Газоэкстракционное генерирование газовых смесей полярных органических соединений на уровне следовых концентраций
- Авторы: Родинков О.В.1, Грега М.Е.1, Спиваковский В.А.1, Знаменская Е.А.1, Желудовская А.А.1
-
Учреждения:
- Санкт-Петербургский государственный университет
- Выпуск: Том 79, № 4 (2024)
- Страницы: 352-360
- Раздел: ОРИГИНАЛЬНЫЕ СТАТЬИ
- Статья получена: 29.09.2024
- Статья одобрена: 29.09.2024
- URL: https://ogarev-online.ru/0044-4502/article/view/265052
- DOI: https://doi.org/10.31857/S0044450224040042
- EDN: https://elibrary.ru/vbhlsf
- ID: 265052
Цитировать
Полный текст
Аннотация
Изучены закономерности генерирования газовых смесей полярных органических соединений на уровне их ПДК (несколько мкг/м3) методом непрерывной газовой экстракции из водных растворов с известной концентрацией в сочетании с разбавлением потоком газа-разбавителя. Определены необходимые для этого коэффициенты распределения фенола, изомерных крезолов, нитробензола и алканолов С4–С6 между водной и газовой фазами (азотом). Предложена двухстадийная схема генерирования, основанная на насыщении сорбента (активного угля) потоком газа-экстрагента с заданной концентрацией целевых компонентов с их последующей десорбцией потоком чистого газа-экстрагента.
Полный текст
В настоящее время отсутствуют готовые методические решения и средства получения стандартных газовых смесей (СГС) c концентрациями летучих органических соединений (ЛОС) на уровне ppb (мкг/м3). Приходится оценивать правильность методик определения в воздухе высокотоксичных органических соединений, таких как фенолы и алифатические спирты С4–С6, на уровне их ПДК на основании результатов анализа жидких сред, в которые выделяют аналиты. Однако экстраполяция установленных закономерностей концентрирования при анализе воздуха в область меньших концентраций аналитов некорректна, поскольку степень извлечения на стадиях сорбции и десорбции, а также проявление эффекта “памяти” зависит от концентрации аналитов [1]. Среди всего многообразия методов приготовления СГС [2, 3] c точки зрения минимальных временных затрат и трудоемкости применительно к генерированию СГС с микроконцентрациями ЛОС неоспоримые преимущества имеют равновесные динамические методы, основанные на равновесном распределении целевых компонентов между газовой и конденсированной (жидкой или твердой) фазами [4, 5].
Наиболее простым вариантом технической реализации указанных методов является непрерывная газовая экстракция (НГЭ), заключающаяся в пропускании относительно медленного, обеспечивающего установление межфазного равновесия потока газа-экстрагента через объем или над поверхностью конденсированной фазы с определенной концентрацией целевых компонентов. При выполнении определенных условий концентрации целевых компонентов в выходящем потоке газа-экстрагента остаются практически постоянными. Непрерывная газовая экстракция отличается простотой, хорошо изучена, имеются аттестованные устройства для ее реализации — так называемые парофазные источники газовых смесей (ПИГС), применение которых входит в государственную поверочную схему средств измерений содержания компонентов в газовых средах [6]. К недостаткам традиционных вариантов НГЭ можно отнести относительно небольшие объемы генерируемых СГС с постоянной концентрацией целевых компонентов и невысокие объемные скорости потока генерируемых смесей. Кроме того, ПИГС являются невосстанавливаемыми и неремонтируемыми изделиями, обеспечивающими получение газовых смесей с концентрациями аналитов, начиная с 0.5 мг/м3[7], что значительно выше ПДК многих высокотоксичных ЛОС.
Некоторые из недостатков традиционной схемы непрерывной газовой экстракции, реализуемой в ПИГС, преодолены в других равновесных методах генерирования СГС — хроматомембранных [8, 9] и хроматодесорбционных [10, 11]. Однако указанные методы отличаются сложностью аппаратурного оформления и требуют применения коммерчески недоступных устройств.
Цель настоящей работы — разработка методических основ генерирования газовых смесей полярных ЛОС на уровне их ПДК (несколько мкг/м3) методом непрерывной газовой экстракции ЛОС из водных растворов с известной концентрацией в сочетании с разбавлением потоком газа-разбавителя.
ТЕОРИЯ
Закономерности НГЭ детально исследованы в связи с её широким применением в парофазном газохроматографическом анализе жидкостей [12, 13]. Извлечение ЛОС определяется, прежде всего, коэффициентами распределения целевых компонентов между жидкой и газовой фазой K и относительной летучестью жидкости F, в которой они растворены.
