы 3000 К. Данную температуру можно считать однозначной оценкой газокинетической температуры ИСП при указанных выше экспериментальных операционных условиях анализа (табл. 1).
Рис. 3. Сопоставление рассчитанных логарифмов концентраций lgn(Х) (см–3) фоновых ионов Х с логарифмами экспериментальных интенсивностей [11, 22] lgI (импульс/с) этих ионов, а также коэффициенты детерминации R2 между расчетными и экспериментальными данными при различной расчетной температуре Т “холодной” плазмы, К: (а) – 2000, (б) – 2500, (в) – 3000, (г) – 3500, (д) – 4000, (е) – 4500.
На рис. 4 наглядно сопоставлены теоретические и экспериментальные данные по содержанию фоновых ионов в “холодной” ИСП для расчетной температуры 3000 К. Наблюдаемые экспериментально сигналы некоторых основных фоновых ионов могли быть отягощены возможными спектральными помехами при измерении сигналов данных ионов 14N+ (12C1H2+), 14N2+ (12C16O+, 12C21H4+) и 40Ar14N+ (38Ar16O+) [15]. Расчеты дают в этих условиях очень низкие концентрации указанных основных фоновых ионов, в то время как экспериментально наблюдаются сигналы малой интенсивности для данных соотношений m/z.
Рис. 4. Гистограмма сопоставления рассчитанных (столбики) логарифмов концентраций lgn(Х) (см–3) фоновых ионов Х с логарифмами экспериментальных интенсивностей (точки) lgI (импульс/с) этих ионов [11, 22] при расчетной температуре “холодной” плазмы 3000 К.
Необходимо также отметить, что численные значения расчетной концентрации основных фоновых ионов (см–3) превышают значения экспериментально измеренных интенсивностей фоновых ионов (импульс/с) на три порядка величины. Это связано с тем, что в приборах МС-ИСП происходят потери ионов при их передаче из факела плазмы в интерфейс, транспортировке ионов в интерфейсе, ионно-оптической системе и масс-анализаторе, а также при регистрации ионного тока вакуумным электронным умножителем. Такие потери для МС-ИСП на указанных этапах передачи ионного потока по расчетам в работе [28] суммарно приводят к снижению эффективности транспортировки и регистрации ионов на три-четыре порядка величины.
При вариации расчетного массового соотношения H2O : HNO3 в диапазоне от 10 000 до 25 (массовое соотношение между потоками аргона и воды при этом оставалась неизменным и равным 96, табл. 2) изменения коэффициента детерминации R2 между рассчитанными логарифмами концентраций n(Х) (см–3) всей совокупности рассматриваемых фоновых ионов Х и логарифмами экспериментальных интенсивностей I этих ионов [11, 22] при различной расчетной температуре Т “холодной” плазмы практически не происходит (рис. 5).
Рис. 5. Изменение коэффициента детерминации R2 между рассчитанными логарифмами концентраций фоновых ионов (см–3) и логарифмами экспериментальных интенсивностей (импульс/с) этих ионов [11, 22] в зависимости от температуры “холодной” плазмы T при различных массовых соотношениях H2O : HNO3: 1 – 10 000, 2 – 1000, 3 – 100, 4 – 25.
При изменении массового соотношения Ar : H2O в диапазоне от 120 до 40 (обычное соотношение составляет 96) и постоянном соотношении H2O : HNO3 = 1000 (табл. 2) наблюдаются лишь небольшие различия в зависимостях расчетных концентраций фоновых ионов от температуры “холодной” плазмы (рис. 6).
Рис. 6. Изменение расчетных логарифмов концентраций lgn(Х) (см–3) различных фоновых ионов Х в зависимости от температуры T (K) для условий “холодной” плазмы при различных массовых соотношениях Ar : H2O: (а) – 40 (0.8 л/мин аргона) и (б) – 120 (2.4 л/мин аргона).
