Precipitation and flotation concentration of neodymium, erbium, and thulium ions by alkylbenzenesulfonic acid
- Authors: Zabolotnykh S.A.1, Denisova S.A.2, Kochneva Y.K.2, Raizer A.E.2
-
Affiliations:
- Institute of Technical Chemistry, Ural Branch, Russian Academy of Sciences
- Perm State National Research University
- Issue: Vol 79, No 5 (2024)
- Pages: 479-485
- Section: ORIGINAL ARTICLES
- Submitted: 09.12.2024
- Accepted: 09.12.2024
- URL: https://ogarev-online.ru/0044-4502/article/view/272523
- DOI: https://doi.org/10.31857/S0044450224050066
- EDN: https://elibrary.ru/utaaxp
- ID: 272523
Cite item
Full Text
Abstract
The possibility of using the commercially produced anionic surfactant alkylbenzenesulfonic acid for the precipitation and flotation extraction of neodymium(III), erbium(III), and thulium(III) ions was investigated. The effects of concentration and ratio of reacting components, content of sulfuric acid, and sodium hydroxide on the precipitation efficiency of metal ions were considered. The composition of the resulting compounds was determined and their conditional solubility products were calculated. Flotation conditions for metal ions with alkylbenzenesulfonic acid were optimized.
Full Text
Академик А.Е. Ферсман еще в 40-е годы XX века назвал редкоземельные металлы “витаминами промышленности”. Действительно, материалы, содержащие редкоземельные элементы (РЗЭ), являются ключевыми компонентами самых разных материалов и технологий. Их используют в производстве мощных постоянных магнитов, катализаторов для крекинга нефти, синтеза каучука и др. Введение РЗЭ в состав выпускаемой продукции придает ей уникальные свойства, которые используются в металлургии, приборостроении, машиностроении, радиоэлектронике, химической и оборонной промышленности, оптике и т.д. [1–4].
Источниками редкоземельных металлов преимущественно являются лопаритовые нефелиновые сиениты и апатит-нефелиновые руды, в которых РЗЭ присутствуют в качестве примесей [1, 2, 5]. Существуют методы непосредственного обогащения данных руд флотацией [1], но также целесообразно попутное извлечение РЗЭ из продуктов переработки (растворов выщелачивания) [6]. Одним из наиболее распространенных методов выделения РЗЭ является жидкостная экстракция [7–10], что обусловлено возможностью проведения экстракционных процессов в автоматическом режиме, а также применением трибутилфосфата и его аналогов как дешевых и эффективных экстрагентов. В зависимости от условий производства применяют также сорбционные [11] и осадительные методы [12], селективное окисление или восстановление [3]. Не менее перспективным для извлечения РЗЭ из продуктов переработки различного сырья является метод ионной флотации, который позволяет эффективно извлекать целевой продукт при его относительно низких концентрациях, характеризуется высокой скоростью процесса и экологической безопасностью.
В связи с тем, что редкоземельные элементы в растворах находятся преимущественно в виде катионов или гидроксокатионов, для их флотации выбирают соединения, содержащие анион, с которым ионы РЗЭ образуют малорастворимые гидрофобные комплексы или соли. В Санкт-Петербургском горном университете проведены обширные исследования процессов флотации соединений ионов редкоземельных элементов с анионогенным ПАВ додецилсульфатом натрия [4, 13]. Установлены формы существования РЗЭ в водных растворах в зависимости от рН [14, 15], рассчитаны термодинамические параметры ионной флотации из азотнокислых и хлоридных растворов [16–19], найдены условия разделения РЗЭ при их совместном присутствии [20–22]. Недостаток данного реагента – достаточно высокое значение pH извлечения ионов РЗЭ из растворов (рН > 6.0), в то время как источниками редкоземельных элементов являются растворы сернокислотного или азотнокислотного выщелачивания.
