Determination of isoniazid by photometric method through covalent binding with carbocyanine dye
- Autores: Skorobogatov E.V.1, Timchenko Y.V.1, Doroshenko I.A.1, Podrugina T.A.1, Rodin I.A.1, Beklemishev M.K.1
-
Afiliações:
- M. V. Lomonosov Moscow State University
- Edição: Volume 79, Nº 5 (2024)
- Páginas: 470-478
- Seção: ORIGINAL ARTICLES
- ##submission.dateSubmitted##: 09.12.2024
- ##submission.dateAccepted##: 09.12.2024
- URL: https://ogarev-online.ru/0044-4502/article/view/272522
- DOI: https://doi.org/10.31857/S0044450224050057
- EDN: https://elibrary.ru/utawhn
- ID: 272522
Citar
Texto integral
Resumo
Substitution reactions in carbocyanine dyes are used to determine nucleophilic compounds. The interaction of a chlorine-containing carbocyanine with a number of medicinal substances has been studied. It was shown that in the reaction with isoniazid in the presence of surfactants, this dye selectively changes color from yellow-green to purple. Chromatography-mass spectrometry has proven the formation of the substitution product of chlorine with isoniazid. The reaction occurs within 20 minutes in the presence of 1 mM cetyltrimethylammonium bromide. The detection limit of isoniazid in water by photometric method was 10 µg/mL; in diluted artificial urine using fluorimetry, it was 0.3 µg/mL. The method does not require full-spectrum equipment, which simplifies the determination.
Palavras-chave
Texto integral
Реакции замещения в молекулах органических реагентов, приводящие к изменению спектров поглощения и флуоресценции, представляют интерес, поскольку они могут быть положены в основу селективных методик определения органических аналитов [1, 2]. Широкое распространение в качестве таких реагентов получили карбоцианиновые красители. Описаны реакции замещения различных групп в молекулах красителей, использующиеся для определения белков [3–5] и сульфит-ионов [6].
В литературе представлен ряд способов определения изониазида в лекарственных препаратах. Наиболее низким пределом обнаружения обладает ВЭЖХ с тандемным масс-спектрометрическим детектированием (ВЭЖХ–МС/МС) [7], описаны методики электрохимического [8], спектроскопического [9] и флуориметрического [10] определения. В работах, посвященных спектрофотометрическому определению изониазида, используют различные органические и неорганические реагенты. Так, описано применение кремниймолибденовой сини [11], при этом предел обнаружения составляет 2 мкг/мл. В работе [9] использовали восстановление меди (II) изониазидом в присутствии неокупроина, предел обнаружения составил 0.3 мкг/мл; в перечисленных работах определяли содержание изониазида в медицинских препаратах. Для определения изониазида в слюне [12] используют гексацианоферрат (III) калия, при этом железо (III) восстанавливается до железа (II) с максимумом поглощения при 735 нм, а предел обнаружения изониазида составляет 0.04 мкг/мл. Методики определения изониазида в моче с использованием спектроскопических методов в литературе не описаны. Для анализа этой биологической матрицы применяют жидкостную хроматографию с фотометрическим детектированием, предел обнаружения составляет 0.4 мкг/мл [13].
Актуальна разработка более простых и удобных методик определения изониазида. Предлагаемый нами подход предполагает получение сигнала фотографическим методом с помощью камеры смартфона или самодельного визуализатора, что обеспечивает простоту методики.
ЭКСПЕРИМЕНТАЛЬНАЯ ЧАСТЬ
Реактивы и оборудование. Красители IR-783 [14] и 1 [15] (схема 1) синтезированы авторами. Красители растворяли в 95%-ном этаноле (1 г/л) и хранили при 4 оC, разбавляя до необходимых концентраций этанолом перед проведением опытов. Использовали бромид цетилтриметиламмония (ЦТАБ) (AppliChem, Германия) и другие реактивы фирм Sigma–Aldrich (США) и “Реахим” (Россия). Использовали ацетатные (0.1 М по аниону, рН 3.0–5.0), фосфатные (0.067 М по фосфату, pH 6.0–8.0) и боратные (рН 9.0–12.0, 0.05 М по тетраборату натрия) буферные растворы. Все растворы готовили на деионизованной воде Millipore. В качестве аналога мочи использовали смесь, состав которой представлен в табл. 1. Далее под мочой понимали именно эту искусственную смесь.
