Сорбция ионов тяжелых металлов биокомпозитом “целлюлоза – углеродные нанотрубки”
- Authors: Никифорова Т.Е.1, Вокурова Д.А.1
-
Affiliations:
- Ивановский государственный химико-технологический университет
- Issue: Vol 60, No 4 (2024)
- Pages: 358-366
- Section: ФИЗИКО-ХИМИЧЕСКИЕ ПРОЦЕССЫ НА МЕЖФАЗНЫХ ГРАНИЦАХ
- URL: https://ogarev-online.ru/0044-1856/article/view/271523
- DOI: https://doi.org/10.31857/S0044185624040032
- EDN: https://elibrary.ru/MAHRKI
- ID: 271523
Cite item
Full Text
Abstract
В работе представлены результаты разработки композиционного сорбента на основе целлюлозы и углеродных нанотрубок и исследования его сорбционных свойств по отношению к ионам Cu(II). Углеродные нанотрубки были последовательно модифицированы концентрированной серной кислотой, тионилхлоридом и этилендиамином и затем присоединены к целлюлозе, обработанной лимонной кислотой. Образование новых функциональных групп на поверхности композиционного целлюлозного сорбента подтверждается данными ИК- спектроскопии. Микроскопические исследования, выполненные с помощью сканирующего электронного микроскопа, демонстрируют различия поверхностной структуры сорбентов на основе целлюлозы до и после модификации. Исследованы кинетика и равновесие сорбции ионов меди (II) в гетерофазной системе “водный раствор – модифицированный сорбент”. Результаты кинетических исследований более корректно описываются с использованием модели кинетики псевдо-второго порядка. Обработка экспериментальных изотерм сорбции согласно уравнению Ленгмюра позволила определить предельную сорбционную емкость исходного сорбента и композита на его основе. Обнаружено, что сорбционная емкость композиционного сорбента превышает таковую для исходной целлюлозы примерно в шесть раз.
Keywords
Full Text
ВВЕДЕНИЕ
В последние годы рост промышленного производства привел к серьезному загрязнению окружающей среды ионами различных тяжелых металлов. В связи с быстрым развитием ряда отраслей, таких как горнодобывающая, металлургическая, металлообрабатывающая, а также транспорта, сельского хозяйства, ростом городов и т.д. происходит существенное увеличение концентрации тяжелых металлов в объектах гидросферы [1, 2]. Тяжелые металлы вызывают серьезное беспокойство из-за их токсичного воздействия на человека и водные экосистемы [3, 4]. Накопление тяжелых металлов в водной среде наносит серьезный ущерб экосистеме вследствие их фитотоксичности, канцерогенных свойств, а также биоаккумуляции и биомагнификации (биологического усиления) при продвижении по пищевой цепи [5, 6]. Среди токсичных для здоровья человека элементов наиболее часто в водоемах встречаются хром (Cr), медь (Cu), ртуть (Hg), никель (Ni), кадмий (Cd), мышьяк (As), свинец (Pb), цинк (Zn) и кобальт (Co). Тяжелые металлы считаются высокотоксичными даже в низких концентрациях, поскольку могут накапливаться в организме животных и человека и вызывать различные заболевания [7]. Так, источником загрязнения медью окружающей среды являются сточные воды промышленных предприятий, особенно цветной металлургии; Cu-содержащие удобрения и пестициды [8]. Несмотря на то, что медь является биомикроэлементом, в концентрациях, превышающих суточную потребность организма, как и ионы других тяжелых металлов, ионы меди способны приводить к ряду проблем со здоровьем, таким как головная боль, инактивация некоторых ферментов, негативное влияние на работу ЦНС вплоть до развития болезни Альцгеймера [9]. Таким образом, загрязнение водных экосистем тяжелыми металлами является серьезной проблемой, для решения которой требуется разработка современных эффективных, экономически выгодных и экологически безопасных способов очистки.
Для удаления тяжелых металлов из сточных вод применяются различные методы, включая химическое осаждение, флотацию, электрокоагуляцию, мембранное разделение, адсорбцию, ионный обмен и др. Благодаря высокой эффективности очистки, селективности, простоте аппаратурного оформления, низких эксплуатационных затратах, адсорбция получила широкое распространение для извлечения тяжелых металлов. В настоящее время в качестве сорбентов используются материалы различной природы, включая глины, цеолиты, оксиды железа, активированный оксид алюминия, активированный уголь, а также неорганические наноматериалы [10–12]. Традиционные неорганические адсорбенты имеют ряд недостатков, в том числе сложность и трудоемкость процессов получения и использования, а также высокая стоимость [12].