, ,
где cL и cG — равновесные концентрации компонента в жидкой и газовой фазе соответственно, моль/л или г/дм3; — давление насыщенного пара жидкости (Па) при данной температуре T, K; М — молярная масса жидкости, г/моль; R — универсальная газовая постоянная Па∙дм3/(моль∙К); ρL — плотность жидкости, г/л. Величины К и F являются безразмерными.
В случае легколетучих жидкостей (КF > 1) пропускание потока газа-экстрагента через жидкость приводит к увеличению концентрации целевого компонента за счет интенсивного испарения жидкости и, соответственно, уменьшения её объема. Предотвратить испарение можно, предварительно насыщая поток газа-экстрагента парами данной жидкости пропусканием его через сосуд с этой жидкостью. Если КF < 1, наоборот, происходит неизбежное уменьшение концентрации целевого компонента в процессе НГЭ. И, наконец, если КF = 1, то концентрация целевого компонента в процессе НГЭ должна оставаться постоянной и тем самым теоретически создавать наиболее благоприятные условия для генерирования СГС. Однако подобрать подходящую жидкость, которая бы отвечала указанному условию, удается очень редко, а если удается, то концентрация паров самой жидкости в генерируемой СГС слишком высока для того, чтобы использовать её для контроля правильности методик определения ЛОС в воздухе на уровне ПДК [14]. По этой причине для получения СГС с микроконцентрациями аналитов более рациональной нам представляется двухступенчатая схема, основанная на сочетании непрерывной газовой экстракции ЛОС с разбавлением основного потока газа-экстрагента дополнительным потоком чистого газа-разбавителя.
Закономерности НГЭ из относительно нелетучего жидкого раствора компонентов, имеющих K > 100, описывает известное [12] уравнение:
, (1)
где и сG — концентрации целевого компонента в потоке газа-экстрагента в начальный момент времени и после пропускания объема газа-экстрагента vG; VL — объем жидкого раствора. Как следует из уравнения (1), чем больше К, тем меньше степень снижения концентрации компонента по мере пропускания потока газа-экстрагента, и тем больше, соответственно, объем получаемой СГС с условно постоянной концентрацией компонента.
Необходимость обеспечения равновесного распределения при осуществлении НГЭ ограничивает скорость газового потока и делает необходимой высокую степень диспергирования газа в жидкости. Возможность образования тумана, пены и брызгоунос усложняют конструкцию используемого оборудования, однако эти процессы характерны для очень высоких (более 0.5 л/мин) расходов газа-экстрагента. Непрерывную газовую экстракцию целесообразно применять для получения СГС веществ с большими коэффициентами распределения (К > 500).
Наиболее подходящей жидкостью для генерирования СГС полярных ЛОС является вода. В системе водная–газовая фаза для алифатических спиртов K ≫ 103, а для фенолов K ≫ 104, что создает необходимые предпосылки для получения достаточно больших объемов СГС с постоянной концентрацией аналитов. С другой стороны, природа самого газа-экстрагента практически не влияет на величину К, поскольку взаимодействие молекул в идеальном газе сводится к упругому соударению. Это обстоятельство позволяет использовать для генерирования СГС очищенный лабораторный воздух или наиболее дешевый инертный газ — азот.
ЭКСПЕРИМЕНТАЛЬНАЯ ЧАСТЬ
Оборудование и реактивы. Использовали реактивы с чистотой не ниже ч.д.а. Водные растворы фенолов готовили объемно-весовым, а водные растворы спиртов — объемно-объемным способом, используя пипет-дозаторы “Лайт” (Thermo scientific, США) и аналитические весы ВЛ-21 (Госметр, Россия). Время измеряли с помощью секундомера. При генерировании газовых смесей и определении коэффициентов распределения аналитов в системе жидкость–газ поток газа-экстрагента задавали с помощью формирователя газовых потоков “Хроматэк–Кристалл ФГП” (“Хроматэк”, Россия) и пропускали через водные растворы аналитов известной концентрации. В первом случае использовали прибор Зайцева, заполняя его 4 мл раствора, а при генерировании газовых смесей 1 л раствора находился в стеклянной бутыли (высота столба жидкости — 20 см), снабженной пробкой с двумя отводными трубками. Внутренний диаметр трубки, через которую подавали поток газа-экстрагента, составлял 3 мм. Сосуды с растворами помещали в циркуляционный жидкостный термостат марки LOIP LB200 (ЛОИП, Россия), поддерживающий температуру с точностью ±0.1 оC. При необходимости поток газа-экстрагента через сосуды контролировали мыльно-пленочным расходомером.