Схема 1. Структурные формулы красителей; (а) – краситель 1, (б) – IR-783.
Таблица 1. Состав смеси, использующейся для имитации человеческой мочи [16]
Соединение | Молярная концентрация, мМ | Массовая концентрация, г/100 мл |
Na2SO4 | 12.0 | 0.17 |
Мочевая кислота | 1.5 | 0.025 |
Натрия цитрат тригидрат | 2.5 | 0.072 |
Креатинин | 7.8 | 0.088 |
Мочевина | 250 | 1.5 |
KCl | 31 | 0.23 |
NaCl | 30 | 0.18 |
CaCl2 | 1.6 | 0.018 |
NH4Cl | 23.7 | 0.127 |
K2C2O4·H2O | 0.19 | 0.0035 |
MgSO4·7H2O | 4.4 | 0.11 |
NaH2PO4·2H2O | 18.7 | 0.29 |
Na2HPO4·2H2O | 4.7 | 0.083 |
Большую часть опытов проводили в белых 96-луночных планшетах (Thermo Scientific Nunc F96 MicroWell, кат. № 136101 или Sovtech, Россия, артикул М-018). Спектры поглощения в УФ и видимой областях регистрировали на спектрофотометре СФ-102 (“Интерфотофизика”, Россия), а спектры флуоресценции в ближней ИК-области – на флуориметре “Флуорат-02 Панорама” (“Люмэкс”, Россия) в кварцевых кюветах длиной 1 см. Отражение растворов в планшете в видимой области спектра фиксировали с помощью фотокамеры смартфона или визуализатора Visualizer 2 (Camag, Швейцария), а флуоресценцию с ближней ИК-области – с помощью модифицированного фотоаппарата, снабженного ИК-фильтром.
Спектры ВЭЖХ–МС получали с помощью системы, состоящей из жидкостного хроматографа UltiMate 3000 (Thermo, США) и масс-спектрометра типа орбитальная ионная ловушка Orbitrap Elite (Thermo, США), оснащенного источником электрораспылительной ионизации. Хроматографическое разделение проводили на колонке Shim-pack GIST-HP C18-Aq 150×3 мм, 3 мкм (Shimadzu, Япония) с использованием предколонки Security Guard (картридж C18, 4×3 мм) (Phenomenex, США). В качестве подвижной фазы использовали смесь 10 мМ водного раствора ацетата аммония (А) и ацетонитрила (B). Температура термостата колонки составляла 25 оС, скорость потока – 0.3 мл/мин. Разделение проводили в градиентном режиме элюирования: 0–5 мин 0% В, 5–20 мин 0–95% В, 20–25 мин 95% В, 25–26 мин 95–0% В, 26–30 мин 0% В. Параметры источника электрораспылительной ионизации были следующие: температура ионной трубки – 325 оC, температура распылителя – 350 оC, давление осушающего газа – 50 arb (приборные единицы), давление распыляющего газа – 1 arb, давление вспомогательного газа – 10 arb, напряжение на распыляющем капилляре – 3500 В (положительная ионизация) и 2500 В (отрицательная ионизация). Масс-спектры регистрировали в диапазоне от 70 до 2000 m/z с разрешением 30 000 усл. ед. в режиме одновременной регистрации положительно и отрицательно заряженных ионов. Объем вводимой пробы составлял 0.5 мкл.
Методика эксперимента. В лунку планшета с помощью дозатора добавляли: 60 мкл буферного раствора, 30 мкл раствора красителя 1 (0.1 г/л в 95%-ном этаноле) или IR-783 (0.001 г/л в 95%-ном этаноле), раствор ЦТАБ (5 мМ водный раствор) и анализируемый раствор, затем доводили водой до общего объема 300 мкл. При определении изониазида в лекарственном препарате использовали фотометрию в видимой области, в этом случае анализируемым раствором являлся водный раствор изониазида. Флуориметрию использовали для определения изониазида в присутствии мочи, для этого в лунку дополнительно вводили 60 мкл мочи, разбавленной в 40 раз.