Нами в качестве реагента для ионной флотации редкоземельных элементов, рассмотрено близкое по составу к додецилсульфату натрия анионогенное поверхностно-активное вещество – алкилбензолсульфокислота (АБСК). Данное ПАВ предложено в качестве компонента расслаивающихся систем для экстракции [23, 24] и пенообразующей добавки в обогатительной флотации апатита [25]. Важным преимуществом АБСК является осаждение РЗЭ из растворов с рН < 6.0 [26]. В нашей предыдущей работе [27] показана возможность флотационного извлечения La(III), Sm(III) и Tb(III) с АБСК в виде простых солей состава РЗЭ(CnH2n+1C6H4SO3)3 в интервале рН от 1.5 до 5.0.
Цель данного исследования – оптимизация условий эффективного извлечения ионов Nd(III), Er(III) и Tm(III) алкилбензолсульфокислотой при осаждении и ионной флотации.
ЭКСПЕРИМЕНТАЛЬНАЯ ЧАСТЬ
Реактивы. Анионогенное ПАВ алкилбензолсульфокислота, марка А (ООО “КИНЕФ”, Россия) ТУ 2481-026-05766480-2006, общая формула CnH2n+1C6H4SO3Н, где n = 10–14, средняя молекулярная масса 320.9 г/моль, содержание основного вещества 96.8%. Раствор с концентрацией 0.1 М готовили растворением навески АБСК в дистиллированной воде. Точную концентрацию ПАВ устанавливали потенциометрически и титрованием раствором NaOH в присутствии бромкрезоловогого зеленого [28]. Растворы с концентрациями 0.01, 0.001, 0.0001 М получали соответствующим разбавлением.
Использовали нитраты неодима Nd(NО3)3, эрбия Er(NО3)3 и тулия Tm(NО3)3 ч. д. а (ТУ 6-09-4676-83). Растворы с концентрацией иона РЗЭ 0.1 М готовили растворением точной навески в дистиллированной воде. Концентрацию ионов редкоземельного элемента устанавливали комплексонометрическим титрованием с ксиленоловым оранжевым в присутствии уротропинового буферного раствора с рН 5.1 [29]. Растворы меньшей концентрации получали соответствующим разбавлением в день использования, во избежание гидролиза подкисляли раствором HNO3 до слабокислой реакции среды.
Растворы серной кислоты готовили разбавлением конц. H2SO4 х. ч., ρ = 1.83 г/мл (Сигма Тек, Россия), 0.1 М раствор NaOH готовили из фиксанала.
Процессы осаждения ионов РЗЭ с АБСК изучали в зависимости от мольного соотношения иона металла и реагента, концентраций компонентов, времени перемешивания растворов, кислотности среды. В химический стакан емк. 50.0 мл вносили 2.0 мл раствора РЗЭ, рассчитанные количества раствора АБСК, дистиллированную воду до общего объема 20.0 мл и перемешивали в течение 1–10 мин. Раствор отделяли через фильтр “синяя лента”, измеряли рНравн иономером Мультитест-101 и определяли остаточную концентрацию ионов РЗЭ.
Содержание ионов РЗЭ в различных образцах определяли фотометрически по градуировочному графику (ЮНИКО-1201, λ = 652–654 нм, l =1.0 см) [30].
Степень осаждения ионов РЗЭ (S, %) рассчитывали по формуле:
(1)
где cоРЗЭ – начальная концентрация ионов РЗЭ, М; cРЗЭ – концентрация ионов РЗЭ в фильтрате после осаждения, М.
Определение условного произведения растворимости. В фильтрате после осаждения устанавливали остаточное содержание ионов РЗЭ и АБСК. Концентрацию АБСК определяли спектрофотометрически по градуировочному графику (СФ-2000, λ = 224 нм, l =1.0 см) [31].
Значение условного произведения растворимости (ПРусл) находили по уравнению:
ПРусл=[РЗЭ3+ ]⋅[АБС–]3, (2)
где [РЗЭ3+] и [АБС–] – равновесные концентрации ионов редкоземельного металла и алкилбензолсульфонат-ионов в растворе над осадком, М.