Для газохроматографического определения тестовых веществ в потоке газа-экстрагента применяли хроматограф “Кристалл 5000.2”(“Хроматэк”, Россия), снабженный пламенно-ионизационным детектором и капиллярной колонкой (10 м×0.53 мм×2.65 мм) BPX-1 (100%-ный диметилполисилоксан). Пробы газа-экстрагента отбирали в хроматограф с помощью автоматического обогреваемого крана-дозатора с периодичностью 2 мин. ВЭЖХ-определение фенолов выполняли на жидкостном хроматографе Shimadzu LC-20 Prominence с флуориметрическим детектором Shimadzu RF-20A (Shimadzu, Япония) и хроматографической колонкой (250×4.6) мм, заполненной сорбентом Supelco Discovery C18 с размером частиц 5 мкм. Температура 35 оC, длина волны возбуждения — 215 нм, длина волны излучения — 300 нм, объем дозирующей петли — 20 мкл.
Определение коэффициентов распределения в системе жидкость–газ. Газоэкстракционное генерирование СГС предусматривает использование информации о коэффициентах распределения аналитов между жидкой и газовой фазами K. Величину К определяли по убыли концентрации тестовых веществ в находящемся в барботере (приборе Зайцева) модельном водном растворе после пропускания через него определенного объема газа-экстрагента по известной [15] формуле:
,
где VG — объем газовой фазы в барботере. Отношение концентраций аналитов в растворе (/cL) заменяли на соответствующее ему отношение площадей пиков тестовых веществ на хроматограмме при газохроматографическом анализе водного раствора до и после пропускания заданного объема газа-экстрагента vG. Случайную погрешность ɛ определения величины K рассчитывали по известной [16] формуле:
где t — коэффициент Стьюдента, зависящий от доверительной вероятности Р и числа параллельных определений n; s — среднее квадратичное отклонение.
РЕЗУЛЬТАТЫ И ИХ ОБСУЖДЕНИЕ
Предварительно экспериментально определили коэффициенты распределения целевых компонентов в системе жидкость–газ, которые не зависят от их концентрации в водном растворе (табл. 1), что свидетельствует о выполнении закона Генри [12]. Кроме того, если концентрации компонентов не превышают (100—300) мг/л, то на их коэффициенты распределения не влияет и взаимное присутствие компонентов. Это создает необходимые предпосылки для генерирования многокомпонентных СГС с заранее заданными концентрациями целевых компонентов методом НГЭ.
Таблица 1. Коэффициенты распределения летучих органических веществ в системе водный раствор–азот при 25 оС в зависимости от их концентрации (мг/л) в растворе при раздельном (;) и совместном (+) присутствии в растворе (P = 0.95, n = 4)
Концентрации фенола и о-крезола в растворе | K × 10—3 | Концентрации бутанола-1 и пентанола-1 в растворе | K | ||
фенол | о-крезол | бутанол-1 | пентанол-1 | ||
30; 30 | 47.9 ± 1.9 | 19.5 ± 0.2 | 1.00; 1.00 | 3100 ± 110 | 2040 ± 160 |
30 + 30 | 48.2 ± 1.8 | 19.4 ± 0.3 | 1.00 + 1.00 | 3020 ± 160 | 2020 ± 110 |
100; 100 | 48.6 ± 2.0 | 19.9 ± 0.2 | 10.0; 10.0 | 3050 ± 180 | 2010 ± 50 |
100 + 100 | 48.7 ± 2.3 | 19.8 ± 0.3 | 10.0 + 10 | 3020 ± 150 | 2050 ± 70 |
300; 300 | 47.8 ± 1.8 | 19.5 ± 0.2 | 100; 100 | 3040 ± 60 | 2030 ± 40 |
300 + 300 | 48.5 ± 2.2 | 19.5 ± 0.2 | 100 + 100 | 3010 ± 50 | 2030 ± 60 |
Установлено, что скорость пропускания потока газа-экстрагента практически не влияет на концентрацию аналитов в газовой фазе, если этот поток не превышает 200 мл/мин. Рассчитанные на основании коэффициентов распределения концентрации аналитов в водных растворах, необходимые для получения СГС с концентрациями, равными 1 мг/ м3, 10 ppb, а также равными ПДК в атмосферном воздухе [14], приведены в табл. 2. Как следует из таблицы, для приготовления СГС на уровне ПДК требуются водные растворы аналитов с крайне низкими концентрациями компонентов, при которых начинает сказываться негативное влияние адсорбции молекул аналитов на стенках сосудов, используемых для приготовления растворов путем многократного разбавления. Кроме того, появляется возможность их улетучивания в процессе этого разбавления. В отличие от работ [7, 13, 17] c традиционной схемой реализации непрерывной газовой экстракции, более предпочтительной нам представляется схема получения СГС, основанная на динамическом разбавлении в 10—100 раз более концентрированной генерируемой СГС потоком очищенного лабораторного воздуха или азота. Подобная схема легко реализуется с помощью двухканального формирователя газовых потоков (рис. 1). Поскольку коэффициенты распределения аналитов сильно зависят от температуры, сосуд с генерирующим раствором помещали в жидкостный термостат, который на этом рисунке не показан.