Растворы образцов для ВЭЖХ–МС высокого разрешения готовили в пластиковых пробирках типа Эппендорф. Смешивали 255 мкл фосфатного или боратного буферного раствора в зависимости от проводимого опыта, 570 мкл 5 мМ раствора ЦТАБ, 570 мкл 5 мМ раствора изониазида, 255 мкл раствора красителя 1 (0.1 г/л в 95%-ном этаноле) и доводили водой до общего объема 2000 мкл.
Светопоглощение или флуоресценцию красителя в планшете в режиме отражения контролировали фотографическим методом, что позволяло быстро измерять несколько образцов одновременно. Полученные изображения оцифровывали в программе ImageJ, получая интенсивности красного, зеленого и синего цветов (RGB-разложение). Интенсивность изменялась в пределах от 0 (черный) до 255 (самый светлый). Для фотографий в видимой области использовали интенсивность зеленого канала ввиду ее больее высокой воспроизводимости по сравнению с другими; для флуориметрии в ИК-области использовали только интенсивность одного из каналов (красного), поскольку в ИК-области изображение явлется монохромным. Пределы обнаружения оценивали по 3s-критерию как 3sa/b (где a и b – коэффициенты уравнения регрессии). Приведенные в тексте концентрации ПАВ и реагентов – конечные (в лунке планшета или в кювете), если не указано иное.
РЕЗУЛЬТАТЫ И ИХ ОБСУЖДЕНИЕ
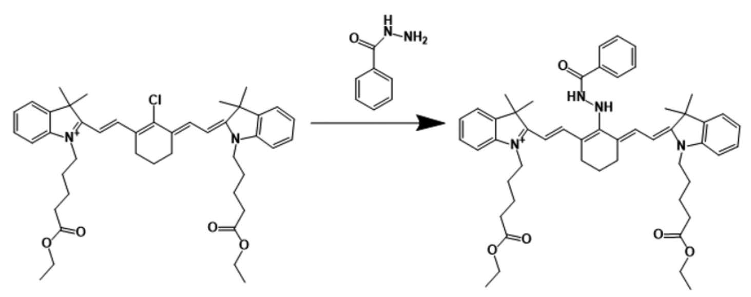
Для оценки возможности применения карбоцианиновых красителей для селективного определения органических соединений предварительно изучили реакции замещения атома хлора в красителе (схема 2). Выполнили скрининговое исследование взаимодействия красителя с рядом модельных соединений для выявления возможностей, прежде всего, нуклеофильного замещения атома хлора.
Схема 2. Замещение атома хлора в красителе.
Обнаружили, что наиболее значительные спектральные изменения наблюдаются в системе краситель–ЦТАБ-изониазид (рис. 1), поэтому в дальнейшем исследовали именно эту систему.
Рис. 1. (а) – Интенсивность зеленого канала (G) на фотографиях планшета с системой краситель–ЦТАБ в присутствии различных лекарственных средств (1 мМ), продолжительность реакции 20 мин; (б) – пример фотографии флуориметрического планшета, ячейка системы с изониазидом отмечена красным.
Схема замещения атома хлора в молекуле красителя. В ходе реакции изониазида с красителем окраска раствора изменяется с зеленой на фиолетовую. Изменение происходит также в спектрах поглощения (рис. 2) – появляется новая широкая полоса при 500–600 нм. Описанный эффект наблюдается только в случае присутствия ЦТАБ в системе; в отсутствие ЦТАБ реакция протекает значительно медленнее и без значительного изменения цвета. Как видно из рис. 2а, через 20 мин после начала реакции интенсивность полосы при 550 нм достигает максимума. После этого в течение длительного времени (как минимум 90 мин) интенсивность полосы практически не меняется. При протекании реакции в течение менее 20 мин интенсивность полосы при 550 нм нестабильна, что затрудняет проведение анализа.