Полученные осадки ионов РЗЭ с АБСК высушивали на воздухе до постоянной массы. Для термогравиметрического анализа осадков применяли термоанализатор TGA/DSC 1 (Mettler Toledo, Швейцария). Элементный анализ проводили на элементном анализаторе Vario EL Cube (Elementar, Германия).
Ионная флотация. Применяли механическую флотомашину ФМЛ 0.3 с объемом камеры 200.0 мл. Сбор пены осуществляли автоматически. В мерную колбу емк. 200 мл вносили 2.0 мл 0.1 М раствора иона РЗЭ, доводили до метки дистиллированной водой. Полученный раствор переносили во флотационную ячейку, вводили рассчитанное количество 0.1 М раствора АБСК, выдерживали в течение 3 мин для созревания осадка при постоянном перемешивании со скоростью 25 об/с, включали подачу воздуха с объемной скоростью 40 мл/мин и собирали пену, содержащую сублат. По окончании флотации в камерном растворе определяли рНравн и остаточное содержание ионов РЗЭ. Степень извлечения ионов РЗЭ (R, %) в сублате рассчитывали по формуле (1), где cоРЗЭ – начальная концентрация ионов РЗЭ, М; сРЗЭ – концентрация ионов РЗЭ в ячейке после флотации, М.
РЕЗУЛЬТАТЫ И ИХ ОБСУЖДЕНИЕ
Осаждение ионов редкоземельных элементов. При взаимодействии ионов неодима(III) с АБСК образуется сиреневый аморфный осадок, эрбия(III) – бледно-розовый, а тулия(III) – белый. Осадки легко коагулируются, после высушивания темнеют и представляют собой полупрозрачную пасту. Плохо растворимы в воде, но легко растворяются в 1.0 М растворе серной кислоты или органических растворителях (этанол, ацетон).
Увеличение содержания АБСК по отношению к ионам РЗЭ приводит к росту степени осаждения неодима, эрбия и тулия (табл. 1) при их концентрации в смеси 0.01 и 0.001 М. Для ионов Nd(III) и Er(III) степень осаждения максимальна при мольном соотношении РЗЭ : АБСК, равном 1 : 3, для Tm(III) 1 : 3.5. Дальнейшее увеличение содержания ПАВ приводит к образованию устойчивых суспензий, стабилизируемых избытком АБСК. При концентрациях ионов РЗЭ менее 0.001 М степень их осаждения существенно уменьшается вследствие растворимости и образования устойчивых суспензий. После осаждения ионов РЗЭ алкилбензолсульфокислотой при различных концентрациях и соотношениях компонентов рНравн фильтрата находится в интервале от 1.5 до 2.9. Для максимального осаждения неодима и эрбия достаточно 3 мин перемешивания, для тулия – 1 мин.
Таблица 1. Зависимость степени осаждения (S, %) ионов Nd(III), Er(III) и Tm(III) от мольных соотношений РЗЭ : алкилбензолсульфокислота (τ = 3 мин (Nd, Er), 1 мин (Tm))
РЗЭ : АБСК | Nd(III) | Er(III) | Tm(III) | |||||||||
1.0 × 10–3 М | 1.0 × 10–2 М | 1.0 × 10–3 М | 1.0 × 10–2 М | 1.0 × 10–3 М | 1.0 × 10–2 М | |||||||
pHравн | S, % | pHравн | S, % | pHравн | S, % | pHравн | S, % | pHравн | S, % | pHравн | S, % | |
1 : 1 | 3.0 | 19.92 | 2.0 | 19.09 | 2.9 | 43.76 | 2.0 | 36.78 | 2.9 | 38.60 | 2.0 | 27.29 |
1 : 2 | 2.7 | 53.56 | 1.7 | 53.50 | 2.7 | 60.87 | 1.7 | 60.08 | 2.7 | 65.15 | 1.7 | 58.86 |
1 : 3 | 2.7 | 86.41 | 1.5 | 91.88 | 2.7 | 91.05 | 1.6 | 91.83 | 2.5 | 88.66 | 1.6 | 88.83 |
1 : 3.5 | Суспензия | 1.5 | 98.24 | |||||||||
1 : 4 | Суспензия | |||||||||||
Образующиеся осадки выделены препаративно и исследованы методами химического, термогравиметрического и элементного анализа. Мольные соотношения иона металла и аниона ПАВ в соединениях для всех элементов близко к 1 : 3.3 (табл. 2). Можно предположить, что наличие небольшого избытка АБСК объясняется ее адсорбцией на поверхности осадка. Таким образом, образующиеся осадки представляют собой простые соли состава РЗЭ(CnH2n+1C6H4SO3)3. Предполагаемое уравнение реакции осаждения ионов редкоземельных элементов АБСК можно представить следующим образом:
РЗЭ3+ + 3CnH2n+1C6H4SO3– = РЗЭ(CnH2n+1C6H4SO3)3↓.