Таблица 2. Требуемые концентрации летучих органических веществ в водных растворах для газоэкстракционного получения стандартных газовых смесей с определенными концентрациями аналитов и их коэффициенты распределения (K) между водной и газовой (азот) фазами (n = 4, P = 0.95)
Аналит | K (25 °C) | ПДК, мкг/м3 [14] | Концентрации (мг/л) аналитов в водном растворе для получения СГС с заданной концентрацией | ||
1 мг/м3 | 10 ppb | ПДК | |||
Фенол | 47900 ± 1800 | 10 | 48.6 | 1.87 | 0.486 |
о-Крезол | 19500 ± 700 | 5 | 19.6 | 8.68 | 0.098 |
м-Крезол | 41200 ± 1900 | 5 | 41.4 | 18.3 | 0.207 |
п-Крезол | 39800 ± 1700 | 5 | 40.0 | 17.7 | 0.200 |
н-Бутанол | 3020 ± 120 | 100 | 3.01 | 0.091 | 0.301 |
Изобутанол | 1630 ± 70 | 100 | 1.63 | 0.049 | 0.54 |
Пентанол | 2030 ± 110 | 10 | 2.03 | 0.074 | 0.020 |
Изопентанол | 1920 ± 80 | 10 | 1.92 | 0.070 | 0.019 |
н-Гексанол | 1390 ± 60 | 200 | 1.38 | 0.057 | 0.274 |
Нитробензол | 870 ± 40 | 8 | 0.87 | 0.046 | 0.007 |
Рис. 1. Схема генерирования стандартных газовых смесей с разбавлением. 1 – двухканальный формирователь газовых потоков с двумя регуляторами расхода газа; 2 – сосуд с водным раствором аналита; 3 – деформационный манометр; 4 – регулируемый механический дроссель; 5 – выход стандартной газовой смеси с аналитом.
При кажущейся простоте подобного разбавления для получения воспроизводимых результатов, отвечающих законам идеальных газов, необходимо, чтобы давление газа-разбавителя на входе в смесительную камеру было, по крайней мере, на 30 кПа (0.3 атм) ниже давления в сосуде с раствором целевого компонента, из которого газовый поток подается в смесительную камеру через дроссель. В этом случае концентрация целевого компонента в потоке генерируемой СГС после разбавления cG может быть рассчитана по формуле:
, (2)
где — концентрация целевого компонента на выходе из сосуда с раствором; W0 и W — объемные скорости потока воздуха (азота), проходящего через раствор аналита и разбавляющего потока соответственно; Pатм и P0 — атмосферное давление и давление в сосуде с раствором целевого компонента.
Для оценки правильности разработанной схемы генерирования СГС сопоставили рассчитанные по формуле (2) и экспериментально найденные значения концентраций фенолов в СГС. Методика определения состояла в сорбционном концентрировании аналитов из потока СГС, элюировании сорбированных фенолов с помощью органического растворителя и последующее определение аналитов в элюате методом жидкостной хроматографии с флуориметрическим детектированием. Концентрирование осуществляли в колонке (3×0.3) см, заполненной активным углем ФАД с размером частиц 0.5—0.9 мм в течение 50 мин. Расход газа-экстрагента для фенолов устанавливали таким образом, чтобы сумма W0 и W была равна 400 мл/мин. Десорбцию фенолов осуществляли 1.5 мл ацетонитрила. Ранее установлено [18], что при выбранных условиях происходит количественное извлечение фенолов со степенью извлечения не менее 97%. Экспериментально значения концентраций фенолов в СГС находили по формуле:
где Sx — площадь пика аналита на хроматограмме после десорбции; Sst — площадь пика аналита при анализе его стандартного водного раствора с концентрацией cL; VL — объем ацетонитрила при десорбции фенола; WG — расход газовой смеси через сорбционную колонку; t — время пропускания газовой смеси через колонку.