Рис. 2. (а) – Спектры поглощения смеси краситель–изониазид в начальный момент времени (1) и через 20 мин после начала реакции (3); смеси краситель–ЦТАБ-изониазид в начальный момент времени (2), через 20 мин (4) и 90 мин (5); (б) – спектры флуоресценции в ближней ИК-области системы краситель–ЦТАБ-изониазид–искусственная моча в начальный момент в присутствии 1 мМ изониазида (1) и через 20 мин (5); и системы краситель–ЦТАБ-изониазид–искусственная моча в начальный момент в присутствии 0.1 мМ изониазида в начальный момент (2), через 20 мин (3) и 90 мин (4).
При детектировании аналитического сигнала в ближней ИК-области продолжительность эксперимента также составляет 20 мин. При продолжительности реакции менее 20 мин интенсивность не зависит от концентрации изониазида, что, вероятно, связано с неполным протеканием реакции. При продолжительности реакции более 20 мин для высоких концентраций изониазида (выше 1 мМ) наблюдается практически полное тушение флуоресценции (рис. 2б), для концентраций аналита ниже 1 мМ интенсивность флуоресценции достигает постоянного уровня и мало меняется со временем. В дальнейшем эксперименты в видимой и ближней ИК-областях спектра проводили в течение 20 мин.
Для изучения продуктов реакции, представленной на схеме 2, проанализировали несколько образцов различного состава с использованием метода ВЭЖХ–МС (табл. 2). Контрольные образцы 1, 2 и 4 (табл. 2) использовали для идентификации отдельных компонентов. В табл. 3 приведены результаты анализа смесей краситель 1–ЦТАБ-изониазид с различным значением рН. Как видно из табл. 3, подтверждено образование иона, соответствующего предполагаемому продукту замещения. Кроме того, на хроматограммах наблюдаются пики, соответствующие другим производным, по всей видимости, образующимся при частичном разрушении красителя. Этот факт может объяснять значительный сдвиг полосы поглощения красителя в область меньших длин волн (рис. 2а). Также на хроматограммах наблюдается ряд пиков, соответствующих продуктам превращения изониазида. При рН 7.4 отсутствуют пики, соответствующие красителю и продукту замещения хлора в молекуле красителя, что согласуется с отсутствием смещения полосы поглощения в спектре системы краситель 1–ЦТАБ-изониазид (рис. 2). При этом образуется значительное количество продукта деградации красителя, что говорит о его разрушении при рН ~7. Таким образом, при рН 11.3 происходит замещение атома хлора в молекуле красителя и образование продукта по схеме 2, тогда как при рН 7.4 продукт замещения не образуется, а результаты ВЭЖХ–МС свидетельствуют о разрушении красителя.
Таблица 2. Состав образцов, изученных методом ВЭЖХ–МС
Номер образца | рН | Компоненты системы |
1 | 11.3 | Изониазид + ЦТАБ |
2 | 11.3 | Краситель 1 + ЦТАБ |
3 | 11.3 | Изониазид + краситель 1 + ЦТАБ |
4 | 7.4 | Краситель 1 + ЦТАБ |
5 | 7.4 | Изониазид + краситель 1 + ЦТАБ |
Таблица 3. Состав продуктов реакционных смесей краситель 1–ЦТАБ–изониазид, полученный методом ВЭЖХ–МС при различных значениях рН
Соединение | Время удерживания, мин | m/z | Погрешность m/z, ppm | Брутто-формула | Площадь пика, cps⋅мин × 10–6 |
Образец 3 | |||||
Изониазид | 5.70 | 136.051 | 0.83 | C6H6N3O– | 263.0 |
Продукты превращения изониазида | 2.76 | 122.024 | 1.61 | C6H4NO | 22.8 |
3.44 | 179.046 | 0.74 | C8H7N2O | 34.7 | |