Таким образом, при вариации расходов аргона, воды и азотной кислоты в термодинамической системе ИСП в достаточно широких пределах зависимости типа представленной на рис. 4 сохраняются. Следовательно, даже в случае неточного определения экспериментального соотношения компонентов системы аргон–вода–кислота из-за неизвестной эффективности распылительной системы все отмеченные выше закономерности сохранятся.
Результаты термодинамического моделирования состава основных фоновых ионов МС-ИСП в режиме “холодной” плазмы и сопоставления с соответствующими экспериментальными данными позволяют сделать следующие выводы:
- Разработанная ранее термодинамическая модель термохимических процессов в плазме МС-ИСП вновь продемонстрировала свою надежность, применимость и возможность дальнейшего развития.
- Опубликованные недавно результаты расчета термодинамических свойств для индивидуальных веществ Ar2, Ar2+, ArH, ArH+, ArO, ArO+, ArN и ArN+ показали свою достоверность.
- Появилась возможность выполнять термодинамическое моделирование термохимических процессов в МС-ИСП с учетом присутствия в системе основных фоновых ионов, что может повысить достоверность моделирования, например при прогнозировании помех аргидных ионов и поведения аналитических ионов.
- Близость экспериментальных данных МС-ИСП и результатов термодинамического моделирования термохимических процессов в индуктивно связанной плазме может свидетельствовать о том, что в режиме “холодной” плазмы все основные фоновые ионы образуются непосредственно в плазме разряда.
- Предложен подход для однозначной оценки газокинетической температуры плазмы путем сопоставления расчетных и экспериментальных данных по концентрациям основных фоновых ионов в ИСП, учитывающий одновременно большое число рассматриваемых ионов.
- Для конкретных операционных условий анализа оценена газокинетическая температура “холодной” ИСП.
- Алгоритм термодинамического моделирования термохимических процессов для метода МС-ИСП можно дополнить следующим условием: в расчетах термодинамического равновесия в ИСП необходимо учитывать присутствие всех основных фоновых ионов.
* * *
Метод термодинамического моделирования можно успешно применять для описания термохимических процессов в приборах МС-ИСП в режиме “холодной” плазмы для получения информации о поведении основных фоновых ионов, ионов матрицы и аналита пробы в условиях широкого варьирования температурного режима плазмы и химического состава системы (транспортирующий газ, скорость ввода пробы, вид растворителей, концентрации матричных элементов и ана лита).
Финансирование работы
Работа выполнена по госзаданию Института металлургии Уральского отделения Российской академии наук.
Конфликт интересов
Авторы данной работы заявляют, что у них нет конфликта интересов.
Sobre autores
A. Pupyshev
Ural Federal University
Autor responsável pela correspondência
Email: pupyshev@gmail.com
Rússia, Yekaterinburg
P. Zaitceva
Ural Federal University; Institute of Metallurgy. Ural Branch of Russian Academy of Sciences
Email: pupyshev@gmail.com
Rússia, Yekaterinburg; Yekaterinburg
M. Burylin
Kuban State University
Email: pupyshev@gmail.com
Rússia, Krasnodar
M. Maltsev
Joint Institute for High Temperatures, Russian Academy of Sciences; Moscow Institute of Physics and Technology
Email: pupyshev@gmail.com
Rússia, Moscow; Dolgoprudny
I. Morozov
Joint Institute for High Temperatures, Russian Academy of Sciences; Moscow Institute of Physics and Technology
Email: pupyshev@gmail.com
Rússia, Moscow; Dolgoprudny
E. Osina
Joint Institute for High Temperatures, Russian Academy of Sciences
Email: pupyshev@gmail.com
Rússia, Moscow
Bibliografia
- Пупышев А.А., Суриков В.Т. Масс-спектрометрия с индуктивно связанной плазмой. Образование ионов. Екатеринбург: УрО РАН, 2006. 276 с.
- Белов Г. В. Термодинамическое моделирование: методы, алгоритмы, программы. М.: Научный мир, 2002. 184 с.
- Пупышев А.А., Луцак А.К., Музгин В.Н. Термодинамическое моделирование термохимических процессов в индуктивно связанной плазме // Журн. аналит. химии. 1998. Т. 53. № 7. С. 713. (Pupyshev A.A., Lutsak A.K., Muzgin V.N. Thermodynamic simulation of thermochemical processes in inductively coupled plasma // J. Anal. Chem. 1998. V. 53. № 7. P. 627.)