Полученные результаты (табл. 3) свидетельствуют о правильности разработанной схемы генерирования СГС. Погрешности расчетных значений находили, исходя из погрешностей определения коэффициентов распределения аналитов.
Таблица 3. Расчетные (сGрасч) и экспериментально найденные (сGэксп) концентрации фенолов в генерируемых стандартных газовых смесях (n = 4, P = 0.95)
Аналит | W0, мл/мин | W, мл/мин | сGрасч, мкг/м3 | сGэксп, мкг/м3 |
Фенол | 40 | 360 | 206 ± 6 | 196 ± 10 |
о-Крезол | 40 | 360 | 472 ± 14 | 442 ± 22 |
Фенол | 8 | 392 | 41.2 ± 1.1 | 39.1 ± 1.8 |
о-Крезол | 8 | 392 | 94 ± 3 | 88 ± 4 |
Рассмотренная схема генерирования требует использования специального оборудования и достаточно высокой квалификации персонала. С точки зрения практической реализации более рациональной представляется двухстадийная газоэкстракционно-адсорбционно-десорбционная схема генерирования СГС. Её сущность состоит в том, что на первой газоэкстракционно-адсорбционной стадии, которая выполняется в специализированной лаборатории, СГС, генерируемую с помощью описанной выше процедуры динамической газовой экстракции с известными концентрациями аналитов, пропускают через колонку, заполненную сорбентом, до полного насыщения последнего (рис. 2). Процесс насыщения заканчивают после того, как концентрация аналита на выходе из сорбционной колонки (с1) будет равна его концентрации на входе (с0). Если после насыщения на вход сорбционной колонки подавать поток чистого газа (стадия десорбции), то концентрация аналита на выходе из нее (с2) будет в течение достаточно длительного времени, зависящего от емкости сорбента, оставаться постоянной и равной с0.
Рис. 2. Двухстадийная схема генерирования стандартных газовых смесей: (а) – первая стадия (насыщение); (б) – вторая стадия (десорбция). 1 – вход стандартной газовой смеси; 2 – сорбционная колонка; 3 – вход чистого газа; 4 – выход стандартной газовой смеси.
При условии необходимой герметичности сорбционной колонки интервал времени между стадиями может составлять несколько месяцев. При этом температуры насыщения сорбента и последующего генерирования СГС должны быть как можно ближе друг к другу. Подобный принцип получения СГС лежит в основе функционирования указанных выше ПИГС. Однако очевидным недостатком последних, который преодолен в настоящей работе, является невозможность получения СГС с заранее заданными концентрациями аналитов, например на уровне ПДК.