10.56 | 241.073 | –0.21 | C12H9N4O | 35.7 | |
10.86 | 162.067 | 0.39 | C8H8ON | 11.6 | |
11.42 | 163.051 | 0.90 | C8H7O2N | 4.1 | |
12.49 | 225.078 | –0.16 | C12H9N4O– | 136.0 | |
Краситель | 15.52 | 725.246 | –3.15 | C38H46N2O6ClS | 0.6 |
Продукты превращения красителя | 12.93 | 296.096 | –0.19 | C14H18NO4S– | 7.0 |
15.22 | 567.182 | –2.79 | C29H32ClN4O4S– | 1.4 | |
Продукт замещения хлора | 14.48 | 826.329 | –2.69 | C44H52N5O7S | 21.8 |
Образец 5 | |||||
Изониазид | 5.7 | 136.051 | 0.83 | C6H6N3O– | 225.0 |
Продукты превращения изониазида | 2.76 | 122.024 | 1.61 | C6H4NO | 60.2 |
3.44 | 179.046 | 0.74 | C8H7N2O | 1.5 | |
10.56 | 241.073 | –0.21 | C12H9N4O | 55.9 | |
10.86 | 162.067 | 0.39 | C8H8ON | 123.5 | |
11.42 | 163.051 | 0.90 | C8H7O2N | 3.8 | |
12.49 | 225.078 | –0.16 | C12H9N4O– | 136.2 | |
Краситель | 15.52 | 725.246 | –3.15 | C38H46N2O6ClS | 0.0 |
Продукты превращения красителя | 12.93 | 296.096 | –0.19 | C14H18NO4S– | 88.6 |
15.22 | 567.182 | –2.79 | C29H32ClN4O4S– | 1.0 | |
Продукт замещения хлора | 14.48 | 826.329 | –2.69 | C44H52N5O7S | 0.0 |
Условия определения изониазида. Определили диапазон рН, при котором наблюдается наибольшее различие интенсивности сигналов в присутствии изониазида и без него. Как видно из рис. 3, указанному условию соответствует значение рН ~ 11, поэтому это значение рН использовали в дальнейших экспериментах.
Рис. 3. Зависимость интенсивности зеленого канала (G) для систем краситель–ЦТАБ и краситель–ЦТАБ–изониазид от рН (1 – в отсутствие изониазида, 2 – в присутствии 1 мМ изониазида). Продолжительность реакции 20 мин.
Установлено (рис. 4), что ЦТАБ влияет на аналитический сигнал только при концентрациях порядка 1 мМ; при уменьшении концентрации ЦТАБ различие между сигналами системы и контрольного опыта уменьшается. Использование концентрации ЦТАБ выше 0.001 М ограничено его критической концентрацией мицеллообразования в связи с нашим предположением о том, что на спектральные характеристики системы влияет не только протекание реакции замещения атома хлора в молекуле красителя, но и агрегативные процессы. В качестве рабочей концентрации ЦТАБ выбрали 1 мМ.
Рис. 4. Зависимость интенсивности зеленого канала (G) системы краситель–ЦТАБ–изониазид от концентрации ЦТАБ для 1 мМ изониазида: 1 – в отсутствие изониазида, 2 – в присутствии 1 мМ изониазида; черным отмечены контрольные образцы (без ЦТАБ). Продолжительность реакции 20 мин.
Мешающее влияние посторонних соединений. Некоторые лекарственные вещества оказывают заметное собственное влияние на рассматриваемую индикаторную реакцию (без изониазида, рис. 5, синие столбцы). Это может быть связано с замещением атома хлора в красителе нуклеофильными группами этих лекарственных веществ [17].
Рис. 5. Влияние лекарственных веществ (1 мМ) в системах краситель–ЦТАБ (синие столбцы) и краситель–ЦТАБ-изониазид (1 мМ изониазид, красные столбцы) на интенсивность зеленого канала. Контроль – системы без мешающих соединений. Продолжительность реакции 20 мин.
Существенного влияния рассмотренных соединений на сигнал 1 мМ раствора изониазида не обнаружено. Отклонения сигнала от значения, обозначенного на рис. 5 как “контроль” (изониазид без мешающих веществ), не превышают ±12%, что подтверждает удовлетворительную селективность определения.
