Изменение структурных характеристик и состояния воды в композиционных полисульфоновых и полиэфирсульфоновых мембранах
- Authors: Лазарев С.И.1, Головин Ю.М.1, Яновская Э.Ю.2, Долгова О.В.1, Хорохорина И.В.1
-
Affiliations:
- Тамбовский государственный технический университет
- Российский национальный исследовательский медицинский университет имени Н.И. Пирогова
- Issue: Vol 60, No 6 (2024)
- Pages: 595-604
- Section: НАНОРАЗМЕРНЫЕ И НАНОСТРУКТУРИРОВАННЫЕ МАТЕРИАЛЫ И ПОКРЫТИЯ
- URL: https://ogarev-online.ru/0044-1856/article/view/281024
- DOI: https://doi.org/10.31857/S0044185624060039
- EDN: https://elibrary.ru/MQDZFU
- ID: 281024
Cite item
Full Text
Abstract
В работе представлены результаты интерпретации и анализа ИК-НПВО спектров композиционных ультрафильтрационных (УФ) мембран из полисульфона (ПС) и полиэфирсульфона (ПЭС) в воздушносухом и водонасыщенном состояниях с целью оценки структурных изменений активного слоя, вызванных статическим и динамическим водонасыщением. Сравнительный анализ ИК-спектров воздушносухого и водонасыщенного образцов установил, что в области скелетных колебаний частоты полос поглощения функциональных групп ПС и ПЭС не происходит смещений. Это позволяет утверждать о стабильности химической структуры матрицы активного слоя мембран данного типа. Проявление в ИК-НПВО спектрах УФ мембран воздушносухого состояния широкой полосы поглощения при ~3305 см–1 предполагает наличие в активном слое ПС и ПЭС суперпозиции различных OH--групп, участвующих в образованиях N-мерных водородных связей.
Относительные изменения формы и интенсивности полосы с высокочастотной стороны спектра для водонасыщенных образцов скрывают перераспределение водородных связей адсорбированной воды и ОН- – группами полиэтиленглиголя (ПЭГ), и позволяют предположить, что структура воды в поровом пространстве активного слоя мембраны существенно меняется, демонстрируя увеличение слабосвязанной “жидкой воды”. Уменьшение количества молекул ПЭГ является регулярным, вероятнее всего, при значительной гидратации молекул ПЭГ в адсорбированной воде и свидетельствует о частичном вымывании (выщелачивании), но не полном исчезновении.
Full Text
ВВЕДЕНИЕ
Мембранные технологии благодаря простоте эксплуатации, воздействию на окружающую среду, высокой разделительной способности и водопроницаемости при переносе конкретных компонентов находят применение в различных областях, от биомедицины и охраны окружающей среды до электроники.
Значительный интерес проявляется к разработке новых видов мембран, позволяющих увеличить скорость разделения и обеспечить высокую водопроницаемость. Мембрана служит средой для транспортировки протонов в объеме аппарата, являясь ключевым фактором, определяющим эффективность и скорость процесса разделения. Направления исследований разработки новых мембранных материалов сосредоточены на полимерных соединениях. Мембраны, изготовленные из полимеров, рассматриваются как ключевой компонент мембранной технологии для оптимизации производительности процесса разделения [1, 2].
Среди широкого спектра существующих полимерных мембран особый интерес вызывают композиционные сульфированные полимеры, относящиеся к классу иономеров. Среди них важное место занимают мембраны из органических полимеров из-за их низкой стоимости и простоты модификации, а именно поливинилиденфторид, полиакрилонитрил, полисульфон (ПС) и полиэфирсульфон (ПЭС) [3].
Мембраны из органических полимеров, в том числе из ПС и ПЭС, механически прочны, технологичны, химически стойки и термически стабильны. Благодаря этому они находят широкое применение при очистке воды, в биомедицине, разделении молочной сыворотки и др. [4–7].
Для уменьшения гидрофобности ПС и ПЭС мембраны различным образом изменяют. Воздействуют на них индуцированной плазмой, ультрафиолетом, обрабатывают и модифицируют поверхности и др. [4, 8–10]. Однако, зачастую, предлагаемые методы модификации сложны, их трудно внедрить в промышленность.