В связи с этим существует необходимость разработки экологически чистых, биоразлагаемых и недорогих адсорбирующих материалов, эффективных при очистке воды от тяжелых металлов, которые могли бы избежать этих проблем. Не случайно во всем мире все больше внимания уделяется биосорбентам, представляющим собой перспективный материал для очистки воды, в том числе, сточных вод, от ионов тяжелых металлов. В литературе сообщается об использовании с этой целью широкого ряда биосорбентов, включая побочные продукты сельского хозяйства, биоугли, бактерии, грибы, дрожжи, водоросли, а также выделенные из природных источников полисахариды (целлюлоза, хитин, альгинат и хитозан) [13–15]. Ряд исследований в этой области посвящен изучению сорбции ионов тяжелых металлов целлюлозосодержащими сорбентами, представляющими собой побочные продукты агропромышленного комплекса – короткое льняное волокно, рисовая шелуха и др. [16–17].
Материалы на основе целлюлозы привлекли значительное внимание научного сообщества из-за их способности адсорбировать ионы металлов. Целлюлоза является одним из наиболее распространенных природных полимеров, построенных из звеньев D-глюкопиранозы, линейно связанных β-(1→4) гликозидными связями. Наличие большого количества гидроксильных групп позволяет целлюлозе образовывать внутри- и межмолекулярные водородные связи. Однако сорбционная емкость целлюлозы не высока, поэтому ее модифицируют различными методами – химическими [18], физико-химическими [19], биохимическими [20]. Введение функциональных групп в результате модификации, а также получение композитов является эффективным способом изменения свойств материалов на основе целлюлозы и позволяет существенно повысить их сорбционную способность по отношению к ионам металлов [21, 22].
Перспективным направлением разработки биосорбентов является модифицирование целлюлозы путем нанесения на нее углеродных нанотрубок (УНТ). Углеродные нанотрубки представляют собой цилиндры из графитовых листов, построенных из атомов углерода, периодической шестиугольной конфигурации, диаметром порядка нанометра. В зависимости от количества графитовых листов различают одностенные и многостенные углеродные нанотрубки. УНТ имеют широкие перспективы использования в целом ряде областей науки и техники, таких как химия, электроника, материаловедение, биология, энергетика, медицина и экология, благодаря широкому спектру уникальных свойств: химических, механических, оптических, электрических, термических, а также их высокой пористости и развитой удельной поверхности [23] .
Для очистки водных растворов от загрязняющих веществ различной природы применяются композиты, полученные путем нанесения УНТ на металлоорганические каркасы [24], оксиды металлов [25] и полимерные материалы [26, 27]. Благодаря сочетанию доступности, безопасности, биосовместимости и механической прочности целлюлозы с хорошими механическими, оптическими, электрическими свойствами и высокой стабильностью углеродных нанотрубок (УНТ), композиты “целлюлоза-УНТ” находят применение в качестве разнообразных гибких функциональных материалов. Эти материалы могут использоваться в различных устройствах, таких как гибкие накопители энергии, запоминающие устройства, датчики влажности и деформации, устройства магнитного экранирования и др. [28]. Для получения композитов “целлюлоза/ УНТ” используются целлюлозные волокна из натурального хлопка, конопли и др., а также наноцеллюлоза (нановолокна, нанокристаллы, нанолисты) и растворы целлюлозы. В последнее время интерес вызывают биополимерные композиционные материалы на основе целлюлозы и УНТ, используемые для очистки водных растворов от ионов тяжелых металлов в связи с высокой сорбционной активностью таких нанокомпозитов и возможностью их применения в качестве эффективных и недорогих сорбентов [29].
Нанесение УНТ на поверхность биополимеров может происходить с помощью сил Ван-дер-Ваальса, а также за счет водородных связей, ионных или ковалентных связей. Для закрепления ковалентными связями углеродные нанотрубки модифицируют различными функциональными группами – карбоксильными, сульфоновыми или аминогруппами, с помощью которых они прививаются на поверхность целлюлозных материалов непосредственно или с использованием сшивающего агента.
Применение композитов “целлюлоза-УНТ” для извлечения ионов тяжелых металлов из водных растворов представлено в работах [30, 31]. В [30] сообщается о разработке аэрогеля на основе целлюлозы, содержащего танины и функционализированного углеродными нанотрубками (УНТ), для связывания урана. В кинетическом эксперименте была достигнута сорбционная емкость 14.18 мг/г U. Композит, содержащий волокна целлюлозы, поливиниловый спирт, сшитый глутаровым альдегидом и содержащий УНТ, показал высокую эффективность при удалении ионов кадмия и меди, соответственно, 129.37 мг/г Cd(II) и 114.94 мг/г Cu(II) [31].