Определение изониазида в лекарственном препарате. При выбранных условиях получили зависимость интенсивности сигнала от концентрации изониазида в ячейке планшета. Основные характеристики методики приведены в табл. 4. Предел обнаружения довольно высок (7×10–5 М), однако этого достаточно для определения изониазида в лекарственных формах. Определение изониазида фотометрическим методом возможно только в чистых водных растворах; в биологических объектах, таких как моча и сыворотка крови, определение провести не удается из-за сильного матричного эффекта, приводящего к отсутствию цветового перехода.
Таблица 4. Результаты определения изониазида в искусственной моче без разбавления
Введено изониазида, мг/мл | Найдено изониазида, мг/мл | Относительная погрешность, % |
11 | 10.3±0.9 | –6.5 |
1.8 | 1.6±0.2 | –9.9 |
0.3 | 0.31±0.03 | 7.8 |
0.04 | 0.045±0.002 | 1.8 |
В табл. 5 приведена градуировочная зависимость для определения изониазида в медицинском препарате на основе фотометрической реакции. Образец представлял собой ампулу с раствором изониазида с концентрацией 100 г/л (0.729 М). Найденное значение концентрации изониазида в образце составило 101 г/л (0.735 М), погрешность определения ~1%.
Таблица 5. Метрологические характеристики методик определения изониазида
Параметр | Фотометрия (определение в фармпрепарате) | Флуориметрия (определение в искусственной моче) |
Уравнение градуировочной зависимости | I = 5.2lnс + 0.008 | I = 11.3lnс + 10.1 |
Коэффициент a | 5.2±0.6 | 11.3±0.9 |
Коэффициент b | 0.008±0.001 | 10.1±1.8 |
Число точек | 12 | 12 |
Коэффициент детерминации | 0.969 | 0.981 |
Диапазон определяемых концентраций, мкг/мл | 14−680 | 0.7−140 |
Предел обнаружения в планшете, мкг/мл | 10 | 0.3 |
Предел обнаружения в образце мочи без ее разбавления, мкг/мл | − | 11 |
Определение изониазида в биологической жидкости. Для определения изониазида в биологических объектах использовали флуоресценцию в ближней ИК-области спектра.
Как видно из рис. 6, оптимальное значение pH для флуориметрического определения изониазида составляет ~8. Зависимость интенсивности флуоресценции от концентрации ЦТАБ имеет тот же характер, что и при фотометрическом определении, оптимальная концентрация ЦТАБ составила также 1 мМ.
Рис. 6. Зависимость интенсивности флуоресценции в ближней ИК-области спектра для систем краситель–ЦТАБ и краситель–ЦТАБ–изониазид от рН: 1 – в отсутствие изониазида, 2 – в присутствии 1 мМ изониазида. Продолжительность реакции 20 мин.
При выборе концентрации красителя учли, что флуоресценция наблюдается при меньших концентрациях красителя, чем светопоглощение. Для определения изониазида использовали концентрацию красителя в 100 раз ниже, чем в случае фотометрии – 2×10–4 г/л, что соответствует минимальной концентрации, при которой удается получить устойчивый отклик самого красителя в ближней ИК-области.
В выбранных условиях получили зависимость интенсивности флуоресценции системы краситель–ЦТАБ-изониазид от концентрации изониазида. Предел обнаружения изониазида в ячейке планшета составил 0.3 мкг/мл. В табл. 4 приведены результаты определения изониазида в присутствии мочи. Как видно, погрешность определения не превышает 10% во всем диапазоне определяемых концентраций.
Известно [18, 19], что за второй час после приема препарата количество изониазида в моче человека составляет от 2% (для “медленных” инактиваторов) до 5% (для “быстрых” инактиваторов) от введенного перорально. Стандартная доза изониазида для взрослого человека составляет 300 мг, а средний диурез – около 47 мл/ч. В таком случае концентрация изониазида в моче составит от 128 до 320 мкг/мл. С учетом разбавления образца в планшете в процессе анализа необходимо определять от 4 мкг/мл изониазида. Отсутствие мешающего эффекта матрицы в данной области спектра, а также возможность детектирования сигнала красителя при его меньших концентрациях в сравнении с фотометрическим определением позволяет определять изониазид с более низким пределом обнаружения (0.3 мкг/мл) в присутствии искусственной мочи.