Самым перспективным способом уменьшения гидрофобности ПС и ПЭС мембран на сегодняшний день является введение в их состав добавок, которые в процессе получения оказывают влияние на формирование структуры, увеличивая или предотвращая образование макропористостей, усиливая образование пор, улучшая взаимосвязь пор и/или придавая гидрофильность. Добавками могут быть неорганические соли, низкомолекулярная органика, поверхностно-активные вещества, полимеры, минеральные наполнители или их смеси. Среди добавок при изготовлении ПС и ПЭС одними из лучших считаются поли(винилпирролидон) и поли(этиленгликоль) (ПЭГ). ПЭГ действует как подавитель макрообразования и придает ПС и ПЭС мембранам гидрофильный характер, за счет снижения температуры стеклования. Ко вторичной роли влияния ПЭГ можно отнести образование пор, улучшение термической и химической стабильности [11, 12].
В работе [13] проведены исследования структурной организации поверхностного (селективного) слоя ультрафильтрационных мембран из органических полимеров (производных ацетата целлюлозы) методом колебательной спектроскопии. Установлено, что вода оказывает деструктивное воздействие на структурную упорядоченность ацетатцеллюлозной основы рабочего слоя полупроницаемых мембран.
Выполненный литературный обзор работ [1–13] показал, что физические методы исследования являются фундаментальными способами изучения изменения структурных характеристик, состояния адсорбированной воды в поровом пространстве активных слоев композиционных ультрафильтрационных мембранах.
Поэтому целью данной работы является ИК-спектроскопические исследования изменения структурных характеристик в активном слое полисульфоновых и полиэфирсульфоновых мембран на основе их статического и динамического водонасыщения.
МЕТОДИКА ЭКСПЕРИМЕНТА
Для исследования были подготовлены образцы мембран ПС и ПЭС (полисульфоновые и полиэфирсульфоновые) в трех состояниях: (а) – воздушносухой, (б) – статически водонасыщенный, (в) – рабочий (динамически насыщенный пермеатом). Образцы вырезались из произвольных мест мембраны, водонасыщенный образец выдерживался в чистой воде в течение двух часов, затем влагу с поверхности удаляли фильтровальной бумагой. Поверхность рабочего образца мембраны (использовался в лабораторной ульрафильтрационной установке при разделении раствора органических кислот) промывали чистой водой с последующей сушкой фильтровальной бумагой. Образцы хранили в эксикаторе при комнатной температуре. ИК-НПВО спектры регистрировали с применением Фурье-спектрометра (Jasco FT/IR 6700) на приставке НПВО с кристаллом ZnSe (угол отражения 45°) в области частот 500–4000 см–1 с разрешением 4 см–1, количество сканов 32. Данные были преобразованы из файлов Spectrum в файлы ASCII для дальнейшей обработки ИК-НПВО спектров с использованием программного обеспечения ОИДЖИН 7.5. Были проведены исследования структуры дренажного слоя полисульфоновых и полиэфирсульфоновых мембран методом оптической микроскопии. Микрофотографии поверхности дренажного слоя образцов исследуемых мембран (воздушносухих и рабочих) выполнены с применением Thermo Scientific DXR Raman Microscope при 100-кратном увеличении.
РЕЗУЛЬТАТЫ И ИХ ОБСУЖДЕНИЕ
На рис. 1 показаны ИК-НПВО спектры в двух спектральных интервалах образцов ультрафильтрационных полисульфоновых (УФ ПС) мембран – воздушносухой (а), статического водонасыщения (б), рабочий (в) – динамического водонасыщения. Область скелетных колебаний (“отпечатков пальцев”) функциональных групп ПС представлена от 500 см–1 до1750 см–1, а область валентных колебаний от 2750 см–1 до 3750 см–1. Отметим, основываясь на литературных данных [14, 15], что спектры всех образцов содержат отчетливые характеристические полосы поглощения, соответствующие функциональным группам мономерного звена ПС – SO2, C–SO2–C, C–O–С, C6H6, 2СН3. В частности, полосы при ~1487 см–1 и ~1584 см–1 обусловлены колебаниями углеродных атомов C–С=С– бензольных колец, сильные полосы поглощения при ~1239 см–1 и ~1022 см–1 – колебаниями ароматического эфира (режимы асимметричного и симметричного растяжения C–O–С-связей). Симметричные и асимметричные деформационные колебания СН3 – групп проявляются при ~1365 см–1, ~1395 см–1 и при ~1410 см–1 соответственно. Типичные полосы при ~1294 см–1, ~1322 см–1 (дублет) и ~1150 см–1 соответствуют асимметричным и симметричным валентным колебаниям атомов сульфоновых SO2 – групп. Асимметричный и симметричный типы валентных колебаний метильных СН3 – групп наблюдаются при ~2966 см–1 и ~2928 см–1 соответственно. При ~946 см–1, ~793 см–1, ~658 см–1 и ~632 см–1 – деформационные колебания С–Н, С–S, С–С – групп при бензольном кольце. Слабые полосы при ~3040 см–1, ~3030 см–1 и ~3100 см–1 на фоне широкой полосы между 3100 см–1 – 3750 см–1 соотносятся с валентными колебаниями метинных групп бензольных колец.