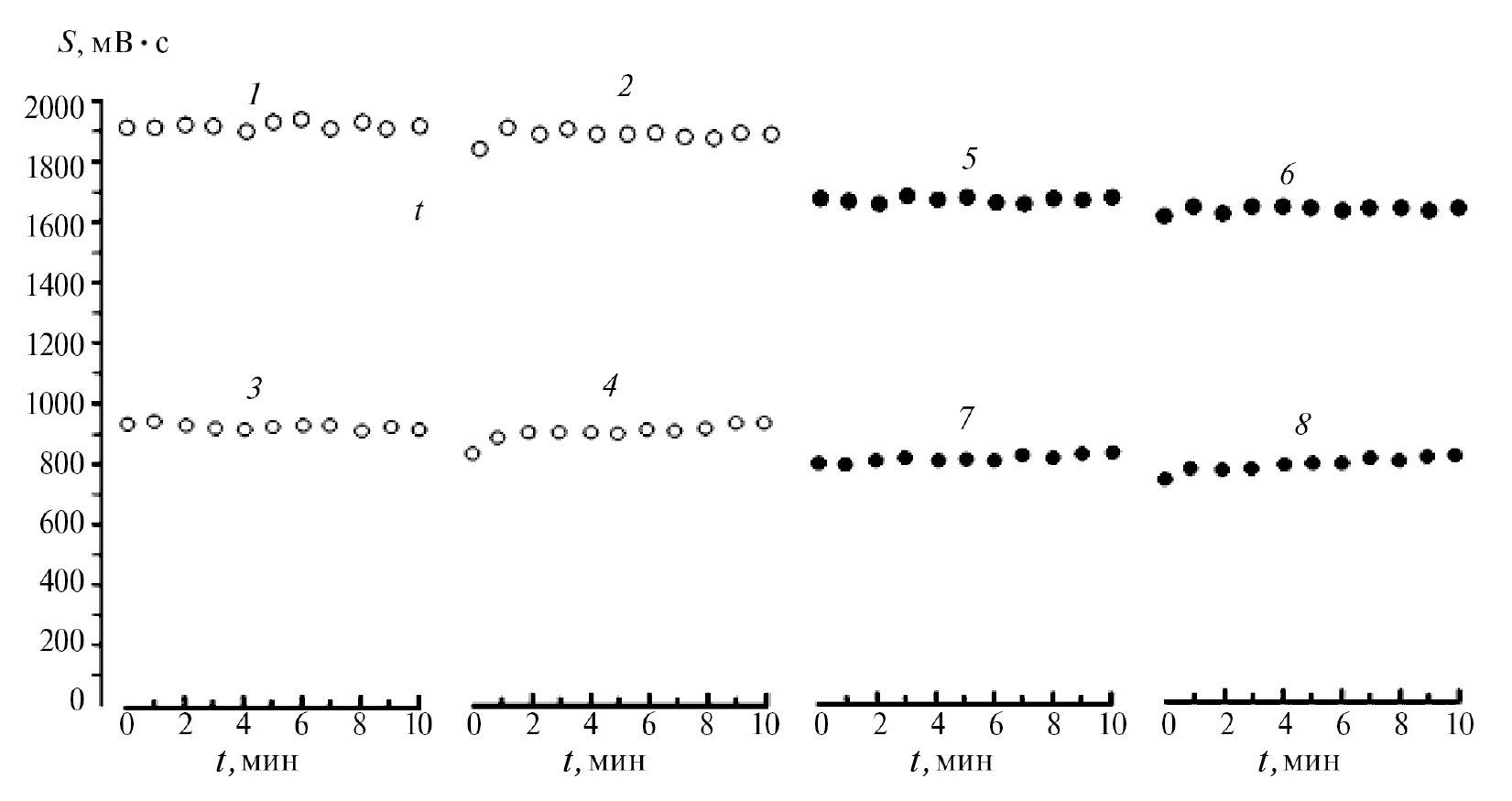
Возможности предложенной двухстадийной схемы генерирования СГС иллюстрирует рис. 3, где представлена динамика изменения концентраций фенола и бутанола в потоке газовой фазы на выходе из сорбционной колонки, а точнее площадей их пиков на хроматограмме при анализе этой фазы, при насыщении и последующей десорбции. Как видно из рисунка, площади пиков при насыщении и последующей десорбции практически совпадают.
Рис. 3. Динамика изменения концентрации (площади пика на хроматограмме) фенола (1–4) и бутанола (5–8) в потоке газовой фазы на выходе из сорбционной колонки при насыщении (1, 3, 5, 7) и десорбции (2, 4, 6, 8). Концентрация аналитов в газовой фазе 20 мг/м3 (1, 2, 5, 6) и 10 мг/м3 (3, 4, 7, 8).
Относительная неисключенная систематическая погрешность (ОНСП) концентрации в СГС θr, генерируемой по предложенной методике, складывается из ОНСП измерения коэффициента распределении аналита (θrK = 0.05), его концентрации в генерирующем растворе (θrсL= 0.02), расходов W0 (θrW0 = 0.05) и W (θrW = 0.05) при разбавлении, а также ОНСП, связанных с изменением концентрации во времени (θrI = 0.02) и с неравенством температур при насыщении и десорбции (θrс(T) = 0.02). При доверительной вероятности Р = 0.95 общую ОНСП можно оценить по формуле:
Подстановка численных значений величин, входящих в эту формулу, приводит к θr ≈ 10%, что можно считать неплохим результатом, учитывая очень низкие концентрации аналитов и многостадийность процедуры приготовления СГС. При отсутствии термостатирования погрешность возрастает до (20—25)%. Подобные значения погрешностей сопоставимы с погрешностями ПИГС [19].
Важнейшей характеристикой устройства для генерирования СГС является максимальный объем получаемой СГС () с допустимым отклонением фактической концентрации от заданного начального значения. Объем газового потока, содержание летучих веществ в котором уменьшается не более чем на заданную величину (δ), находится по известной из теории динамической газовой экстракции формуле:
,
где VL — объем жидкой фазы; δ — уменьшение концентрации аналита (в долях от исходного значения). Полученные данные представлены в табл. 4.