Таким образом, в случае фотометрического определения предел обнаружения (10 мкг/мл) выше, чем в известных из литературы спектрофотометрических методиках (от 0.04 до 2 мкг/мл [9, 12, 13]). Тем не менее наш подход позволяет определять изониазид в фармпрепарате без использования спектрофотометра.
Флуориметрическим методом в разбавленной моче удается достичь предела обнаружения 0.3 мкг/мл, что ниже, чем при использовании полноспектрального флуориметрического оборудования (1.4 мкг/мл [10]). Методика обладает достаточной чувствительностью для определения изониазида в биологических образцах. Используемые приборы (смартфон, фотоаппарат) не включены в госреестр средств измерений РФ, поэтому аттестация данной методики не представляется возможной. Тем не менее благодаря своей простоте методика может быть использована для предварительного изучения образцов и выявления необходимости проведения дальнейшего анализа с использованием других методов.
* * *
Предложен подход к определению изониазида, основанный на замещении атома хлора в молекулах карбоцианиновых красителей. Предел обнаружения фотометрическим методом довольно высок (10 мкг/мл), однако за счет высокой селективности красителя по отношению к изониазиду и аппаратурной простоты методики (для получения фотографий достаточно камеры смартфона) такой способ может быть использован для простого и экспрессного определения высоких концентраций изониазида. При использовании флуориметрии в ближней ИК-области удается достичь более низкого предела обнаружения (0.3 мкг/мл в ячейке планшета), что позволяет определять изониазид в искусственной моче с пределом обнаружения 11 мкг/мл. Для выполнения определения не требуется использование флуориметра, анализ занимает порядка 20 мин, что иллюстрирует перспективность данного подхода.
ФИНАНСИРОВАНИЕ РАБОТЫ
Исследование проводилось при поддержке Российского научного фонда (проект № 20-13-00330-П).
КОНФЛИКТ ИНТЕРЕСОВ
Авторы данной работы заявляют, что у них нет конфликта интересов.
Sobre autores
E. Skorobogatov
M. V. Lomonosov Moscow State University
Autor responsável pela correspondência
Email: skoregy@gmail.com
Department of Chemistry
Rússia, 119991 MoscowYu. Timchenko
M. V. Lomonosov Moscow State University
Email: skoregy@gmail.com
Department of Chemistry
Rússia, 119991 MoscowI. Doroshenko
M. V. Lomonosov Moscow State University
Email: skoregy@gmail.com
Department of Chemistry
Rússia, 119991 MoscowT. Podrugina
M. V. Lomonosov Moscow State University
Email: skoregy@gmail.com
Department of Chemistry
Rússia, 119991 MoscowI. Rodin
M. V. Lomonosov Moscow State University
Email: skoregy@gmail.com
Department of Chemistry
Rússia, 119991 MoscowM. Beklemishev
M. V. Lomonosov Moscow State University
Email: skoregy@gmail.com
Rússia, 119991 Moscow
Bibliografia
- Liu Y., Yu Y., Zhao Q., Tang C., Zhang H., Qin Y., Feng X., Zhang J. Fluorescent probes based on nucleophilic aromatic substitution reactions for reactive sulfur and selenium species: Recent progress, applications, and design strategies // Coord. Chem. Rev. 2021. V. 427. Article 213601.
- Gopika G.S., Prasad P.H., Lekshmi A.G., Lekshmypriya S., Sreesaila S., Arunima C., Malavika S.K., Anil A., Sreekumar A., Pillai Z.S. Chemistry of cyanine dyes // Mater. Today Proc. 2021. V. 46. P. 3102.
- Gorka A.P., Nani R.R., Schnermann M.J. Harnessing cyanine reactivity for optical imaging and drug delivery // Acc. Chem. Res. 2018. V. 51. P. 3226.