Рис. 1. Копии ИК-НПВО спектров образцов УФ ПС мембраны в 2-х спектральных областях от 500см–1 до1750 см–1 и от 2750 см–1 до 3750 см–1. (образцы: а – воздушносухой (нерабочий), б – водонасыщенный, в – рабочий)
Сравнения ИК-НПВО спектров в области “отпечатков пальцев” образцов (рис. 1 спектры б, в) водонасыщенных мембран с образцом воздушносухой мембраны (рис. 1 спектр а) указывают на полное совпадение частот полос поглощения структурных звеньев ПС без смещений. Этот факт свидетельствует о химической стабильности макромолекул активного слоя УФ ПС мембраны. Однако, при тщательном анализе полос поглощения метильных групп при νas(CH3) = 2966 см–1 и vs(CH3) = 2928 см–1 (рис. 1) просматриваются изменения их интенсивностей. При набухании кинетическая подвижность полимерных сегментов увеличивается, а, следовательно, происходит и конформационная перестройка макромолекул.
Если отношение пиковых интенсивностей, рассчитанных по I[νas(CH3)]/I[vs(CH3)] согласно [16], для образца воздушносухой мембраны (рис. 1спектр а) оказалось равным 0.75, то для образцов водонасыщенной и рабочей мембран (рис. 1 спектры б, в) равно 0.84 и 1.1 соответственно. Эти данные иллюстрируют конформационные перестройки макромолекул при водонасыщении мембраны. Проявление “лишних” полос поглощения в ИК-НПВО спектре образца нерабочей мембраны (рис. 1 спектр а) при ~922 см–1 – и ~1037 см–1 (выделено прямоугольником), которые полностью исчезают в спектрах водонасыщенных образцов (рис. 1 спектры б, в) с заметным уменьшением интенсивности полос при ~2853 см–1, ~2870 см–1 явно указывают на присутствие полимерного модификатора ПЭГ, не иммобилизованного на функциональных группах ПС. Характерные полосы поглощения ПЭГ в области (1180–1000 см–1) валентных колебаний С–О – групп полиэфирной основы, деформационные колебания групп СН2 – ножничные, твистовые (1400–1180 см–1), веерные и маятниковые (700–1000 см–1), в основном маскируются в полосах поглощения ИК-НПВО спектрах ПС, не вызывая заметного влияния на их интенсивность [17–19].
Фактически, спектр от коммерческой УФ мембраны представляет собой обычное аддитивное сложение двух полимерных спектров ПС + ПЭГ.
Известно [18], что полоса сложной структуры при ~1037 см–1, являясь основной аналитически ценной полосой в ИК-НПВО спектрах систем, содержащих ПЭГ, соотносится с группой алифатического эфира C–O–C. Контур этой полосы определяет аддитивная сумма пяти независимых квантовых вибраторов С–С, С–ОН, С–О, С–О–С транс- и гош- конформации мономерного звена макромолекул ПЭГ и зависит от гидратации полимера. Отмечается [20, 21], что дегидратация приводит к агрегации молекул, изменяя локальную надмолекулярную структуру водного раствора ПЭГ. Следовательно, исчезновение полосы при ~1037 см–1 в процессе набухания мембраны можно объяснить как разрушение этой надмолекулярной структуры, но, отнюдь, не полного удаления ПЭГ, о чем свидетельствует уменьшение интенсивности полос поглощения СН2 – групп при ~2853см–1и ~2870 см–1 в водонасыщенных образцах (рис. 1 спектры б, в). Молекулы ПЭГ удерживаются в поровом пространстве активного слоя УФ мембраны за счет водородных связей между кислородом эфирной группы и водородом молекул воды.
