Определение 6-нитро-7-(4'-нитрофенил)-5-этил-4,7-дигидропиразоло[1,5-a]пиримидин-3-карбоксилата как потенциального противоопухолевого средства методом вольтамперометрии
- Авторы: Можаровская П.Н.1, Ивойлова А.В.1, Терехова А.А.1, Цмокалюк А.Н.1, Иванова А.В.1, Козицина А.Н.1, Русинов В.Л.1,2
-
Учреждения:
- Уральский федеральный университет им. первого Президента России Б.Н. Ельцина
- Институт органического синтеза им. И.Я. Постовского Уральского отделения Российской академии наук
- Выпуск: Том 78, № 3 (2023)
- Страницы: 260-267
- Раздел: ОРИГИНАЛЬНЫЕ СТАТЬИ
- Статья получена: 14.10.2023
- URL: https://ogarev-online.ru/0044-4502/article/view/136017
- DOI: https://doi.org/10.31857/S0044450223020081
- EDN: https://elibrary.ru/FUUGSE
- ID: 136017
Цитировать
Полный текст
Аннотация
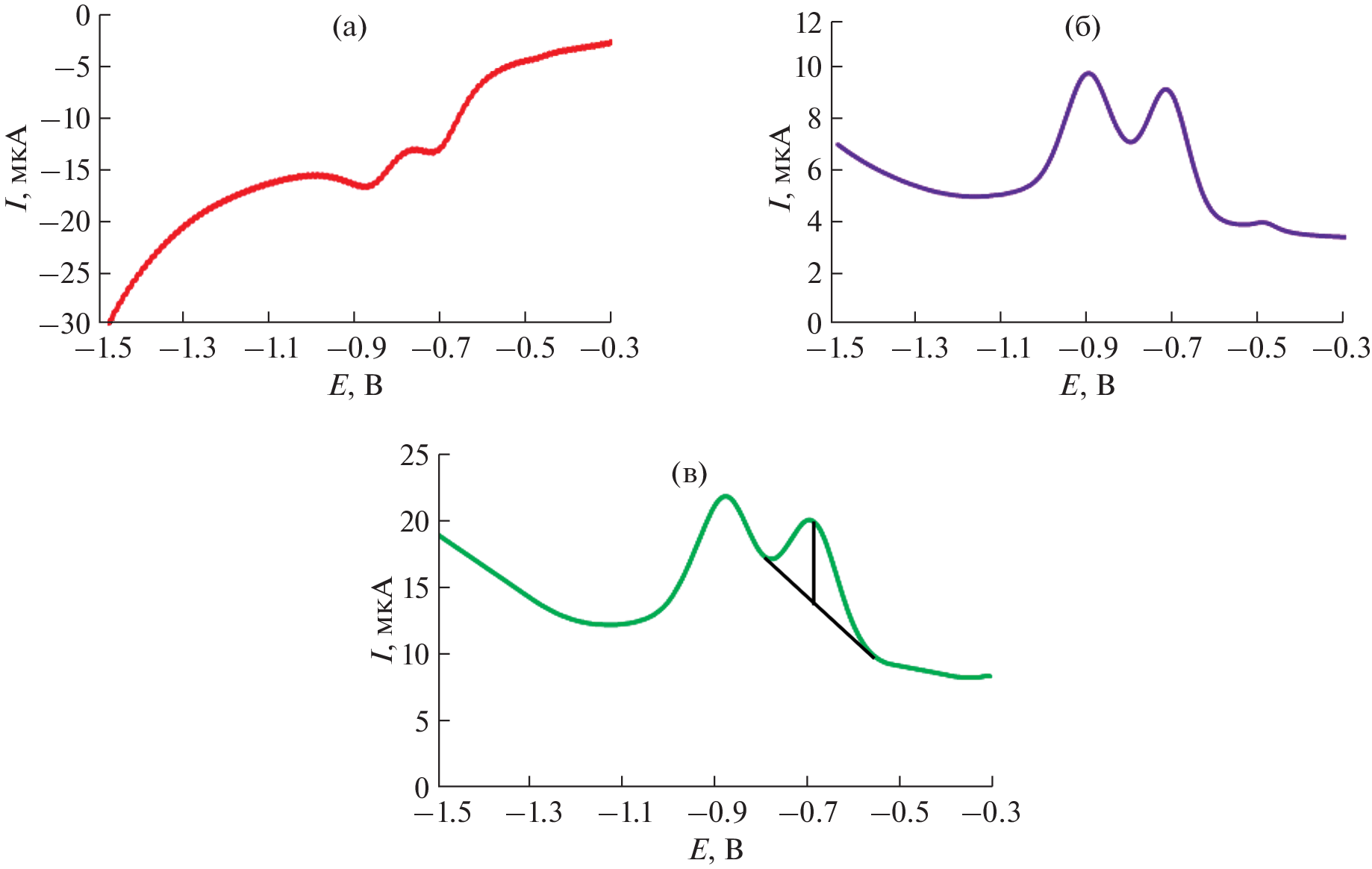
6-Нитро-7-(4’-нитрофенил)-5-этил-4,7-дигидропиразоло[1,5-a]пиримидин-3-карбоксилат (1) относится к числу перспективных противоопухолевых соединений, проявляющих биологическую активность по отношению к казеинкиназе типа 2, которая в настоящее время рассматривается как многообещающая мишень в химиотерапии. C помощью метода циклической вольтамперометрии показано, что электрохимическая активность соединения 1 в смешанном растворе трис-НСl и этанола (1 : 1) при рН 7.5 на стеклоуглеродном электроде обусловлена электровосстановлением нитрогруппы, сопряженной с фенильным кольцом. Разработан способ определения соединения 1 методом прямой катодной квадратно-волновой вольтамперометрии. Область линейности соответствующего градуировочного графика, построенного в растворе смеси трис-НСl и этанола (1 : 1) при рН 7.5, составляет 5–500 мг/л (R2 = 0.988), предел обнаружения − 0.8 мг/л, предел количественного определения – 2.4 мг/л. Правильность разработанной методики близка к 100%, относительное стандартное отклонение составило 1.4%.