- Ernst L.A., Gupta R.K., Mujumdar R.B., Waggoner A.S. Cyanine dye labeling reagents for sulfhydryl groups // Cytometry. 1989. V. 10. P. 3.
- Wang X., Lv J., Yao X., Li Y., Huang F., Li M., Huang F., Li M., Yang J., Ruana X., Tang B. Screening and investigation of a cyanine fluorescent probe for simultaneous sensing of glutathione and cysteine under single excitation // Chem. Comm. 2014. V. 50. P. 15439.
- Sun Y., Fan S., Zhang S., Zhao D., Duan L., Li R. A fluorescent turn-on probe based on benzo[e]indolium for bisulfite through 1, 4-addition reaction // Sens. Actuators B. 2014. V. 193. P. 173.
- Seifart H.I., Gent W.L., Parkin D.P., van Jaarsveld P.P., Donaid P.R. High-performance liquid chromatographic determination of isoniazid, acetylisoniazid and hydrazine in biological fluids // J. Chromatogr. B. 1995. V. 674. P. 269.
- Bergamini M.F., Santos D.P., Zanoni M.V.B. Determination of isoniazid in human urine using screen-printed carbon electrode modified with poly-L-histidine // Bioelectrochemistry. 2010. V. 77. P. 133.
- Safavi A., Karimi M.A., Hormozi Nezhad M.R., Kamali R., Saghir N. Sensitive indirect spectrophotometric determination of isoniazid // Spectrochim. Acta A. 2004. V. 60. P. 765.
- Lapa R.A.S., Lima J.L.F.C., Santos J.L.M. Fluorimetric determination of isoniazid by oxidation with cerium (IV) in a multicommutated flow system // Anal. Chim. Acta. 2000. V. 419. P. 17.
- Wen X.R., Tu C.Q. Spectrophotometric determination of isoniazid in pharmaceutical sample by silicomolybdenum blue // Adv. Mat. Res. 2014. V. 1033. P. 548.
- Zhang H., Wu L., Li Q., Du X. Determination of isoniazid among pharmaceutical samples and the patients’ saliva samples by using potassium ferricyanide as spectroscopic probe reagent // Anal. Chim. Acta. 2008. V. 628. P. 67.
- Espinosa-Mansilla A., Acedo-Valenzuela M.I., De La Peña A.M., Cañada F.C., López F.S. Determination of antitubercular drugs in urine and pharmaceuticals by LC using a gradient flow combined with programmed diode array photometric detection // Talanta. 2002. V. 58. P. 273.
- Okoh O.A., Bisby R.H., Lawrence C.L., Rolph C.E., Smith R.B. Promising near-infrared non-targeted probes: Benzothiazole heptamethine cyanine dyes // J. Sulfur Chem. 2014. V. 35. P. 42.
- Doroshenko I.A., Aminulla K.G., Azev V.N., Kulinich T.M., Vasilichin V.A., Shtil A.A., Podrugina T.A. Synthesis of modified conformationally fixed tricarbocyanine dyes for conjugation with therapeutic agents // Mendeleev Commun. 2021. V. 31. P. 615.
- Sarigul N., Korkmaz F., Kurultak İ. A new artificial urine protocol to better imitate human urine // Sci. Rep. 2019. Т. 9. №. 1. С. 20159.
- Njiojob C.N., Owens E.A., Narayana L., Hyun H., Choi H.S., Henary M. Tailored Near-Infrared Contrast Agents for Image Guided Surgery // J. Med. Chem. 2015. V. 58. P. 2845.
- Евгеньев М.И., Гармонов С.Ю., Зайнутдинов Л.А., Маланичева Т.Г. Неинвазивный метод определений биохимического фенотипа ацетилирования // Казанский мед. журн. 2004. №. 5. С. 388.
- Гаевая Л.В. Вопросы фармакокинетики и фармакодинамики изониазида // Клиническая инфектология и паразитология. 2015. №. 2. С. 15.
Arquivos suplementares