- Пупышев А.А., Луцак А.К. Термодинамическое моделирование ионизационных влияний в плазме индуктивно связанного разряда // Журн. аналит. химии. 1998. Т. 53. № 11. С. 1141. (Pupyshev A.A., Lutsak A.K. Thermodynamic simulation of ionization effects in inductively coupled plasma // J. Anal. Chem. 1998. V. 53. № 11. P. 987.)
- Рupyshev A.A., Muzgin V.N., Lutsak A.K. Thermochemical processes and ion transport in inductively coupled plasma mass spectrometry: Theoretical description and experimental confirmation // J. Anal. At. Spectrom. 1999. V. 14. № 9. P. 1485. https://doi.org/10.1039/A902167A
- Пупышев А.А., Данилова Д.А. Разработка модели термохимических процессов для метода атомно-эмиссионной спектрометрии с индуктивно связанной плазмой // Аналитика и контроль. 2001. Т. 5. № 2. С. 112.
- Пупышев А.А., Васильева Н.Л., Голик С.В. Влияние матрицы в масс-спектрометрии с использованием индуктивно связанной плазмы // Журн. прикл. спектроск. 1998. Т. 65. № 5. С. 768. (Pupyshev A.A., Vasil'eva N.L., Golik S.V. Effect of the matrix in mass spectrometry using an inductively coupled plasma // J. Appl. Spectrosc. 1998. V. 65. № 5. P. 804. https://doi.org/10.1007/BF02679850)
- Pupyshev A.A., Semenova E.V. Formation of doubly charged atomic ions in the inductively coupled plasma // Spectrochim. Acta B: At. Spectrosc. 2001. V. 56. P. 2397. https://doi.org/10.1016/S0584-8547(01)00301-9
- Pupyshev A.A., Surikov V.T. Application of negative ions in inductively coupled plasma-mass spectrometry // Spectrochim. Acta B: At. Spectrosc. 2004. V. 59. P. 1021. https://doi.org/10.1016/j.sab.2004.05.011
- Pupyshev A., Lutsak A. The thermodynamical simulation of thermochemical processes in inductively coupled “cold” plasma mass-spectrometry // XIVth seminar on atomic spectrochemistry. Proceedings. High-Tatras – Podbanska, September 1998. P. 325.
- Tanner S.D. Characterization of ionization and matrix suppression in inductively coupled ‘cold’ plasma mass spectrometry // J. Anal. At. Spectrom. 1995. V. 10. P. 905. https://doi.org/10.1039/JA9951000905
- Nonose N.S., Matsuda N., Fudagawa N., Kubota M. Some characteristics of polyatomic ion spectra in inductively coupled plasma mass spectrometry // Spectrochim. Acta B: At. Spectrosc. 1994. V. 49. № 10. P. 955. https://doi.org/10.1016/0584-8547(94)80084-7
- Ebert C.H., Witte T.M., Houk R.S. Investigation into the behavior of metal-argon polyatomic ions (MAr+) in the extraction region of inductively coupled plasma-mass spectrometry // Spectrochim. Acta B: At. Spectrosc. 2012. V. 76. P. 119. https://doi.org/10.1016/j.sab.2012.06.046
- Houk R.S., Praphairaksit Narong. Dissociation of polyatomic ions in the inductively coupled plasma // Spectrochim. Acta B: At. Spectrosc. 2001. V. 56. P. 1069. https://doi.org/10.1016/S0584-8547(01)00236-1
- Пупышев А.А., Эпова Е.Н. Спектральные помехи полиатомных ионов в методе масс-спектрометрии с индуктивно связанной плазмой // Аналитика и контроль. 2001. Т. 5. № 4. С. 335.