Таблица 2. Характеристики осадков лантанидов с алкилбензолсульфокислотой
Элемент | Содержание, мас.% | РЗЭ : АБСК | ПРусл | |||||||
РЗЭ | C | H | S | |||||||
теор.1 | эксп. | теор. | эксп. | теор. | эксп. | теор. | эксп. | |||
Nd | 13.07 | 11.432, 15.463 | 56.84 | 56.894 | 7.17 | 7.694 | 8.56 | 8.424 | 1 : 3.52 | 3.53 × 10–10 |
Er | 14.84 | 14.692, 15.563 | 55.68 | 54.234 | 7.02 | 7.584 | 8.38 | 8.054 | 1 : 3.32 | 3.74 × 10–10 |
Tm | 14.97 | 15.313 | 57.41 | 57.964 | 7.18 | 8.104 | 8.52 | 8.374 | 1 : 3.22 | 1.04 × 10–10 |
1Молярную массу (М) соединения рассчитывали для состава РЗЭ(CnH2n+1C6H4SO3)3; М алкилбензолсульфонат-иона равна 319.9 г/моль.
2Результаты спектрофотометрического анализа.
3Результаты термогравиметрического анализа. Считали, что в результате получаются оксиды РЗЭ (термоанализатор TGA/DSC 1 (Mettler Toledo)).
4Результаты элементного анализа (элементный анализатор Vario EL Cube (Elementar)).
Рассчитанные условные произведения растворимости полученных соединений для разных ионов близки, что затрудняет разделение РЗЭ за счет процессов осаждения−растворения.
При соотношении компонентов 1 : 3 изучено влияние содержания гидроксида натрия или серной кислоты на осаждение ионов. Зависимости степени осаждения ионов РЗЭ АБСК от рН среды имеют схожий вид (рис. 1):
- в интервале рН 2.0–6.0 степень осаждения составляет 85–95%, образуются преимущественно аморфные, легко коагулирующиеся осадки соединений ионов РЗЭ с алкилбензолсульфонат-ионами;
- при рН 8.0–12.0 степень осаждения составляет 89–97%, осадки также аморфные, но не коагулирующиеся, рыхлые, представляют собой преимущественно гидроксиды ионов РЗЭ;
- при рН 6.0–8.0 степень осаждения падает, что вызвано изменением состава образующихся осадков.
Рис. 1. Зависимость степени осаждения ионов Nd(III), Er(III) и Tm(III) алкилбензолсульфокислотой от рН среды (РЗЭ : АБСК = 1 : 3, cРЗЭ = 1.0 × 10–3 М, τ = 3 мин).
При введении серной кислоты в смеси 0.01 М растворов ионов Er(III) и Tm(III) c АБСК до концентрации 0.005 М наблюдается небольшой рост степени осаждения. Дальнейшее увеличение концентрации H2SO4 приводит к постепенному растворению осадков (табл. 3).
