Extraction and Preconcentration of the Highly Lipophilic Antioxidant 2,6-Diisobornyl-4-Methylphenol and its Metabolite from Plasma Samples for the Determination by HPLC–MS/MS
- Authors: Lakeev A.P.1,2, Yanovskaya E.A.1,2, Yanovsky V.A.1, Andropov M.O.1
-
Affiliations:
- Scientific and Educational Center “Perspective Materials and Technologies in Subsoil Use”, Department of Chemistry, National Research Tomsk State University
- Goldberg Research Institute of Pharmacology and Regenerative Medicine, Tomsk National Research Medical Center, Russian Academy of Sciences
- Issue: Vol 78, No 2 (2023)
- Pages: 176-186
- Section: ORIGINAL ARTICLES
- Submitted: 14.10.2023
- URL: https://ogarev-online.ru/0044-4502/article/view/136019
- DOI: https://doi.org/10.31857/S0044450223020068
- EDN: https://elibrary.ru/CEKHAR
- ID: 136019
Cite item
Full Text
Abstract
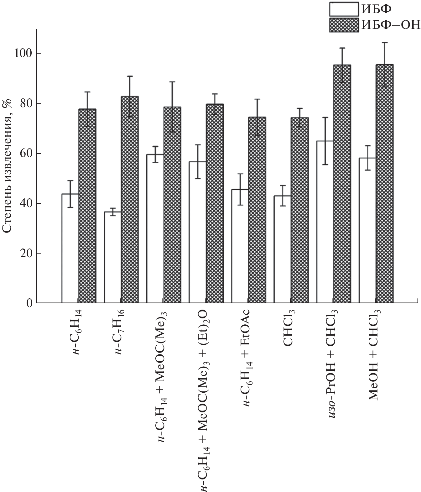
A procedure is proposed for the extraction of 2,6-diisobornyl-4-methylphenol (IBP), the molecule with potential multi-target activity, and its active metabolite 2,6-diisobornyl-4-hydroxymethylphenol (IBP–OH) from human and rat plasma samples for further determination by liquid chromatography–tandem mass spectrometry. The solubility of IBP (in mg/mL) in various organic solvents is determined. In particular, the compound is readily soluble in chloroform (346 ± 14), methyl tert-butyl ether (98.6 ± 3.8), and ethyl acetate (96.8 ± 2.0). It is shown that the use of a mixture of chloroform and isopropanol (5 : 1, v/v) as an extraction system with simultaneous protein precipitation makes it possible to extract only 66 ± 10% of IBP, while the recovery of IBP–OH is 96 ± 7%. Pre-dilution of 200 µL of plasma with 300 µL saline increases IBP recovery to 100 ± 4%. Drying the extracts in a vacuum concentrator (air, 45°C) with the further reconstitution of the residues in 300 μL of acetonitrile facilitates the purification of biosamples and the preconcentration of analytes. The total sample preparation time does not exceed 70 min, and the duration of an analysis is 7 min, the injection volume is 2 µL. The procedure has been successfully tested on actual rat plasma samples after a single oral administration of IBP (10 mg/kg in oil) in the framework of pharmacokinetic studies.
About the authors
A. P. Lakeev
Scientific and Educational Center “Perspective Materials and Technologies in Subsoil Use”, Department of Chemistry, National Research Tomsk State University; Goldberg Research Institute of Pharmacology and Regenerative Medicine, Tomsk National Research Medical Center, Russian Academy of Sciences
Email: lakeevs@mail.ru
634050, Tomsk, Russia; 634028, Tomsk, Russia
E. A. Yanovskaya
Scientific and Educational Center “Perspective Materials and Technologies in Subsoil Use”, Department of Chemistry, National Research Tomsk State University; Goldberg Research Institute of Pharmacology and Regenerative Medicine, Tomsk National Research Medical Center, Russian Academy of Sciences
Email: elena.yanovskaya@pharmso.ru
634050, Tomsk, Russia; 634028, Tomsk, Russia
V. A. Yanovsky
Scientific and Educational Center “Perspective Materials and Technologies in Subsoil Use”, Department of Chemistry, National Research Tomsk State University
Email: elena.yanovskaya@pharmso.ru
634050, Tomsk, Russia
M. O. Andropov
Scientific and Educational Center “Perspective Materials and Technologies in Subsoil Use”, Department of Chemistry, National Research Tomsk State University
Author for correspondence.