Наличие ОН– – групп в активном слое УФ мембраны предполагает, по крайней мере, наложение двух событий, которые интерпретируются следующим образом: внутри пористых мембран, изготовленных с использованием метода инверсии фаз, всегда присутствует небольшое количество неизбежно захваченной воды [11]. Вода обнаруживается в результате, во-первых, образования водородных связей между OН– группой воды и атомами кислорода C–O–C, SO2 – групп ПС на поверхностях пор, во-вторых, происходит появление воды от концевых OН- – групп оставшегося ПЭГ в поровом пространстве мембранной структуры на завершающем технологическом этапе сушки гетерогенных мембран. Это наглядно проявляется в ИК-НПВО спектрах широкой полосой поглощения при ~3305 см–1, которая обусловлена суперпозицией различных OH– – групп, участвующих в образованиях N-мерных водородных связей.
Сравнение ИК-НПВО спектров водонасыщенных образцов (рис. 1 спектры б, в) в диапазоне валентных колебаний ОH- – групп (3000–3750 см–1), со спектром нерабочей мембраны (рис. 1спектр а) свидетельствуют о незначительном увеличении полуширины полосы поглощения при ~3305 см–1 и асимметричности ее формы в синей области спектра с явным проявлением дополнительного максимума при ~3368 см–1. Кроме этого, увеличивается интенсивность полосы при ~1653 см–1, соответствующая деформационным Н–О–Н колебаниям молекул воды. Несомненно, такие спектральные особенности указывают, что ОH- – группы воды в порах взаимодействуют со всеми компонентами полимерной системы ПС + ПЭГ с образованием N-мерных водородных связей.
Для оценки наблюдаемых изменений в ИК-НПВО спектрах нами отслеживались приведенные пиковые интенсивности полос поглощения при 1645 см–1, 2853см–1 и 3550 см–1 (3550 см–1 – характерная частота поглощения ОН– – групп слабосвязанной воды или “жидкой воды” [22] относительно пиковой интенсивности полосы колебаний атомов углерода бензольного кольца C=C при 1584 см–1). На рис. 2 показано нормализованное отношение пиковых интенсивностей полос поглощения при 2853 см–1, 1645 см–1 и 3550 см–1.
Рис. 2. Диаграмма приведенных пиковых интенсивностей полос поглощения при 2853 см–1, 1645 см–1, 3550 см–1 для образцов УФ ПС мембраны (образцы: а – воздушносухой (нерабочий), б – водонасыщенный, в – рабочий)
Данные указывают, что относительная интенсивность полосы при 2853 см–1 в образце (рис. 2 в) по отношению к образцу (рис. 2 а) уменьшается на ~60% напротив, интенсивность полосы при 3550 см–1 увеличивается на ~51%. Соотношение для полосы при 2853см–1 в образце (рис. 2 б) статически водонасыщенной мембраны уменьшается на ~36%, а для полосы при 3550 см–1, увеличивается на ~14%.
Основываясь на этих результатах, можно утверждать, что структура воды в поровом пространстве активного слоя мембраны существенно меняется, демонстрируя увеличение слабосвязанной “жидкой воды”. Эта тенденция более выражена в образце рабочей мембраны (рис. 2 в), т.е. при динамическом набухании. Уменьшение количества молекул ПЭГ, является регулярным, вероятнее всего, при значительной гидратации молекул ПЭГ в адсорбированной воде и свидетельствует о частичном вымывании (выщелачивании), но не полном исчезновении.
Таким образом, представленные ИК-НПВО спектры образцов УФ ПС мембраны при различных процессах набухания (статического (рис. 2 б), динамического (рис. 2 в)) демонстрируют, прежде всего, стабильность химической структуры активного слоя, но, при этом происходит конформационная перестройка макромолекул. Увеличение объема “жидкой воды” в порах приводит к разрушению надмолекулярной структуры полиэтиленгликоля не вызывая полного вымывания молекул.
На рис. 3 показаны ИК-НПВО спектры образцов УФ ПЭС мембран. В области частот “отпечатка пальцев” представленные ИК – спектры образцов типичны спектрам полимера ПЭС и хорошо согласуются с литературными данными [11, 23]. Мономерная группа ПЭС является одной из частей мономера полисульфона и состоит из двух арильных, двух сульфоновых SO2 и одной ароматической эфирной группы Ar–O–Ar. Поэтому в области частот скелетных колебаний функциональных групп ИК-НПВО спектры несколько похожи со спектрами ПС.