Таблица 3. Зависимость степени осаждения соединений ионов Er(III) и Tm(III) с алкилбензолсульфокислотой от концентрации серной кислоты (cРЗЭ = 1.0 × 10–2 М, РЗЭ : АБСК = 1 : 3)
Er(III) | Tm(III) | ||
c(H2SO4), М | S, % | c(H2SO4), М | S, % |
– | 91.83 | – | 88.83 |
0.005 | 98.37 | 0.005 | 95.13 |
0.05 | 90.33 | 0.05 | 89.46 |
0.1 | 84.45 | 0.1 | 79.97 |
0.2 | 79.08 | 0.2 | 72.67 |
0.5 | Суспензия | 0.5 | Суспензия |
Флотация солей ионов редкоземельных элементов с алкилбензолсульфокислотой. В табл. 4 представлены результаты флотационного извлечения ионов Nd(III), Er(III) и Tm(III) алкилбензолсульфокислотой в зависимости от мольного соотношения компонентов. Как видно, при увеличении количества АБСК при флотации до трехкратного избытка по отношению к ионам РЗЭ наблюдается рост степени извлечения РЗЭ. Дальнейшее повышение концентрации ПАВ приводит к обильному пенообразованию, что плохо сказывается на качестве флотации.
Таблица 4. Зависимость степени извлечения (R, %) ионов Nd(III), Er(III) и Tm(III) от количества алкилбензолсульфокислоты (cРЗЭ = 1.0 × 10–3 М, РЗЭ : АБСК = 1 : 3, τфл = 5 мин (Nd, Er), 7 мин (Tm))
РЗЭ : АБСК | Nd(III) | Er(III) | Tm(III) | |||
pHравн | R, % | pHравн | R, % | pHравн | R, % | |
1 : 1 | 3.0 | 17.86 | 3.3 | 38.95 | 2.8 | 44.03 |
1 : 2 | 2.8 | 55.97 | 2.9 | 67.27 | 2.4 | 61.55 |
1 : 3 | 2.7 | 90.54 | 2.6 | 92.62 | 2.2 | 88.08 |
1 : 3.5 | Избыток пены | Избыток пены | 2.2 | 85.42 | ||
Согласно полученным результатам, извлечение ионов неодима(III), эрбия(III) и тулия(III) происходит в кислой среде (рН 2.2–3.3). Однако, как отмечено выше, флотационное извлечение редкоземельных элементов додецилсульфатом натрия в кислой среде практически не происходит, а начинается при рН > 6.0 за счет извлечения гидроксидодецилсульфатов [4]. В связи с этим изучена флотация рассматриваемых ионов РЗЭ алкилбензолсульфокислотой при подщелачивании растворов.
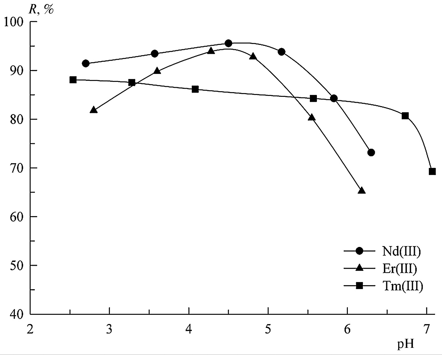
При рН > 6.0 степень извлечения ионов РЗЭ АБСК уменьшается (рис. 2), так как в этих условиях из водных растворов солей РЗЭ начинают осаждаться преимущественно гидроксиды, которые флотируются хуже вследствие их гидрофильности. Таким образом, для эффективной флотации необходимо, чтобы образующиеся осадки содержали в составе алкилбензолсульфонат-ион, обеспечивающий их гидрофобность.
Рис. 2. Зависимость степени флотационного извлечения ионов Nd(III), Er(III) и Tm(III) алкилбензолсульфокислотой от рН среды (РЗЭ : АБСК = 1 : 3, cРЗЭ = 1.0 × 10–3 М, τфл = 5 мин).
***
Рассмотрена возможность осаждения и флотационного извлечения ионов неодима(III), эрбия(III) и тулия(III) алкилбензолсульфокислотой. Установлены составы образующихся соединений РЗЭ с АБСК, рассчитаны условные произведения растворимости. Осаждение от 82 до 95% ионов РЗЭ в виде солей состава РЗЭ(CnH2n+1C6H4SO3)3 наблюдается в интервале рН 1.3–6.0. Увеличение pH среды за счет добавления гидроксида натрия приводит к изменению характера осадка. Оптимальным как для осаждения, так и для флотации является мольное соотношение компонентов, равное 1 : 3. Флотационное извлечение соединений ионов РЗЭ с АБСК возможно при рН среды < 6.0, так как в этом случае в составе осадков присутствует алкилбензолсульфонат-ион, обеспечивающий возможность протекания флотации.