Целью настоящей работы является разработка нового эффективного композиционного сорбента “целлюлоза – углеродные нанотрубки” и исследование его сорбционных свойств по отношению к ионам меди.
ЭКСПЕРИМЕНТАЛЬНАЯ ЧАСТЬ
В качестве объектов исследования были выбраны хлопковая целлюлоза (ГОСТ 595–79) и углеродные нанотрубки “Таунит – М”, полученные в лаборатории ООО “Нано ТехЦентр” (Тамбовская обл., г. Тамбов, ул. Советская, 51), – одномерные наномасштабные нитевидные образования поликристаллического графита длиной более 2 мкм с наружными диаметрами от 15 до 40 нм в виде сыпучего порошка черного цвета.
В работе при получении композиционного сорбента были использованы: этилендиамин (H2NCH2CH2NH2), лимонная кислота (HOOC-CH₂-C(OH)COOH-CH₂COOH), H2SO4, NaHCO3, NaOH, толуол; в качестве источника ионов меди был выбран сульфат меди CuSO4.5H2O; для снятия ИК-спектров были получены таблетки с KBr; все реактивы имели степень чистоты “х.ч.”.
Получение композиционного сорбента на основе целлюлозы и углеродных нанотрубок проводили следующим образом. Целлюлозу, предварительно очищенную от примесей в 18% растворе NaOH, обрабатывали раствором лимонной кислоты концентрацией 0,5 моль/л (модуль раствор лимонной кислоты/целлюлоза – 20). Реакцию проводили при температуре 120°С в течение 2 ч.
УНТ окисляли концентрированной серной кислотой при модуле 100 при температуре 20°–25°С в течение 2 ч. Затем окисленные УНТ промывали дистиллированной водой до нейтральной реакции и высушивали до постоянной массы. Далее окисленные УНТ последовательно обрабатывали тионилхлоридом (модуль тионихлорид/ УНТ = 50) при комнатной температуре в течение 4 ч и этилендиамином при модуле 10 при температуре 70°С в течение 3 ч. Затем модифицированные УНТ промывали дистиллированной водой до рН 7 и высушивали до постоянной массы.
Далее модифицированные УНТ растворяли в толуоле при модуле 500, в колбе с притертой пробкой, в которую затем вносили целлюлозу, обработанную лимонной кислотой (модуль раствор УНТ/целлюлоза равен 20). Реакцию модифицированных УНТ с обработанной целлюлозой проводили при комнатной температуре в течение 2 ч. Полученный композиционный сорбент извлекали из колбы, тщательно промывали дистиллированной водой и высушивали в сушильном шкафу до постоянной массы.
Для обнаружения изменений в структуре поверхности композиционного сорбента в сравнении с хлопковой целлюлозой, использовали сканирующий электронный микроскоп “VEGA3 SB”; для выявления изменений, связанных с появлением новых функциональных групп, был использован ИК-Фурье спектрометр Avatar 360 FT-IR E.S.P.
Кинетика и равновесие сорбции. Кинетику сорбции ионов меди исследовали в статических условиях при перемешивании методом ограниченного объема раствора [32]. Для получения кинетических кривых сорбции в серию пробирок помещали навески сорбента массой (m) 0,1 г, заливали их 10 мл (V) водного раствора сульфата металла и выдерживали от 5 мин до 24 ч при перемешивании и температуре 273 К. Начальная концентрация (Со) ионов меди составляла 1,5⋅10–4 моль/л. Через определенные промежутки времени раствор отделяли от сорбента фильтрованием и определяли в нем текущую концентрацию (Сτ) ионов меди (II) методом атомно-абсорбционной спектроскопии на приборе “210 VGP”.
Для получения изотерм сорбции в серию пробирок помещали навески сорбента массой (m) 0,1 г, заливали их 10 мл (V) водного раствора сульфата меди с начальными концентрациями (С0) 5⋅10–4–5⋅10–2 моль/л и выдерживали до достижения состояния равновесия при температуре 273 К. Затем раствор отделяли от сорбента фильтрованием и определяли в нем равновесную концентрацию ионов металла (С) методом атомно-абсорбционной спектроскопии на приборе “210VGP”.
Степень извлечения α определяли следующим образом:
. (1)
Сорбционную емкость (Аτ) сорбентов в каждый данный момент времени рассчитывали по формуле:
. (2)
В условиях установившегося равновесия в системе “водный раствор – сорбент” определяли равновесную концентрацию ионов Cu(II) в растворе (С) и рассчитывали равновесную сорбционную емкость сорбентов (А):
. (3)
Относительная погрешность экспериментов рассчитывалась на основании данных равновесных и кинетических опытов, в которых каждая точка представляет собой среднее значение из трех параллельных опытов [33]. Погрешность эксперимента не превышала 10%.