- May T.W., Wiedmeyer R.H. A Table of polyatomic interferences in ICP-MS // At. Spectrosc. 1998. V. 19. № 5. P. 150. https://doi.org/10.46770/AS.1998.05.002
- Пупышев А.А., Луцак А.К. Расширение возможностей термодинамического моделирование термохимических процессов в плазме индуктивно связанного разряда // Журн. аналит. химии. 2002. Т. 57. № 8. С. 803. (Pupyshev A.A., Lutsak A.K. Extending the capabilities of the thermodynamic simulation of thermochemical processes in inductively coupled plasma discharge // J. Anal. Chem. 2002. V. 57. № 8. P. 672. https://doi.org/10.1023/A:1016813607161)
- Мальцев М.А., Морозов И.В., Осина Е.Л. Термодинамические свойства димеров аргона Ar2+ и Ar2 // Теплофизика высоких температур. 2019. Т. 57. № 1. С. 42. https://doi.org/10.1134/S0040364419010174 (Maltsev A., Morozov I.V., Osina E.L. Thermodynamic properties of Ar2+ and Ar2 argon dimers // High Temperature. 2019. V. 57. № 1. P. 37. https://doi.org/10.1134/S0018151X19010176)
- Мальцев М.А., Морозов И.В., Осина Е.Л. Термодинамические свойства ArH+ и ArH // Tеплофизика высоких температур. 2019. Т. 57. № 3. С. 367. https://doi.org/ 10.1134/S0040364419020121 (Maltsev M.A, Morozov I.V., Osina E.L. Thermodynamic Properties of ArH+ and ArH // High Temperature. 2019. V. 57. № 3. P. 335. https://doi.org/ 10.1134/S0018151X19020123)
- Мальцев М.А., Морозов И.В., Осина Е.Л. Термодинамические функции ArO и ArO+ // Теплофизика высоких температур. 2020. Т. 58. № 2. С. 202. https://doi.org/10.31857/S0040364420020131 (Maltsev A., Morozov I.V., Osina E.L. Thermodynamic functions of ArO and ArO+ // High Temperature. 2020. V. 58. № 2. P. 184. https://doi.org/10.1134/S0018151X20020133)
- Maltcev M.A., Aksenova S.A., Morozov I.V., Minenkov Y., Osina E.L. Ab initio calculations of the interaction potentials and thermodynamic functions for ArN and ArN+ // Comput. Chem. 2023. V. 44. № 12. P. 1189. https://doi.org/10.1002/jcc.27078
- Tanner S.D., Paul M., Beres S.A., Denoyer E.R. The application of cold conditions for the determination of trace levels of Fe, Ca, K, Na, and Li by ICP-MS // At. Spectrosc. 1995. V. 16. № 1. P. 16.
- Пупышев А.А., Сермягин Б.А. Дискриминация ионов по массе при изотопном анализе в методе масс-спектрометрии с индуктивно связанной плазмой. Екатеринбург: ГОУ ВПО УГТУ-УПИ, 2006. 132 с.
- Wollenweber D., Strassburg S., Wunsch G. Determination of Li, Na, Mg, K, Ca and Fe with ICP-MS using cold plasma conditions // Fresenius J. Anal. Chem. 1999. V. 364. P. 433. https://doi.org/10.1007/s002160051363
- Трусов Б.Г. TERR A. Программа термодинамического расчета состава фаз произвольных гетерогенных систем, а также их термодинамических и транспортных свойств. М.: МВТУ им. Н.Э. Баумана, 2005.
- Белов Г.В., Трусов Б.Г. Термодинамическое моделирование химически реагирующих систем. М.: МГТУ им. Н.Э. Баумана, 2013. 96 с.
- Belov G.V., Iorish V.S., Yungman V.S. IVTANTHERMO for Windows – database on thermodynamic properties and related software // Calphad. 1999. V. 23. № 2. P. 173. https://doi.org/10.1016/S0364-5916(99)00023-1
- Музгин В.Н., Емельянова Н.И., Пупышев А.А. Масс-спектрометрия с индуктивно-связанной плазмой – новый метод в аналитической химии // Аналитика и контроль. 1998. Т. 2. № 3–4. С. 3.
Arquivos suplementares