Email: elena.yanovskaya@pharmso.ru
634050, Tomsk, Russia
References
- Makhoba X.H., Jr C.V., Mosa R.A., Viegas F.PD., Pooe O.J. Potential impact of the multi-target drug approach in the treatment of some complex diseases // Drug Des. Devel. Ther. 2020. V. 14. P. 3235. https://doi.org/10.2147/DDDT.S257494
- Talevi A. Multi-target pharmacology: possibilities and limitations of the “skeleton key approach” from a medicinal chemist perspective // Front. Pharmacol. 2015. V. 6. Article 205. https://doi.org/10.3389/fphar.2015.00205
- Кучин А.В., Чукичева И.Ю., Федорова И.В. Способ получения 2,6-диизоборнил-4-метилфенола. Патент РФ № 2394807. Заявка 2008120876/04 от 28.05.2008, опубл. 20.07.2010.
- Чукичева И.Ю., Буравлев Е.В., Федорова И.В., Борисенков М.Ф., Кучин А.В. Антиоксидантные свойства терпенофенолов // Изв. АН. Сер. хим. 2010. № 12. С. 2220. (Chukicheva I.Yu., Buravlev E.V., Fedorova I.V., Borisenkov M.F., Kutchin A.V. Antioxidant properties of terpene-substituted phenols // Russ. Chem. Bull. 2010. V. 59. № 12. P. 2276.)https://doi.org/10.1007/s11172-010-0388-5
- Плотников М.Б., Краснов Е.А., Чернышева Г.А., Смольякова В.И., Иванов И.С., Кучин А.В., Чукичева И.Ю., Федорова И.В. Нейропротекторное средство. Патент РФ № 2406488. Заявка 2009115030/15 от 20.04.2009, опубл. 20.12.2010.
- Чернышева Г.А., Смольякова В.И., Кучин А.В., Чукичева И.Ю., Плотников М.Б. Нейропротективный эффект диборнола на модели фокальной ишемии-реперфузии головного мозга у крыс // Бюл. эксп. биол. и мед. 2018. Т. 166. № 7. С. 18. (Chenysheva G.A., Smol’akova V.A., Kutchin A.V., Chukicheva I.Yu., Plotnikov M.B. Neuroprotective effects of dibornol in focal cerebral ischemia/reperfusion in rats // Bull. Exp. Biol. Med. 2018. V. 166. № 1. P. 15.)https://doi.org/10.1007/s10517-018-4278-4
- Плотникова Т.М., Чернышева Г.А., Смольякова В.А., Щетинин П.П., Кучин А.В., Чукичева И.Ю., Плотников М.Б. Кардиопротективная активность 2,6-диизоборнил-4-метилфенола при острой ишемии-реперфузии миокарда у крыс // Бюл. эксп. биол. и мед. 2018. Т. 165. № 5. С. 601. (Plotnikova T.M., Chernysheva G.A., Smol’yakova V.A., Shchetinin P.P., Kuchin A.V., Chukicheva I.Yu., Plotnikov M.B. Cardioprotective activity of 2,6-diisobornyl-4-methylphenol in acute myocardial ischemia/reperfusion in rats // Bull. Exp. Biol. Med. 2018. V. 165. № 5. P. 657.)https://doi.org/10.1007/s10517-018-4235-2
- Жданкина А.А., Логвинов С.В., Плотников М.Б., Смольякова В.И., Иванов И.С., Кучин А.В., Чукичева И.Ю., Федорова И.В. Средство, обладающее ретинопротекторной активностью. Патент РФ № 2406487. Заявка 2009117355/15 от 06.05.2009, опубл. 20.12.2010.
- Плотникова Т.М., Чернышева Г.А., Смольякова В.А., Щетинин П.П., Кучин А.В., Чукичева И.Ю., Плотников М.Б. Гемореологические эффекты диборнола в условиях модели ишемии/реперфузии миокарда // Бюл. эксп. биол. и мед. 2014. Т. 157. № 2. С. 173. (Plotnikova T.M., Chernysheva G.A., Smol’yakova V.I., Shchetinin P.P., Kuchin A.V., Chukicheva I.Yu., Plotnikov M.B. Hemorheologic effects of dibornol in a model of myocardial ischemia/reperfusion // Bull. Exp. Biol. Med. 2014. V. 157. № 2. P. 211.)https://doi.org/10.1007/s10517-014-2527-8
- Плотников М.Б., Краснов Е.А., Смольякова В.И., Иванов И.С., Кучин А.В., Чукичева И.Ю. Средство, увеличивающее мозговой кровоток. Патент РФ № 2351321. Заявка 2007126303/15 от 10.07.2007, опубл. 10.04.2009.