Таблица 4. Максимальные объемы (м3) генерируемых стандартных газовых смесей аналитов без разбавления и с разбавлением основного потока (VL = 1 л)
Аналит | Максимальный объем без разбавления | Максимальный объем с разбавлением в 50 раз | ||
для δ = 1% | для δ = 3% | для δ = 1% | для δ = 3% | |
Фенол | 0.489 | 1.481 | 24.5 | 74.1 |
о-Крезол | 0.197 | 0.598 | 9.9 | 29.9 |
Бутанол-1 | 0.030 | 0.092 | 1.5 | 4.6 |
Пентанол-1 | 0.020 | 0.062 | 1.0 | 3.1 |
Таким образом, разработанные схемы позволяют генерировать до нескольких кубометров СГС с содержаниями аналитов на уровне ПДК всего из одного литра генерирующего раствора.
Статья посвящена 300-летию Санкт-Петербургского государственного университета.
Об авторах
О. В. Родинков
Санкт-Петербургский государственный университет
Автор, ответственный за переписку.
Email: o.rodinkov@spbu.ru
Институт химии
Россия, Санкт-ПетербургМ. Е. Грега
Санкт-Петербургский государственный университет
Email: o.rodinkov@spbu.ru
Институт химии
Россия, Санкт-ПетербургВ. А. Спиваковский
Санкт-Петербургский государственный университет
Email: o.rodinkov@spbu.ru
Институт химии
Россия, Санкт-ПетербургЕ. А. Знаменская
Санкт-Петербургский государственный университет
Email: o.rodinkov@spbu.ru
Институт химии
Россия, Санкт-ПетербургА. А. Желудовская
Санкт-Петербургский государственный университет
Email: o.rodinkov@spbu.ru
Институт химии
Россия, Санкт-ПетербургСписок литературы
- Цизин Г.И., Статкус М.А. Сорбционное концентрирование микрокомпонентов в динамических условиях. М.: ЛЕНАНД, 2016. 480 с.
- Fijalo C., Dymerski T., Gebicki J., Namiesnik J. Devices for the Production of Reference Gas Mixtures // Crit. Rev. Anal. Chem. 2016. V. 46. № . 5. P. 361. https://doi.org/ 10.1080/10408347.2014.953672
- Slominska M., Konieczka P., Namiesnik J. New developments in preparation and use of standard gas mixtures // Trends Anal. Chem. 2014. V. 62. P. 135. https://doi.org/10.1016/j. trac.2014.07.013
- Платонов И.А., Родинков О.В., А.Р. Горбачева А.Р., Москвин Л.Н., Колесниченко И.Н. Методы и средства приготовления стандартных газовых смесей // Журн. аналит. химии. 2018. Т. 73. № 2. С. 83. (Platonov I.A., Rodinkov O.V., Gorbacheva A.R., Moskvin L.N., Kolesnichenko I.N. Methods and devices for the preparation of standard gas mixtures // J. Anal. Chem. 2018. V. 73. № 2. P. 83.) https://doi.org/10.7868/S0044450218020019
- Другов Ю.С., Конопелько Л.А., Попов О.Г. Контроль загрязнений воздуха жилых помещений, офисов, административных и общественных зданий. СПб: Наука, 2013. 302 с.
- ГОСТ ٨.٥٧٨-٢٠١٤. Государственная поверочная схема для средств измерений содержания компонентов в газовых средах. М.: Стандартинформ, 2014. 14 с.
- Витенберг А.Г., Конопелько Л.А. Парофазный газохроматографический анализ: метрологические приложения // Журн. аналит. химии. 2011. Т. 66. № 5. С. 452. (Vitenberg A.G., Konopelko L.A. Gaschromatographic headspace analysis: Metrological aspects // J. Anal. Chem. 2001. V. 66. № 5. P. 438.) https://doi.org/10.1134/S106193481103018X
- Горбачева А.Р., Родинков О.В. Хроматомембранное генерирование стандартных газовых смесей летучих органических соединений на уровне ppm // Аналитика и контроль. 2018. Т. 22. № 1. С. 75. https://doi.org/10.15826/analitika.2018.22.1.002.
- Родинков О.В., Рачковский И.Н., Москвин Л.Н. Хроматомембранное газоэкстракционное генерирование стандартных газовых смесей с применением композиционных угольно-фторопластовых смесей // Журн. аналит. химии. 2008. Т. 63. № 9. С. 941. (Rodinkov O.V., Rachkovskii I.N., Moskvin L.N. Chromatomembrane gas extraction generation of standard gas mixtures using composite carbon–fluoroplastic matrices // J. Anal. Chem. 2008. V. 63. № 9. P. 857.) https://doi.org/10.1134/S1061934808090104
- Березкин В.Г., Платонов И.А., Смыгина И.Н. Хромато-десорбционный способ получения потока газа, содержащего микропримеси летучих соединений // Изв. ВУЗов. Химия и хим. технол. 2007. Т. 50. № 8. С. 22.