Рис. 3. Копии ИК-НПВО спектров образцов УФ ПЭС мембраны в 2-х спектральных областях от 500 см–1 до 1750 см–1 и от 2750 см–1 до 3750 см–1 (образцы: а – воздушносухой (нерабочий), б – водонасыщенный, в – рабочий)
Сравнительный анализ ИК-НПВО спектров (рис. 3) с литературными данными позволяет идентифицировать основные фундаментальные полосы поглощения ПЭС. В частности, сильные полосы поглощения при ≈1576 см–1 и ≈1485 см–1 соответствуют колебаниям атомов углерода бензольного кольца С–C=C в молекуле полиэфирсульфона. Дублет при ν (as)=1320–1296 см–1 и ѵ(s)=1148см–1, относятся к колебаниям сульфоновой группы S=O. Полосы поглощения при ≈1238 см–1 и 1103 см–1 характерны для ПЭС и обычно приписываются асимметричным и симметричным колебаниям эфирной Ar–O–Ar -группы. При этом заметим, что частоты полос поглощения структурных звеньев ПЭС для всех образцов УФ ПЭС мембраны совпадают (рис. 3 спектры а, б, в ). Эта важная особенность свидетельствует об отсутствии каких-либо химических изменений макромолекул активного слоя УФ ПЭС мембраны в процессе набухания.
В тоже время наблюдается заметное увеличение полуширины и интенсивности полосы поглощения при ≈1238 см–1, характерных для ПЭС отнесенной к асимметричным колебаниям эфирной группы С–O–С. Если сделать несколько смелое, но, тем не менее, достаточно разумное предположение, что производная дипольного момента эфирной группы С–О–С при вращении бензольного кольца вокруг связей О–С и С–SO2 увеличилась, то, в соответствии с классической теорией электромагнитного ИК-поглощения [24, 25], интенсивность асимметричного колебания ароматической эфирной группы С–О–С должна увеличиваться. Расчет приведенных пиковых интенсивностей полосы поглощения при ≈1238 см–1 относительно ≈1576 см–1 (I (1238) / I(1576)) показал следующие значения для образцов нерабочей, водонасыщенной и рабочей мембраны: 1.2; 1.8; 1.3 соответственно. Эти результаты показывают существенный уровень структурной перестройки макромолекул ПЭС при статическом водонасыщении.
Однако основными изменениями ИК-НПВО спектров УФ ПЭС являются появление “лишних” полос поглощения при ≈923см–1 и ≈1036 см–1, полностью исчезающих (отмечено прямоугольником рис. 3) в водонасыщенных образцах, а интенсивность сопутствующих полос при ≈2854 см–1 и ≈2936 см–1 уменьшается. Поскольку эти полосы отсутствует в ИК-спектрах чистых ПЭС, их присутствие в спектре воздушносухой (нерабочей) мембраны позволяет предположить, что в порах активного слоя наиболее вероятно содержится остаточный компонент водного раствора ПЭГ, не иммобилизованного на функциональных группах ПЭС. Присутствие в ИК-спектре широкой полосы при ≈3306 см–1 свидетельствует о наличии OH– – групп молекул воды (остаточной воды внутри мембраны), участвующих в образовании N-мерных водородных связей со всеми компонентами полимерной системы ПЭС + ПЭГ. Относительные изменения формы и интенсивности полосы с высокочастотной стороны спектра для водонасыщенных образцов скрывают перераспределение водородных связей адсорбированной воды и ОН– – группами ПЭГ. В частности, увеличивается полуширина полосы и проявляется заметный дополнительный максимум при ≈3380 см–1 (рис. 3 спектры б, в). Кроме этого, увеличивается интенсивность и полуширина полосы поглощения деформационных колебаний молекул Н2О при ≈1653 см–1 (рис. 3 спектры б, в). Два пика при ≈3096 см–1 и ≈3070 см–1 могут быть отнесены к растяжениям метинных групп бензольных колец. Фактически, спектры от коммерческой микрофильтрационной ПЭС мембраны представляют собой обычное аддитивное сложение двух полимерных спектров ПЭС + ПЭГ.
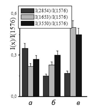
Количественные изменения ИК спектров определялись сравнениями приведенных пиковых интенсивностей полос при – 2854 см–1, 1653 см–1 и 3550 см–1 по отношению к интенсивности полосы колебаний атомов углерода бензольного кольца C=C при 1576 см–1.