- Плотников М.Б., Краснов Е.А., Смольякова В.И., Иванов И.С., Кучин А.В., Чукичева И.Ю., Буравлев Е.В. Средства, обладающие гемореологической, антиагрегантной и антитромбогенной активностью. Патент РФ № 2347561. Заявка 2007115301/15 от 23.04.2007, опубл. 27.02.2009.
- Боровская Т.Г., Камалова С.И., Кривова Н.А., Заева О.Б., Полуэктова М.Е., Вычужанина А.В., Григорьева В.А., Плотников М.Б., Гольдберг В.Е. Экспериментальное изучение эффективности фенольных антиоксидантов при мужской инфертильности, обусловленной патоспермией // Бюл. эксп. биол. и мед. 2018. Т. 166. № 7. С. 10. (Borovskaya T.G., Kamalova S.I., Krivova N.A., Zaeva O.B., Poluektova M.E., Vychuzhanina A.V., Grigor’eva V.A., Plotnikov M.B., Goldberg V.E. Experimental study of the effectiveness of phenolic antioxidants in male infertility caused by pathospermia // Bull. Exp. Biol. Med. 2018. V. 166. № 1. P. 7.)https://doi.org/10.1007/s10517-018-4276-6
- Боровская Т.Г., Камалова С.И., Григорьева В.А., Полуэктова М.Е., Вычужанина А.В., Кучин А.В., Чукичева И.Ю., Буравлев Е.В., Фомина Т.И., Плотников М.Б., Гольдберг В.Е., Дыгай А.М. Эффективность антиоксидантов фенольной природы в экспериментальной модели доброкачественной гиперплазии предстательной железы // Бюл. эксп. биол. и мед. 2019. Т. 167. № 5. С. 541. (Borovskaya T.G., Kamalova S.I., Grigor’eva V.A., Poluektova M.E., Vychuzhanina A.V., Kuchin A.V., Chukicheva I.Yu., Buravlev E.V., Fomina T.I., Plotnikov M.B., Goldberg V.E., Dygai A.M. Effectiveness of phenolic antioxidants in experimental model of benign prostatic hyperplasia // Bull. Exp. Biol. Med. 2019. V. 167. № 5. P. 606.)https://doi.org/10.1007/s10517-019-04580-3
- Чернышева Г.А., Смольякова В.И., Плотников М.Б., Яновская Е.А., Гурто Р.В., Удут В.В., Кучин А.В., Чукичева И.Ю. Фармакокинетика фенольного антиоксиданта 4-метил-2,6-диизоборнилфенола при внутривенном введении // Эксп. клин. фармакол. 2011. Т. 74. № 9. С. 20.
- Смольякова В.И., Чернышева Г.А., Яновская Е.А., Гурто Р.В., Кучин А.В., Чукичева И.Ю., Удут В.В., Плотников М.Б. Оценка линейности фармакокинетики фенольного антиоксиданта 4-метил-2,6-диизоборнилфенола при внутрижелудочном введении // Эксп. клин. фармакол. 2014. Т. 77. № 2. С. 31.
- Смольякова В.И., Чернышева Г.А., Яновская Е.А., Гурто Р.В., Кучин А.В., Чукичева И.Ю., Удут В.В., Плотников М.Б. Распределение 4-метил-2,6-диизоборнилфенола в тканях и органах крыс // Эксп. клин. фармакол. 2014. Т. 77. № 9. С. 28.