Об авторах
П. Н. Можаровская
Уральский федеральный университет им. первого Президента России Б.Н. Ельцина
Email: pnmozharovskaia@urfu.ru
Россия, 620002, Екатеринбург, ул. Мира 19
А. В. Ивойлова
Уральский федеральный университет им. первого Президента России Б.Н. Ельцина
Email: pnmozharovskaia@urfu.ru
Россия, 620002, Екатеринбург, ул. Мира 19
А. А. Терехова
Уральский федеральный университет им. первого Президента России Б.Н. Ельцина
Email: pnmozharovskaia@urfu.ru
Россия, 620002, Екатеринбург, ул. Мира 19
А. Н. Цмокалюк
Уральский федеральный университет им. первого Президента России Б.Н. Ельцина
Email: pnmozharovskaia@urfu.ru
Россия, 620002, Екатеринбург, ул. Мира 19
А. В. Иванова
Уральский федеральный университет им. первого Президента России Б.Н. Ельцина
Email: pnmozharovskaia@urfu.ru
Россия, 620002, Екатеринбург, ул. Мира 19
А. Н. Козицина
Уральский федеральный университет им. первого Президента России Б.Н. Ельцина
Email: pnmozharovskaia@urfu.ru
Россия, 620002, Екатеринбург, ул. Мира 19
В. Л. Русинов
Уральский федеральный университет им. первого Президента России Б.Н. Ельцина; Институт органического синтеза им. И.Я. Постовского Уральского отделения Российской академии наук
Автор, ответственный за переписку.
Email: pnmozharovskaia@urfu.ru
Россия, 620002, Екатеринбург, ул. Мира 19; Россия, 620137, Екатеринбург, ул. Софьи Ковалевской 22
Список литературы
- Pilleron S., Sarfati D., Janssen-Heijnen M., Vignat J., Ferlay J., Bray F., Soerjomataram I. Global cancer incidence in older adults, 2012 and 2035: A population-based study // Int. J. Cancer. 2019. V. 144. № 1. P. 49.