ФИНАНСИРОВАНИЕ РАБОТЫ
Работа выполнена при финансовой поддержке Пермского Научно-образовательного центра “Рациональное недропользование” и в рамках государственного задания (номер государственной регистрации темы 124020500033-8).
Работа выполнена с использованием оборудования Центра коллективного пользования “Исследования материалов и вещества” Пермского федерального исследовательского центра Уральского отделения Российской академии наук.
КОНФЛИКТ ИНТЕРЕСОВ
Авторы данной работы заявляют, что у них нет конфликта интересов.
About the authors
S. A. Zabolotnykh
Institute of Technical Chemistry, Ural Branch, Russian Academy of Sciences
Author for correspondence.
Email: zabolotsveta@mail.ru
Russian Federation, 614013 Perm
S. A. Denisova
Perm State National Research University
Email: zabolotsveta@mail.ru
Russian Federation, 614990 Perm
Ya. K. Kochneva
Perm State National Research University
Email: zabolotsveta@mail.ru
Russian Federation, 614990 Perm
A. E. Raizer
Perm State National Research University
Email: zabolotsveta@mail.ru
Russian Federation, 614990 Perm
References
- Юшина Т.И., Петров И.М., Гришаев С.И., Черный С.А. Обзор рынка РЗМ и технологий переработки редкоземельного сырья // Горный информационно-аналитический бюллетень (научно-технический журнал). 2015. № S1. С. 577.
- Косынкин В.Д., Трубаков Ю.М., Сарычев Г.А. Прошлое и будущее редкоземельного производства в России // Евразийское научное объединение. 2015. Т. 1. № 6. С. 49.
- Юрасова О.В., Харламова Т.А., Семенов А.А., Василенко С.А., Гасанов А.А., Алафердов А.Ф., Добрынина Т.В., Федулова Т.В. Исследования по извлечению церия из растворов концентратов редкоземельных металлов электрохимическим и экстракционным методами // Изв. вузов. Цветная металлургия. 2016. № 4. С. 34.
- Lobacheva O.L., Dzhevaga N.V. Method for removing valuable components from technogenic solutions by the example of rare earth elements // J. Phys.: Conf. Ser. 2020. P. 42016.
- Кулешевич Л.В., Дмитриева А.В. Минералы и источники редкоземельных элементов в Карелии // Уч. зап. Петрозавод. гос. ун-та. 2012. Т. 125. № 4. С. 62.
- Локшин Э.П., Тареева О.А. Извлечение редкоземельных металлов из фосфогипса и экстракционной фосфорной кислоты, получаемых при переработке Хибинского апатитового концентрата // Цвет. мет. 2016. Т. 883. № 7. С. 52.
- Эрлих Г.В., Лисичкин Г.В. Сорбция в химии редкоземельных элементов // Журн. общ. химии. 2017. Т. 87. № 6. С. 1001. (Ehrlich G.V., Lisichkin G.V. Sorption in the chemistry of rare earth elements // Russ. J. Gen. Chem. 2017. Т. 87. № 6. P. 1220.)
- Иванова И.С., Криворотько Е.С., Илюхин А.Б., Демин С.В., Пятова Е.Н., Баулин В.Е., Цивадзе А.Ю. Экстракция редкоземельных элементов в системе 1,1,7-тригидрододекафторгептанол – вода фосфорилподандами, производными дифосфоновых кислот // Журн. неорг. химии. 2019. Т. 64. № 5. С. 538. (Ivanova I.S., Ilyukhin A.B., Demin S.V., Pyatova E.N., Krivorotko E.S., Baulin V.E., Tsivadze A.Y. Extraction of rare earth elements in 1,1,7-trihydrododecafluoroheptanol – water system with phosphoryl podands derived from diphosphonic acids // Russ. J. Inorg. Chem. 2019. V. 64. № 5. P. 666.)