- Чернышева Г.А., Смольякова В.И., Яновская Е.А., Кучин А.В., Чукичева И.Ю., Удут В.В., Плотников М.Б. Биодоступность фенольного антиоксиданта 4-метил-2,6-диизоборнилфенола при пероральном введении // Бюл. эксп. биол. и мед. 2016. Т. 161. № 4. С. 494. (Chernysheva G.A., Smolyakova V.I., Yanovskaya E.A., Kutchin A.V., Chukicheva I.Yu., Udut V.V., Plotnikov M.B. Bioavailability of phenolic antioxidant 4-methyl-2,6-diisobornylphenol after oral administration // Bull. Exp. Biol. Med. 2016. V. 161. № 4. P. 505.)https://doi.org/10.1007/s10517-016-3448-5
- Яновская Е.А., Смольякова В.И., Чернышева Г.А., Гурто Р.В., Кучин А.В., Чукичева И.Ю., Удут В.В., Плотников М.Б. Экскреция высоколипофильного фенольного антиоксиданта у крыс // Хим.-фарм. журн. 2017. Т. 51. № 5. С. 13. (Yanovskaya E.A., Smol’yakova V.I., Chernysheva G.A., Gurto R.V., Kuchin A.V., Chukicheva I.Yu., Udut V.V., Plotnikov M.B. Excretion of a highly lipophilic phenolic antioxidant from rats // Pharm. Chem. J. 2017. V. 51. № 5. P. 340.)https://doi.org/10.1007/s11094-017-1610-7
- Bird D.A., Tangirala R.K., Fruebis J., Steinberg D., Witztum J.L., Palinski W. Effect of probucol on LDL oxidation and atherosclerosis in LDL receptor-deficient mice // J. Lipid Res. 1998. V. 39. № 5. P. 1079.
- Xie K., Xiang J., Yu Q., Liang M.-Z., Nan F., Qin Y.-P. Determination of probucol in human plasma by HPLC–MS/MS // J. Sichuan Univ. (Med. Sci. Edi.). 2012. V. 43. № 5. P. 775.
- Kudo S., Akiyama H., Odomi M., Miyamoto G. High-performance liquid chromatographic procedure for the determination of probucol in human plasma // J. Chromatogr. B: Biomed. Appl. 1983. V. 277. P. 419. https://doi.org/10.1016/s0378-4347(00)84869-0
- Ortega H., Coperias J.L., Castilla P., Gómez-Coronado D., Lasunción M.A. Liquid chromatographic method for the simultaneous determination of different lipid-soluble antioxidants in human plasma and low-density lipoproteins // J. Chromatogr. B: Biomed. Appl. 2004. V. 803. № 2. P. 249. https://doi.org/10.1016/j.jchromb.2003.12.025
- Elinder L.S., Walldius G. Simultaneous measurement of serum probucol and lipid-soluble antioxidants // J. Lipid Res. 1992. V. 33. № 1. P. 131.
- Nourooz-Zadeh J., Gopaul N.K., Forster L.A., Ferns G.A., Änggård E.E. Measurement of plasma probucol levels by high-performance liquid chromatography // J. Chromatogr. B: Biomed. Appl. 1994. V. 654. № 1. P. 55. https://doi.org/10.1016/0378-4347(94)00003-4
- Краснов Е.А., Назмутдинова Е.Е., Иванов И.С., Чукичева И.Ю., Кучин А.В., Плотников М.Б. Разработка методик анализа нового пространственно-затрудненного фенола диборнола в качестве фармацевтической субстанции // Хим.-фарм. журн. 2010. Т. 44. № 11. С. 53. (Krasnov E.A., Nazmutdinova E.E., Ivanov I.S., Chukicheva I. Yu., Kuchin A.V., Plotnikov M.B. Development of methods for the analysis of the new sterically hindered phenol dibornol as a pharmaceutical substance // Pharm. Chem. J. 2011. V. 44. № 11. P. 639.) https://doi.org/10.1007/s11094-011-0536-8
- Reichardt C., Welton T. Solvents and Solvent Effects in Organic Chemistry. Weinheim: Wiley-VCH, 2011. 711 p.
- Hansen C.M. Hansen Solubility Parameters: A User’s Handbook. N. W.: CRC Press, 2007. 520 p.
- Gross K.C., Seybold P.G. Substituent effects on the physical properties and pKa of phenol // Int. J. Quantum Chem. 2001. V. 85. № 4–5. P. 569. https://doi.org/10.1002/qua.1525
- https://pubchem.ncbi.nlm.nih.gov (23.05.2022).
- Boulebd H. Radical scavenging behavior of butylated hydroxytoluene against oxygenated free radicals in physiological environments: Insights from DTF calculations // Int. J. Chem. Kinet. 2021. V. 54. P. 50. https://doi.org/10.1002/kin.21540
- Государственная Фармакопея РФ XIV издания. М.: ФГБУ “Научный центр экспертизы средств медицинского применения” Минздрава России, 2018. Т. 1. С. 542 (ОФС. 1.2.1.0005.15 Растворимость). https://pharmacopoeia.ru/ofs-1-2-1-0005-15-rastvorimost (23.05.2022). https://femb.ru/record/pharmacopea14 (23.05.2022).
Supplementary files