На рис. 4 представлены нормализованные отношения пиковых интенсивностей указанных полос поглощения УФ ПЭС мембраны. Результаты свидетельствуют, что соотношение пиковых интенсивностей в образце (рис. 4 в) по отношению к образцу (рис. 4 а) для полосы поглощения при 2854 см–1 уменьшается на ~52%, а для полосы при 3550 см–1 увеличивается на ~42%. В тоже время в образце (рис. 4 в) соотношение для полосы при 2854 см–1 уменьшается на ~57%, а для полосы при 3550 см–1 увеличивается на ~10%.
Рис. 4. Диаграмма приведенных пиковых интенсивностей полос поглощения при 2854 см–1, 1653 см–1, 3550 см–1 для образцов УФ ПЭС мембраны (образцы: а – воздушносухой (нерабочий), б – водонасыщенный, в – рабочий)
В целом, данные демонстрируют, увеличение объема “жидкой воды” в поровом пространстве УФ ПЭС мембраны и частичное вымывание (выщелачивание) молекул полимерного модификатора ПЭГ в процессе водонасыщения.
Таким образом, анализ ИК-НПВО спектров образцов (рис. 4) УФ ПЭС мембраны подтвердил постоянство химической структуры и конформационную перестройку макромолекул активного слоя.
Изменения в спектрах образцов (рис. 4 б, в) водонасыщенных УФ ПЭС мембраны четко прослеживаются по полосам поглощения при ≈923 см–1 и при ≈1036.5 см–1, исчезающих в водонасыщенных образцах и по уменьшению интенсивности полос при ≈2854 см–1 и ≈2936 см–1 соответствующих метиленовым группам СН2. Это свидетельствует прежде всего о разрушении надмолекулярной структуры ПЭГ в процессе гидратации и частичного вымывания в результате увеличенного объема “жидкой воды” в порах активного слоя.
Анализ процесса водонасыщения ПС и ПЭС мембран при сохранении одинаковых условий определения относительных пиковых интенсивностей полос поглощения 2854 см–1 и 3550 см–1, позволяет достаточно точно сравнить процент выщелачивания ПЭГ и структуру адсорбированной воды в порах активного слоя. Так для ПС мембраны объем “жидкой воды” увеличивается на 51%, а для ПЭС на 42%. Количество ПЭГ в ПС мембране уменьшается на 60%, а для ПЭС на 52%. Установить корреляцию с размерами и структурой пор невозможно без дополнительных исследований, тем не менее можно сделать вывод: чем больше свободной “жидкой воды”, тем больше выщелачивается полимерный модификатор ПЭГ.
Кроме этого представлялось важным оценить состояние активного слоя ПС и ПЭС мембран. На рис. 5 а,б, 6 а,б представлены микрофотографии подложки исследуемых мембран, увеличенных в 100 раз, их воздушносухих и рабочих образцов, а также трехмерные графики подложки, выполненные в программе OriginPRO. После анализа оптических изображений и трехмерных графиков образцов ультрафильтрационных мембран ПС и ПЭС, полученных до и после действия трансмембранного давления, было отмечено изменение в их морфологии, в частности уплотнение волокон у рабочих образцов мембран. Вследствие этого можно предположить, что структурная перестройка макромолекул подложки ПС и ПЭС мембран влияет на конформацию макромолекул активного слоя, то есть происходит перераспределение соотношения аморфных и кристаллических сегментов мембран [26].
Рис. 5. Микрофотография и трехмерный график полимерного дренажного слоя мембраны из полисульфона: а – сухой образец; б – рабочий образец
Рис. 6. Микрофотография и трехмерный график полимерного дренажного слоя мембраны из полиэфирсульфона: а – сухой образец; б – рабочий образец
ЗАКЛЮЧЕНИЕ
Анализ и интерпретация ИК-НПВО – спектров активного слоя полисульфоновых и полиэфирсульфоновых ультрафильтрационных мембран в возушносухом состоянии, в состояниях статического и динамического водонасыщения, позволяют сделать следующие выводы:
- ИК-спектры всех образцов содержат отчетливые характеристические полосы поглощения, соответствующие функциональным группам мономерного звена ПС – SO2, C–SO2–C, C–O–С, C6H6, 2СН3. В частности, полосы при ~1487 см–1 и ~1584 см–1 обусловлены колебаниями углеродных атомов C–С=С– бензольных колец, сильные полосы поглощения при ~1239 см–1 и ~1022 см–1 – колебаниями ароматического эфира (режимы асимметричного и симметричного растяжения C–O–С-связей). Асимметричный и симметричный типы валентных колебаний метильных СН3 – групп наблюдаются при ~2966 см–1 и ~2928 см–1 соответственно. При ~946 см–1, ~793 см–1, ~658 см–1 и ~632 см–1 – деформационные колебания С–Н, С–S, С–С – групп при бензольном кольце. Слабые полосы при ~3040 см–1, ~3030 см–1 и ~ 3100 см–1 на фоне широкой полосы между 3100 см–1 – 3750 см–1 соотносятся с валентными колебаниями метинных групп бензольных колец.