- Радушев А.В., Никитина В.А., Батуева Т.Д. Гидразиды α-разветвленных третичных карбоновых кислот как экстрагенты ионов редкоземельных металлов из сульфатных сред // Журн. прикл. химии. 2021. Т. 94. № 5. С. 590. (Radushev A.V., Nikitina V.A., Batueva T.D. α-Branched tertiary carboxylic acid hydrazides as extractants of rare-earth metal ions from sulfate media // Russ. J. Appl. Chem. 2021. V. 94. № 5. P. 595.)
- Шишкин Д.Н., Петрова Н.К. Разделение РЗЭ(III) и Am(III) экстракцией соединениями циркония и дибутилфосфорной кислоты из растворов азотной и соляной кислот // Радиохимия. 2021. Т. 63. № 4. С. 381. (Shishkin D.N., Petrova N.K. Separation of REE(III) and Am(III) by extraction with compounds of zirconium and dibutyl phosphoric acid from solutions of nitric and hydrochloric acids // Radiochemistry. 2021. V. 63. № 4. P. 470.)
- Сайкина О.Ю., Юрасова О.В., Василенко С.А. Сорбционное извлечение редкоземельных металлов в процессе переработки фосфогипса // Цвет. мет. 2016. Т. 888. № 12. С. 44.
- Эркинбаева Н.А., Ысманов Э.М., Ташполотов Ы. Технология получения редкоземельных элементов из шлака Кадамжайского сурьмяного комбината с применением неорганических и органических реагентов методом осаждения // Тенденции развития науки и образования. 2021. № 74-2. С. 143.
- Карпова А.Ю., Лобачева О.Л. Ионная флотация самария (3+) // Фундаментальные и прикладные исследования в современном мире. 2018. Т. 22. С. 62.
- Чиркст Д.Э., Лобачева О.Л., Джевага Н.В. Термодинамика образования гидроксидов и гидроксокомплексов лантана(III) и гольмия(III) // Журн. физ. химии. 2011. Т. 85. № 11. С. 2011. (Chirkst D.E., Lobacheva O.L., Dzhevaga N.V. Thermodynamic properties of lanthanum (III) and holmium (III) hydroxo compounds // Russ. J. Phys. Chem. A. 2011. V. 85. № 11. P. 1872.)
- Чиркст Д.Э., Лобачева О.Л., Берлинский И.В. Энергии Гиббса образования гидроксидов лантаноидов и иттрия // Журн. физ. химии. 2010. Т. 84. № 12. С. 2241. (Chirkst D.E., Lobacheva O.L., Berlinskii I.V. Gibbs energies of formation of hydroxides of lanthanides and yttrium // Russ. J. Phys. Chem. A. 2010. V. 84. № 12. P. 2047.)
- Берлинский И.В., Лобачева О.Л., Луцкий Д.С. Определение термодинамических характеристик ионной флотации Ce(III), Eu(III), Sm(III) из водных растворов // Естественные и технические науки. 2018. Т. 118. № 4. С. 14.
- Чиркст Д.Э., Лобачева О.Л., Берлинский И.В., Черемисина О.В. Термодинамическое исследование ионной флотации иттербия // Вестник СПбГУ. Физика и химия. 2010. № 2. С. 137.
- Чиркст Д.Э., Лобачева О.Л., Джевага Н.В. Ионная флотация лантана (III) и гольмия (III) из нитратных и нитратно-хлоридных сред // Журн. прикл. химии. 2012. Т. 85. № 1. С. 28. (Chirkst D.E., Lobacheva O.L., Dzhevaga N.V. Ion flotation of lanthanum (III) and holmium (III) from nitrate and nitrate-chloride media // Russ. J. Appl. Chem. 2012. V. 85. № 1. P. 25.)