РЕЗУЛЬТАТЫ И ИХ ОБСУЖДЕНИЕ
Модификация целлюлозы
Предварительная обработка хлопковой целлюлозы 18% раствором NaOH была использована для очистки ее от примесей, а также для активации, что облегчает диффузию реагентов внутрь целлюлозных волокон и обусловливает повышенную реакционную способность целлюлозы. Затем хлопковую целлюлозу обрабатывали лимонной кислотой для создания на ее поверхности карбоксильных групп. Лимонная кислота одновременно выступает как модифицирующий агент, приводящий к появлению СООН-групп, и как сшивающий агент для целлюлозы. Предполагаемый механизм опосредованного взаимодействия лимонной кислоты (через образование ангидрида) с целлюлозой, приводящий к сшиванию целлюлозной цепи и ее поверхностной модификации (карбоксилированию), а также условия проведения процесса подробно описаны в [34, 35]. Согласно приведенным данным, ангидрид лимонной кислоты может реагировать с каждой из трех гидроксильных групп ангидроглюкозных звеньев молекулы целлюлозы, что приводит к образованию моно-, ди- и/или триэфиров.
Модификация УНТ
Модификация УНТ включала 3 этапа: окисление УНТ концентрированной серной кислотой и последовательную обработку окисленных УНТ тионилхлоридом и этилендиамином. В процессе окисления углеродных нанотрубок концентрированной серной кислотой на их поверхности происходит образование многочисленных СООН-групп, в первую очередь, на боковой поверхности УНТ в местах дефектов. Кроме того, происходит разрыв углерод-углеродных связей ароматического кольца УНТ с одновременным формированием на концах карбоксильных групп. Длина УНТ при этом уменьшается. Условия окисления УНТ были выбраны, согласно [36]. При взаимодействии окисленных УНТ с тионилхлоридом образуется хлорангидрид УНТ, а в результате последующей обработки хлорангидрида УНТ этилендиамином образуется производное УНТ, содержащее аминогруппы.
Образование композита “целлюлоза – УНТ”
Модифицированные УНТ растворяли в толуоле и наносили на целлюлозу, предварительно обработанную лимонной кислотой. В результате был получен композит “целлюлоза – УНТ”, имеющий равномерную серо-голубую окраску.
Сорбционные свойства целлюлозы, модифицированной углеродными нанотрубками
Для определения времени достижения сорбционного равновесия в гетерофазной системе “водный раствор сульфата меди — целлюлозосодержащий сорбент” были получены кривые сорбции ионов Cu(II) (рис. 1).
Рис. 1. Кинетические кривые сорбции ионов Cu(II) из водных растворов CuSO4 хлопковой целлюлозой: 1 – исходной; 2 – модифицированной УНТ.
Согласно полученным данным, модифицированный углеродными нанотрубками сорбент на основе целлюлозы достаточно эффективно сорбирует ионы меди. Время достижения сорбционного равновесия в гетерофазной системе “водный раствор сульфата меди – целлюлозосодержащий сорбент” составляет 30 минут.
Экспериментальные данные, полученные в кинетическом эксперименте, были обработаны согласно моделям кинетики псевдо-первого и псевдо-второго порядков:
модель кинетики псевдо-первого порядка:
; (4)
модель кинетики псевдо-второго порядка:
, (5)