- Davatgaran-Taghipour Y., Masoomzadeh S., Farzaei M.H., Bahramsoltani R., Karimi-Soureh Z., Rahimi R., Abdollahi M. Polyphenol nanoformulations for cancer therapy: Experimental evidence and clinical perspective // Int. J. Nanomed. 2017. V. 12. P. 2689.
- Abdelaziz H.M., Gaber M., Abd-Elwakil M.M., Mabrouk M.T., Elgohary M.M., Kamel N.M., Kabary D.M., Freag M.S., Samaha M.W., Mortada S.M. Inhalable particulate drug delivery systems for lung cancer therapy: Nanoparticles, microparticles, nanocomposites and nanoaggregates // J. Control. Release. 2018. V. 269. P. 374.
- Madamsetty V.S., Mukherjee A., Mukherjee S. Recent trends of the bio-inspired nanoparticles in cancer theranostics // Front. Pharmacol. 2019. V. 10. P. 1264.
- Fuchi Y. Murase H., Kai R., Kurata K., Karasawa S., Sasaki S. Artificial host molecules to covalently capture 8-Nitro-cGMP in neutral aqueous solutions and in cells // Bioconjug. Chem. 2021. V. 32. № 2. P. 385.
- Denny W.A., Wilson W.R., Stevenson R.J., Tercel M., Atwell G.J., Yang S. Patterson V.A. Nitrobenzindoles and their use in cancer therapy. U.S. Patent No. 7718688. 18.05.2010.
- Wardman P. Application of pulse radiolysis methods to study the reactions and structure of biomolecules // Rep. Prog. Phys. 1978. V. 21. № 2. P. 259.
- Grunberg E., Titsworth E.H. Chemotherapeutic properties of heterocyclic compounds: monocyclic compounds with five-membered rings // Ann. Rev. Microbiol. 1973. V. 27. № 21. P. 317.
- Alavi M., Nokhodchi A. Micro- and nanoformulations of paclitaxel based on micelles, liposomes, cubosomes, and lipid nanoparticles: Recent advances and challenges // Drug Discov. Today. 2022. V. 27. № 2. P. 576.
- Bhatnagar I., Kim S-K. Marine antitumor drugs: Status, shortfalls and strategies // Marine Drugs. 2010. V. 8. № 10. P. 2702.
- Pérez-Herrero E., Fernández-Medarde A. Advanced targeted therapies in cancer: Drug nanocarriers, the future of chemotherapy // Eur. J. Pharm. Biopharm. 2015. V. 93. P. 52.
- Asati V., Anant A., Patel P., Kaur K., Gupta G.D. Pyrazolopyrimidines as anticancer agents: A review on structural and target-based approaches // Eur. J. Med. Chem. 2021. V. 225. Article 113781.
- Pagano M.A., Cesaro L., Meggio F., Pinna L.A. Protein kinase CK2: A newcomer in the “druggable kinome” // Biochem. Soc. Trans. 2006. V. 34. № 6. P. 1303.
- Squella J.A., Bollo S., Núñez-Vergara L.J. Recent developments in the electrochemistry of some nitro compounds of biological significance // Curr. Org. Chem. 2005. V. 9. № 6. P. 565
- Малахова Н.А., Ивойлова А.В. Замана А.А., Русинов В.Л., Алямовская И.С., Иванова А.В., Козицина А.Н. Количественное определение основного вещества противовирусного препарата Триазид® с использованием метода вольтамперометрии // Журн. аналит. химии. 2020. Т. 75. № 3. С. 266.
- Bonfilio R., De Araújo B.M., Salgado H.R.N. Recent applications of analytical techniques for quantitative pharmaceutical analysis: A review // WSEAS Trans. Biol. Biomed. 2010. T. 7. № 4. P. 316.
- El-Shahawi M.S., Bahaffi S.O., El-Mogy T. Analysis of domperidone in pharmaceutical formulations and wastewater by differential pulse voltammetry at a glassy-carbon electrode // Anal. Bioanal. Chem. 2007. V. 387. № 2. P. 719.
- Zittel H.E., Miller F.J. A glassy-carbon electrode for voltammetry // Anal. Chem. 1965. V. 37. № 2. P. 200.
- Baizer M. M., Lund H. Organic Electrochemistry. New York, 1983. P. 1166.
Дополнительные файлы