- Присутствие ОН– – групп в активном слое УФ мембраны предполагает наличие двух факторов: во-первых, образование водородных связей между OН– воды и атомами кислорода C–O–C, SO2 – групп ПС на поверхностях пор, во-вторых, образование водородных связей от концевых OН– – групп оставшегося ПЭГ в поровом пространстве мембранной структуры на завершающем технологическом этапе сушки гетерогенных мембран. То есть, внутри полупроницаемых мембран, изготовленных с использованием метода инверсии фаз, всегда присутствует небольшое количество неизбежно захваченной воды. Это наглядно проявляется в ИК-НПВО спектрах широкой полосой поглощения при ~3305 см–1, которая обусловлена суперпозицией различных OH– – групп, участвующих в образованиях N-мерных водородных связей.
- Полученные ИК- спектры образцов УФ ПС и ПЭС мембраны при различных процессах водонасыщения демонстрируют, прежде всего, стабильность химической структуры активного слоя, но, при этом происходит конформационная перестройка макромолекул. Увеличение объема “жидкой воды” в порах приводит к разрушению надмолекулярной структуры полиэтиленгликоля, не вызывая полного вымывания молекул.
- Анализ процесса водонасыщения ПС и ПЭС мембран, при сохранении одинаковых условий определения относительных пиковых интенсивностей полос поглощения 2854 см–1 и 3550 см–1, позволяет достаточно точно сравнить процент выщелачивания ПЭГ и структуру адсорбированной воды в порах активного слоя. Так, для ПС мембраны объем “жидкой воды” увеличивается на 51%, а для ПЭС на 42%. Количество ПЭГ в ПС мембране уменьшается на 60%, а для ПЭС на 52%. Установить корреляцию с размерами и структурой пор невозможно без дополнительных исследований, но можно сделать следующий вывод: чем больше свободной “жидкой воды”, тем больше выщелачивается полимерный модификатор ПЭГ.
- Установлено, что при отсутствии химических изменений полимерных молекул активного слоя, матрица дренажного слоя ПС и ПЭС мембран претерпевает практически одинаковые структурные перестройки.
ФИНАНСИРОВАНИЕ
Работа выполнена в рамках проведения исследований по государственному заданию, проект №FEMU-2024–0011.
Исследование выполнено с использованием оборудования научно-образовательного центра “Безотходные и малоотходные технологии” и центра коллективного пользования “Получение и применение полифункциональных наноматериалов” Тамбовского государственного технического университета.
About the authors
С. И. Лазарев
Тамбовский государственный технический университет
Author for correspondence.
Email: lazarev.sergey.1962@mail.ru
Russian Federation, Советская, 106, Тамбов, 392000
Ю. М. Головин
Тамбовский государственный технический университет
Email: lazarev.sergey.1962@mail.ru
Russian Federation, Советская, 106, Тамбов, 392000
Э. Ю. Яновская
Российский национальный исследовательский медицинский университет имени Н.И. Пирогова
Email: lazarev.sergey.1962@mail.ru
Russian Federation, Островитянова, 1, Москва, 117997
О. В. Долгова
Тамбовский государственный технический университет
Email: lazarev.sergey.1962@mail.ru
Russian Federation, Советская, 106, Тамбов, 392000
И. В. Хорохорина
Тамбовский государственный технический университет
Email: lazarev.sergey.1962@mail.ru
Russian Federation, Советская, 106, Тамбов, 392000
References
- Nazif A., Karkhanechi H., Saljoughi E. at el. // Journal of Water Process Engineering. 2022. V. 47. 102706. https://doi.org/10.1016/j.jwpe.2022.102706
- Liu Y., Wang J. // J. Membr. Sci. 2020. V. 596. P. 1016. https://doi.org/10.1016/j.memsci.2019.117591
- Harris J.E. // Polysulfone. Engineering Thermoplastics. CRC Press. 2020.