где qe и qt – количество сорбированного металла на единицу массы сорбента в условиях равновесия и в момент времени t, соответственно, мг/г; k1 – константа скорости сорбции модели псевдо-первого порядка, мин–1; k2 – константа скорости сорбции модели псевдо-второго порядка, г/(мг⋅мин)
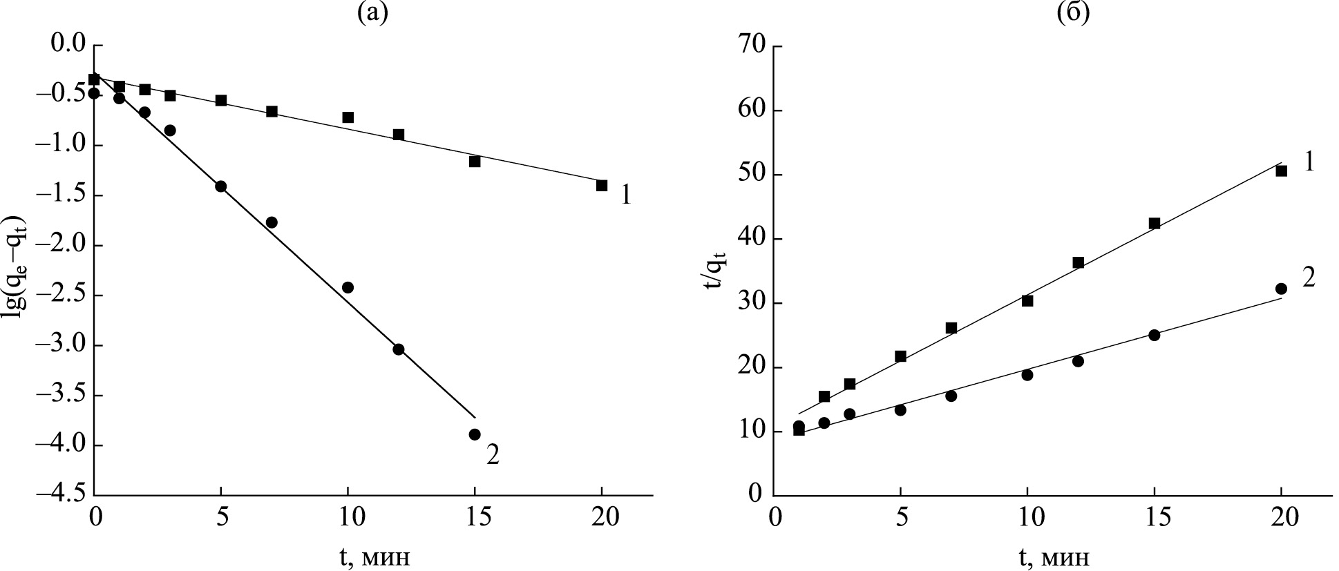
Результаты обработки кинетических кривых сорбции ионов меди из водных растворов сульфатов меди исходной и модифицированной углеродными нанотрубками целлюлозы в рамках моделей псевдо-первого и псевдо-второго порядков представлены на рис. 2 и в табл. 1.
Рис. 2. Кинетика псевдо-первого порядка (а) и псевдо-второго порядка (б) сорбции ионов Сu(II) хлопковой целлюлозой: 1 – исходной; 2 – модифицированной.
Таблица 1. Константы и коэффициенты корреляции моделей кинетики псевдо-первого и псевдо-второго порядка сорбции ионов меди сорбентами на основе целлюлозы из водных растворов
Экспериментальные значения | Псевдо-первый порядок | Псевдо-второй порядок | ||||||
Сорбент | qe, мг/г | α, % | qe, мг/г | k1, мин–1 | R2 | qe, мг/г | k2, г /(мг*мин) | R2 |
Целлюлоза | 0,46 | 66,57 | 0,48 ± 0,03 | 0,052 ± 0,003 | 0,97 | 0,49 ± 0,07 | 0,39 ± 0,076 | 0,99 |
Композит | 0,62 | 97,07 | 0,64 ± 0,07 | 0,023 ± 0,000 | 0,98 | 0,63 ± 0,05 | 0,29 ± 0,058 | 0,99 |
R2 – коэффициент корреляции.
С0 = 1,5 10–4 моль/л.
Согласно [37], в большинстве литературных источников сообщается, что кинетическая модель псевдо-второго порядка наилучшим образом описывает процессы сорбции на целлюлозосодержащих материалах из водных растворов различных сорбатов, таких как ионы металлов, красители и др. Исследования показывают, что кинетика сорбции на целлюлозных материалах, которая описывается моделью псевдо-второго порядка, лимитируется диффузионными процессами. Это обусловлено неоднородным распределением размеров пор и подвижным состоянием равновесия растворенных веществ между раствором сорбентом.
При исследовании равновесия сорбции были получены экспериментальные изотермы сорбции ионов Cu(II) из водного раствора сульфата меди образцами исходной целлюлозы и целлюлозы, модифицированной углеродными нанотрубками (рис. 3).
Рис. 3. Изотермы сорбции ионов Cu(II) из водного раствора CuSO4 исходной хлопковой целлюлозой (1) и модифицированным сорбентом (2).
Для описания полученных экспериментальных данных было использовано уравнение изотермы адсорбции Ленгмюра:
, (6)
где А∞ – предельная, или максимальная, сорбционная емкость полимера по данному металлу, моль/кг; К – концентрационная константа сорбционного равновесия, характеризующая интенсивность процесса сорбции, л/моль; Се – равновесная концентрация сорбата, моль/л.
Результаты обработки изотерм сорбции ионов Cu(II) образцами исходной и модифицированной целлюлозы в линейных координатах уравнения Ленгмюра (7)
(7)
представлены в таблице 2.
Таблица 2. Параметры обработки изотерм сорбции ионов Cu(II) по модели Ленгмюра методом наименьших квадратов
Сорбент | 1/А∞ × К | 1/А∞ | R2 | А∞, моль/кг |
Модифицированная целлюлоза | 0,09 ± 0,0001 | 0,296 ± 0,0001 | 0,99 | 3,38 |
Исходная | 2,46 ± 0,86 | 1,724 ± 0,002 | 0,99 | 0,58 |
R2 – коэффициент корреляции.