- Чиркст Д.Э., Лобачева О.Л., Берлинский П.В., Джевага Н.В. Влияние хлоридов на ионную флотацию церия (III) и самария (III) // Журн. прикл. химии. 2011. Т. 84. № 2. С. 345. (Chirkst D.E., Lobacheva O.L., Berlinskii I.V., Dzhevaga N.V. Effect of chlorides on cerium (III) and samarium (III) ionic flotation // Russ. J. Appl. Chem. 2011. V. 84. № 2. P. 341.)
- Lutsky D.S., Dzhevaga N.V., Lobacheva O.L. Extraction, removal and separation of rare-earth elements in aqueous solutions // Nat. Tech. Sci. 2019. V. 130. № 4. P. 17.
- Лобачева О.Л., Чиркст Д.Э., Джевага Н.В., Бажин В.Ю. Ионная флотация катионов цериевой группы // Журн. прикл. химии. 2013. Т. 86. № 12. С. 1914. (Lobacheva O.L., Chirkst D.E., Dzhevaga N.V., Bazhin V.Yu. Ion flotation of cations of cerium group // Russ. J. Appl. Chem. 2013. V. 86. № 12. P. 1862.)
- Чиркст Д.Э., Лобачева О.Л., Джевага Н.В. Ионная флотация редкоземельных металлов с додецилсульфатом натрия // Журн. прикл. химии. 2011. Т. 84. № 9. С. 1424. (Chirkst D.E., Lobacheva O.L., Dzhevaga N.V. Ion flotation of rare-eaerth metals with sodium dodecyl sulfate // Russ. J. Appl. Chem. 2011. V. 84. № 9. P. 1476.)
- Заболотных С.А., Леснов А.Е., Денисова С.А., Гилева К.О. Экстракция ионов Pd(II), Ni(II), Co(II), Cu(II), Fe(III) и Zn(II) 1,2,3-бензотриазолом в системах на основе анионных ПАВ // Изв. вузов. Хим. и хим. технология. 2019. Т. 62. № 7. С. 38.
- Заболотных С.А., Гилева К.О., Леснов А.Е., Денисова С.А. Сравнение экстракционных возможностей систем на основе сульфонола, додецилсульфата натрия или алкилбензолсульфокислоты // Журн. прикл. химии. 2019. Т. 92. № 4. С. 516. (Zabolotnykh S.A., Gileva K.O., Lesnov A.E., Denisova S.A. Comparison of extractive capacities of systems based on sulfonol, sodium dodecyl sulfate or alkyl benzene sulfonic acid // Russ. J. Appl. Chem. 2019. V. 92. № 4. P. 555.)
- Брыляков Ю.Е., Быков М.Е., Кострова М.А., Паламарчук Г.К. Применение алкилбензолсульфокислоты при флотации апатита из руд Хибинского месторождения // Обогащение руд. 2003. № 5. С. 19.
- Заболотных С.А., Денисова С.А., Наговицын Р.Р. Осаждение ионов La(III), Sm(III) и Tb(III) анионогенным ПАВ алкилбензолсульфокислотой // Вестник ПГНИУ. Химия. 2021. Т. 11. № 4. С. 234.
- Zabolotnykh S.A., Denisova S.A., Nagovitsyn R.R., Vaulina V.N. Alkylbenzenesulfonic acid as a reagent for flotation extraction of lanthanum (III), samarium (III) and terbium (III) ions // ChemChemTech. 2023. V. 66. № 3. С. 45.
- Заболотных С.А., Денисова С.А. Определение алкилбензолсульфокислоты в водных растворах // Вестник ПГНИУ. Химия. 2021. Т. 11. № 1. С. 17.
- Шварценбах Г., Флашка Г. Комплексонометрическое титрование. М.: Химия. 1970. 360 c.
- Заболотных С.А., Денисова С.А. Спектрофотометрическое определение лантана (III) в присутствии алкилбензолсульфокислоты // Вестник ПГНИУ. Химия. 2020. Т. 10. № 3. С. 268.
- Заболотных С.А., Денисова С.А. Определение алкилбензолсульфокислоты в водных растворах // Вестник ПГНИУ. Химия. 2021. Т. 11. № 1. С. 17.
Supplementary files