- Kheirieh S., Asghari M., Afsari M. // Reviews in Chemical Engineering. 2018. V. 34. № 5 . P. 657. doi: 10.1515/revce-2017-0011
- Serbanescu O.S., Voicu S.I., Thakur V.K. // Materials today chemistry. 2020. V. 17. 100302. https://doi.org/10.1016/j.mtchem.2020.100302
- Abdel-Karim A., Leaper S., Alberto M. et al. // Chemical Engineering Journal. 2018. V. 334. Р. 789. https://doi.org/10.1016/j.cej.2017.10.069
- Лазарев С.И., Хорохорина И.В., Филимонова О.С. и др. // Вестник технологического университета. 2024. Т.27. №7. С. 62.
- Ma Y., Shi F., Ma J. // Desalination. 2011. V. 272. №1–3. Р. 51. doi: 10.1016/j.desal.2010.12.054
- Zhu J., Liao J., Jin W. et al. // Reactive and Functional Polymers. 2019. № 138. Р.104. https://doi.org/10.1016/j.reactfunctpolym.2019.02.006
- Yu S., Zhua J., Liao J. et al. // Separation and Purification Technology. 2021. V. 257. 117874. https://doi.org/10.1016/j.seppur.2020.117874
- Belfer S., Fainchtain R., Purinson Y. et al. // Journal of Membrane Science. 2000. V. 172. P. 113–124. https://doi.org/10.1016/S0376-7388(00)00316-1
- Sinha M.K., Purkait M.K. // Journal of Membrane Science. 2013. V. 437 P. 7. https://doi.org/10.1016/j.memsci.2013.03.003
- Лазарев С.И., Головин Ю.М., Хорохорина И.В. и др. // Исследования поверхностного ацетатцеллюлозного слоя в композиционных мембранах методом колебательной спектроскопии. Химическая физика. 2020. Т. 39. № 9. С. 80. doi: 10.31857/S0207401X20090071
- Drzewinski M.A. // Properties of sulfonated polysulfone ionomers. Amherst: University of Massachusetts. 1982. https://doi.org/https://doi.org/10.7275/ahx7-wp52
- Naim R., Ismail A.F., Saidi H. et al. // Reg. Symp. on Membrane Science Technology. 2004. № 1. P. 21.
- Snyder G., Liang G.L., Strauss H.L. et al. // Biophysical Journal. 1996. V. 71. Р. 3186. https://doi.org/10.1016/S0006-3495(96)79512-7
- Varga Z., Mihály J., Berényi S. et al. // Eur. Polym. 2013. V. 49. № 9. P. 2415. https://doi.org/10.1016/j.eurpolymj.2013.02.025
- Rozenberg M., Loewenschuss A., Marcus Y. // Spectrochimica Acta Part A: Molecular and Biomolecular Spectroscopy. 1998. V. 54. № 12. P. 1819. https://doi.org/10.1016/S1386-1425(98)00062-6
- Reddy Polu A., Kumar R. // E-Journal of Chemistry. 2011. V. 8. P. 347. https://doi.org/10.1155/2011/628790
- DuChanois R.M., Porter C.J., Violet C.E. et al. // Advanced Materials. 2021. V. 33. № 38. P. 2101312. https://doi.org/10.1002/adma.202101312
- Kataoka T., Kidowaki M., Zhao C. et al.// The J. of Physical Chemistry B. 2006. V. 48. № 110. P. 24377. https://doi.org/10.1021/jp0649246
- Луговской A.A., Поплавский Ю.Л., Сердюков В.И. и др. // Оптика атмосферы и океана. 2011. Т. 24. № 5. С. 418.
- Abou-Alkheer M.M., Oraby H., El-Hefnawy M. et al. // Sciences. 2015. № 5. Р. 58.
- Салахов М.Х., Камалова Д.И., Харинцев С.С. // Ученые записки Казанского государственного университета. Сер.: Физ.-мат. науки. 2005. Т. 147. № 2. С. 116.
- Пейнтер П., Коулмен М., Кениг Дж. / Теория колебательной спектроскопии. Приложение к полимерным материалам. М. : Мир. 1986. 580 с.
- Лазарев С.И., Головин Ю.М., Родионов Д.А. // Журнал физической химии. 2021. Т. 95. № 10. С. 1578.
Supplementary files