Результаты, полученные при обработке изотерм сорбции с использованием модели Ленгмюра, свидетельствуют, что максимальная сорбционная емкость модифицированного сорбента составляет 3,38 моль/кг, что почти в 6 раз превышает значение для исходной целлюлозы. Такой рост А∞ для композита по сравнению с исходной целлюлозой обусловлен появлением на его поверхности новых сорбционно-активных групп, что, согласно [38], оказывает на сорбционную емкость определяющее влияние.
Анализ ИК-Фурье спектров исходной целлюлозы и модифицированного сорбента на ее основе. В процессе обработки хлопковой целлюлозы модифицирующими реагентами был получен сорбент, имеющий различные функциональные группы (гидроксильные, карбоксильные и аминогруппы и др.), которые способны связывать ионы Cu(II). Для выявления изменений в модифицированном сорбенте были получены ИК- спектры хлопковой целлюлозы, обработанной в растворе NaOH, и композита “целлюлоза – углеродные нанотрубки”, которые представлены на рис. 4. При их сравнении можно заметить различия в спектре модифицированного сорбента по сравнению со спектром целлюлозы, обработанной щелочью. В области 1650–1630 см–1 наблюдается смещение полосы при 1634 см–1 для целлюлозы в положение 1647 см–1 для модифицированного образца. В этой области спектра проявляются валентные колебания групп С=О в сложных эфирах, а также деформационные колебания связи N–H в аминах и амидах [38]. Наблюдаемый сдвиг полосы поглощения в спектре исходной целлюлозы обусловлен появлением карбонильных (С=О) групп в составе сложноэфирных групп и карбоксильных (СООН) групп в результате модификации целлюлозы лимонной кислотой, а также появлением в составе модифицированного образца аминогрупп (NH2 и NH) в результате проведенной последующей модификации целлюлозы. Полосы средней интенсивности в области 1400–1421 см–1 в модифицированном сорбенте могут быть обусловлены валентными колебаниями связи C–N. Сдвиг полос 1166 см–1 и 1122 см–1 в спектре целлюлозы в положения 1162 см–1 и 1109 см–1, соответственно, в спектре композиционного сорбента обусловлен деформационными и валентными колебаниями связи С–О в спиртах, простых и сложных эфирах, а также валентными колебаниями связи С–N в аминах и амидах. Наблюдаемые изменения в спектре композиционного сорбента по сравнению со спектром целлюлозы свидетельствуют о появлении в структуре модифицированного сорбента групп С=О в составе сложноэфирных и карбоксильных, а также амино- и амидных групп.
Рис. 4. ИК-спектры хлопковой целлюлозы (1) и модифицированного сорбента (2).
Таким образом, полученные ИК- спектры свидетельствуют о взаимодействии углеродных нанотрубок с активными группами целлюлозы в процессе модифицирования с образованием нового типа связи в молекуле целлюлозы.
Исследование структуры сорбентов методом СЭМ. В результате модифицирования целлюлозы УНТ были получены материалы, характеризующиеся повышенными сорбционными свойствами по отношению к ионам тяжелых металлов. На рис. 5 представлены СЭМ- изображения поверхности углеродных нанотрубок, целлюлозы, обработанной щелочью, а также композиционного сорбента “целлюлоза – УНТ”. На рис. 5(в) можно видеть волокна целлюлозы с нанесенными на их поверхность углеродными нанотрубками.
Рис. 5. СЭМ-изображения поверхности УНТ, целлюлозы и композита “целлюлоза – УНТ”.
ЗАКЛЮЧЕНИЕ
Разработан новый композиционный сорбент на основе хлопковой целлюлозы и УНТ, получаемый путем модификации целлюлозы углеродными нанотрубками. Результаты исследований композита, выполненных с использованием методов ИК- спектроскопии и СЭМ, свидетельствуют о появлении в его структуре сорбционно-активных групп и отражают изменение поверхности в процессе модифицирования. Полученный сорбент обладает высокой сорбционной емкостью по отношению к ионам меди, не уступающей промышленным катионитам, и может быть использован для извлечения ионов тяжелых металлов из водных растворов.
ФИНАНСИРОВАНИЕ
Работа выполнена в рамках государственного задания на выполнение НИР (Тема № FZZW-2024–0004).
Исследование проведено с использованием ресурсов Центра коллективного пользования научным оборудованием ИГХТУ.
About the authors
Т. Е. Никифорова
Ивановский государственный химико-технологический университет
Author for correspondence.