- Платонов И.А., Колеснченко И.Н, Ланге П.К. Хроматодесорбционный способ приготовления градуировочных газовых смесей летучих органических соединений // Метрология. 2016. № 4. С. 29. (Platonov I.A., Kolesnichenko I.N., Lange P.К. Chromatographic-desorption method for preparing calibration gas mixtures of volatile organic compounds // Meas. Tech. 2017. V. 59. № 12. P. 1330.) https://doi.org/10.1007/s11018-017-1137-z
- Витенберг А.Г. Равновесная модель в описании процессов газовой экстракции и парофазного анализа // Журн. аналит. химии. 2003. Т. 58. № 1. С. 6. (Vitenberg A.G. Equilibrium model in the description of gas extraction and eadspace analysis // J. Anal. Chem. 2003. V. 58. № 1. P. 2.) https://doi.org/10.1023/A:1021873828994
- Витенберг А.Г., Добряков Ю.Г., Громыш Е.М. Приготовление стабильных газовых смесей с микроконцентрациями паров летучих веществ в парофазных источниках при повышенном давлении // Журн. аналит. химии. 2010. Т. 65. № 12. С. 1313. (Vitenberg A.G., Dobryakov Yu.G., Gromysh E.M. Preparation of stable gas mixtures with microconcentrations of volatile substances in vapor-phase sources at elevated pressures // J. Anal. Chem. 2010. V. 65. № 12. P. 1284.) https://doi.org/10.1134/S1061934810120142
- Санитарные правила и нормы СанПиН 1.2.3685-21. «Гигиенические нормативы и требования к обеспечению безопасности и (или) безвредности для человека факторов среды обитания». I. Гигиенические нормативы содержания загрязняющих веществ в атмосферном воздухе городских и сельских поселений. Предельно допустимые концентрации (ПДК) загрязняющих веществ в атмосферном воздухе городских и сельских поселений.
- Витенберг А.Г., Добряков Ю.Г. Газохроматографическое определение коэффициентов распределения летучих веществ в системе жидкость — газ // Журн. прикл. химии. 2008. Т. 81. № 3. С. 353. (Vitenberg A.G., Dobryakov Yu.G. Gas-chromatographic determination of the distribution ratios of volatile substances in liquid–gas system // J. Appl. Chem. 2008. V. 81. № 3. P. 339.) https://doi.org/10.1007/s11018-010-9447-4
- Аналитическая химия. Химический анализ: учебник / Зенкевич И.Г., Ермаков С.С., Карцова Л.А. и др. / Под ред. Москвина Л.Н. СПб: Лань, 2019. С. 53.
- Малышева А.О., Балдин М.Н., Грузнов В.М. Определение коэффициентов распределения летучих органических веществ в системе жидкость-воздух для создания градуировочных газообразных образцов со следовыми концентрациями веществ// Журн. аналит. химии. 2017. Т. 72. № 10. С. 867. (Malysheva А.O., Baldin M.N., Gruznov V.M. Determination partition coefficients of volatile organic substances in the system liquid–air for the creation of calibration gas-phase samples with trace concentrations of substances // J. Anal. Chem. 2017. V. 72. № . 10. P. 1013.) https://doi.org/10.7868/S0044450217100012
- Родинков О.В., Спиваковский В., Москвин Л.Н. Выбор условий сорбционного концентрирования фенолов из потока воздуха на поверхностно-слойных угольно-фторопластовых сорбентах для их последующего ВЭЖХ определения // Сорбционные и хроматографические процессы. 2020. Т. 20. № 2. С. 197. https://doi.org/10.17308/sorpchrom.2020.20/2773
- Витенберг А.Г., Пичугина А.С., Добряков Ю.Г. Использование парофазных источников газовых смесей для градуировки и поверки аналитической аппаратуры при измерении содержания примесей летучих веществ// Измерительная техника. 2009. № 12. С. 58. (Vitenberg A.G., Pichugina A.S., Dobryakov Yu.G. Use of vapor-phase sources of gas mixtures for calibration and verification of analytical: equipment in measuring the content of volatile substance impurity content // Meas. Tech. 2009. V. 52. № 12. P. 1372.) https://doi.org/ 10.1007/s11018-010-9447-4
Дополнительные файлы