Email: tatianaenik@mail.ru
Russian Federation, Шереметевский просп., 7, Иваново, 153000
Д. А. Вокурова
Ивановский государственный химико-технологический университет
Email: tatianaenik@mail.ru
Russian Federation, Шереметевский просп., 7, Иваново, 153000
References
- Aldaz B., Figueroa F., Bravo I. // Rev. Bionatura. 2020. V. 5. Р. 1150–1155. https://doi.org/10.21931/RB/2020.05.02.13.
- Sall M.L., Diaw A.K.D., Gningue-Sall D., Efremova Aaron, S., Aaron, J.J. // Environ. Sci. Pollut. Res. 2020. V. 27. Р. 29927–29942. https://doi.org/10.1007/s11356–020–09354–3.
- Hasanpour, M., Hatami, M. // Adv. Colloid Interf. Sci. 2020. V. 284. Р. 102247. https://doi.org/10.1016/j.cis.2020.102247.
- Syeda H.I., Yap P.-S. // Science of the Total Environment. 2022. V. 807. Р. 150606. https://doi.org/10.1016/j.scitotenv.2021.150606
- Wang G., Xiao H., Liang G., Zhu J., He C., Ma S., Shuai Z., Komarneni S. // J. Clean. Prod. 2022. V. 344. Р. 131041. https://doi.org/10.1016/j.jclepro.2022.131041
- Deng, S., Long, J., Dai, X., Wang, G., Zhou, L. // ACS Appl. Nano Mater. 2023. V. 6. Р. 1817–1827. https://doi.org/10.1021/acsanm.2c04768
- Li Q., Song H., Han R., Wang G., Li A. // Chem. Eng. J. 2019. V. 366. Р. 1–10. https://doi.org/10.1016/j.cej.2019.02.070
- Yang H.-R., Li S.-S., Yang C., An Q.-D., Zhai S.-R., Xiao Z-Y. // Journal of Colloid and Interface Science. 2022. V. 607. Р. 556–567. https://doi.org/10.1016/j.jcis.2021.08.197
- Jung K.-W., Lee S.Y., Choi J.-W., Lee Y..J. // Chem. Eng. J. 2019. V. 369 Р. 529–541. https://doi.org/10.1016/j.cej.2019.03.102
- Прокофьев В.Ю., Гордина Н.Е. // Журнал прикладной химии. 2013. Т. 86. № 3. С. 360–366. Prokof'еv V.Yu., Gordina N.E. // Russian Journal of Applied Chemistry. 2013. V. 86. № 3. S. 332–338. https://doi.org/10.1134/S1070427213030075
- Прокофьев В.Ю., Гордина Н.Е., Жидкова А.Б. // Известия высших учебных заведений. Серия: Химия и химическая технология. 2011. Т. 54. № 12. С. 77–80. Prokof'ev V.Yu., Gordina N.E., Zhidkova A.B. // Izvestiya vysshih uchebnyh zavedenij. Seriya: Himiya i himicheskaya tekhnologiya. 2011. V. 54. № 12. S. 77–80.
- Rocky M.M.H., Rahman I.M.M., Biswas F.B., Rahman S., Endo M., Wong K.H., Mashio A.S., Hasegawa H. // Chemical Engineering Journal. 2023. V. 472. Р. 144677. https://doi.org/10.1016/j.cej.2023.144677
- Jiang H., Wu S., Zhou J. // International Journal of Biological Macromolecules. 2023. V. 236. Р. 123916.
- Никифорова Т.Е., Габрин В.А., Разговоров П.Б. // Физикохимия поверхности и защита материалов. 2023. Т. 59. № 3. С. 231–243. doi: 10.31857/S0044185623700298
- El-Zawahry M.M., Hassabo A.G., Mohamed A.L. // International Journal of Biological Macromolecules. 2023. V. 248. Р. 125940. https://doi.org/10.1016/j.ijbiomac.2023.125940
- Меретин Р.Н., Никифорова Т.Е. // Изв. вузов. Химия и хим. технология. 2021. Т. 64. № 11. С. 118–125. doi: 10.6060/ivkkt.20216411.6408. Meretin R.N., Nikiforova Т.E. // ChemChemTech [Izv. Vyssh. Uchebn. Zaved. Khim. Khim. Tekhnol.]. 2021. V. 64. № 11. P. 147–155. doi: 10.6060/ivkkt.20216411.6408
- Никифорова Т.Е., Козлов В.А., Одинцова О.И. // Рос. хим. ж. (Ж. Рос. Хим. об-ва им. Д.И. Менделеева. 2015. Т. LIX. №4. С. 76–84. Nikiforova T.E., Kozlov V.A., Odintsova O.I. // Russian Journal of General Chemistry. 2017. V. 87. № 9. Р. 2204–2211. Original Russian Text © T.E. Nikiforova, V.A. Kozlov, O.I. Odintsova, 2015, published in Rossiiskii Khimicheskii Zhurnal, 2015. V. 59. № 4, pp. 76–84.
- Thakur V., Sharma E., Guleria A., Sangar S., Singh K. // Materials Today: Proceedings 2020. V. 32. Р. 608–619. https://doi.org/10.1016/j.matpr.2020.02.756
- Никифорова Т.Е., Багровская Н.А., Козлов В.А., Натареев С.В. // Журнал прикладной химии. 2008. Т. 81. № 7. С. 1096–1101.
- Никифорова Т.Е., Козлов В.А., Багровская Н.А., Родионова М.В. // Журнал Прикладной Химии. 2007. Т. 80. №. 2. С. 236–241.
- Rahaman Md.Н. Islam Md.A. Islam Md.M. Rahman Md.A., Alam S.М.N. // Curr. Opin. Green. Sustain. Chem. 2021. V. 4. Р. 100119. https://doi.org/10.1016/j.crgsc.2021.100119
- Gomathi T., Susi S., Alam M.M., Al-Sehemi A.G., Radha E., Pazhanisamy P., Vijayakumar S. // Polymer Testing 2024. V. 130. Р. 108321. https://doi.org/10.1016/j.polymertesting.2023.108321
- Wang X., Tarahomi M., Sheibani R., Xia C., Wan W. // International Journal of Biological Macromolecules. 2023. V. 241 Р. 124472. https://doi.org/10.1016/j.ijbiomac.2023.124472
- Guo Y., He X., Huang C., Chen H., Lu Q., Zhang L. // Anal. Chim. Acta V. 2020. V. 1095. Р. 99–108.
- Arsalani N., Bazazi S., Abuali M., Jodeyri S. // J. Photochem. Photobiol. A: Chem. 2020. V. 389. Р. 112207.
- Jiang R., Zhu H., Fu Y., Zong E., Jiang S., Li J., Zhu J., Zhu Y. // Carbohydr. Polym. 2021. V. 252. Р. 117158. https://doi.org/10.1016/j.carbpol.2020.117158
- Zhao G., Huang X., Tang Z., Huang Q., Niu F., Wang X. // Polym. Chem. 2018. V. 9. № 26. Р. 3562–3582. https://doi.org/10.1039/C8PY00484F
- Heng W., Weihua L., Bachagha K. // Carbohydrate Polymers. 2023. V. 321. Р. 121306. https://doi.org/10.1016/j.carbpol.2023.121306
- Birtane H., Urucu O.A., Yıldız N., Çi˘gil A.B., Kahraman M.V. // Materials Today Communications. 2022. V. 30. Р. 103144. https://doi.org/10.1016/j.mtcomm.2022.103144
- Luo X., Zhang J., Tao J., Wang X., Zhao S., Chen Z., Liu S., Li J., Li S. // Chem. Eng. J. 2021. V. 416. Р. 129486. https://doi.org/10.1016/j.cej.2021.129486
- Ameenur R.S.M., Neerazhagan B.T., Thandapani G., Narayanan S.P., Sheriff I.S.A.K. // Biomass Conv. Bioref. 2021. https://doi.org/10.1007/s13399- 021–02075–8.
- Кокотов Ю.А., Пасечник В.А. Равновесие и кинетика ионного обмена. / Л.: Химия. 1970. 336 с.
- Ахназарова С.Л., Кафаров В.В. Методы оптимизации эксперимента в химической технологии. / М.: Высшая школа, 1985. 327 с.
- Kokol V., Vivod V. Carbohydrate Polymers. 2023. V. 318. Р. 121134. https://doi.org/10.1016/j.carbpol.2023.121134
- Gauss C., Kadivar M., Harries K.A., Savastano H. // Journal of Cleaner Production 2021. V. 279. Р. 123871 https://doi.org/10.1016/j.jclepro.2020.123871
- Дьячкова Т.П., Ткачев А.Г. Методы функционализации и модифицирования углеродных нанотрубок. М.: Издательский дом “Спектр”. 2013. 152 с.
- Hubbe M.A., Azizian S., Douven S. // BioResources. 2019. V. 14. № 3. P. 7582–7626.
- Rocky M.M.H., Rahman I.M.M., Biswas F.B., Rahman S., Endo M., Wong K.H., Mashio A.S., Hasegawa H. // Chemical Engineering Journal. 2023. Т. 472. Р. 144677. https://doi.org/10.1016/j.cej.2023.144677
Supplementary files







