Формирование микропористых углеродных сорбентов с применением механической и термохимической активации для эффективного разделения компонентов природного и техногенных газов
- Authors: Горбунова О.В.1, Гуляева Т.И.1, Арбузов А.Б.1, Бакланова О.Н.1, Лавренов А.В.1
-
Affiliations:
- Центр новых химических технологий ИК СО РАН, Институт Катализа СО РАН
- Issue: Vol 60, No 4 (2024)
- Pages: 339-347
- Section: ФИЗИКО-ХИМИЧЕСКИЕ ПРОЦЕССЫ НА МЕЖФАЗНЫХ ГРАНИЦАХ
- URL: https://ogarev-online.ru/0044-1856/article/view/271520
- DOI: https://doi.org/10.31857/S0044185624040013
- EDN: https://elibrary.ru/MANAKZ
- ID: 271520
Cite item
Full Text
Abstract
Описан способ получения микропористого углеродного сорбента на основе тяжелого остатка нефтепереработки – нефтяного асфальта, который после карбонизации при 500°С смешивали с гидроксидом калия в соотношении 4/1 – 1/1 в планетарно-центробежной мельнице АГО-2 при центростремительным ускорении мелющих тел 1000 м/с2, с последующей высокотемпературной активацией при 800°С в течение 60 мин. Для полученных образцов измерены изотермы адсорбции чистых газов CO2 и CH4 при 273, 298 К. Так, для образцов, полученных с соотношением КОН/асфальт = 1 и 2, при 273 К и 1 бар адсорбционная способность по CO2 и CH4 составила 5.6–5.9 и 2.2 ммоль/г соответственно. Лучшая адсорбционная емкость СО2 при 273 К и 1 бар в исследуемой серии образцов – 6.3 ммоль/г была получена для образца КОН/асфальт = 3/1. Установлено, что механическая активация асфальта и КОН способствует формированию углеродных материалов с более развитой пористой структурой, а именно, увеличению текстурных характеристик на 30% в сравнении с образцами, приготовленными без проведения МА. Таким образом, представленный подход применения механической и химической активаций способствует получению пористого углерода, удовлетворяющего требования адсорбционного разделения смеси газов метана и углекислого газа.
Full Text
ВВЕДЕНИЕ
Разделение газовых смесей CO2/CH4/N2 имеет важное значение в ряде промышленных процессов, например, очистка природного газа, добыча метана из угольных пластов и улавливание CO2 из техногенных газов [1]. СО2 вносит основной вклад в глобальное потепление. Известно, что стационарные электростанции сжигающие ископаемое топливо являются основным источником выбросов СО2 [2]. CH4 также является парниковым газом, но при этом представляет собой экологически чистый и дешевый источник энергии [3]. Газы содержащие CH4 (биогаз и природный газ), стали одним из самых быстрорастущих источников энергии в мире [4]. Однако примеси (CO2, N2) значительно снижают теплотворную способность CH4 и должны быть удалены [4]. В связи с этим крайне важно улавливать CO2 и извлекать CH4 из смесей CO2/N2, CH4/CO2 и CH4/N2.
По сравнению с традиционными абсорбционными способами, методы адсорбционного разделения привлекают большое внимание из-за их простого технологического оснащения и отсутствия коррозии оборудования [5, 6]. Ключом к реализации промышленного применения адсорбционных методов разделения является разработка высокоэффективных адсорбентов [7]. Идеальный адсорбент должен обладать низкой стоимостью, высокой адсорбционной способностью и селективностью, легкой регенерацией [6]. Пористые углеродные материалы (УМ) с высокой удельной поверхностью, большим объемом пор перспективны в качестве твердых адсорбентов для разделения CO2/CH4/N2 [1, 8].
Углеродные адсорбенты могут быть синтезированы из углеродсодержащих материалов путем пиролиза и активации при повышенных температурах [9]. Во многих случаях для активации углеродсодержащих предшественников используют избыточное количество щелочи. Гидроксид калия – один из наиболее эффективных активирующих агентов, который позволяет получать микропористые углеродные материалы с площадью удельной поверхности на уровне 2000–3000 м2/г по методу БЭТ [10, 11].
Известны исследования, посвященные получению УМ из недорогого углеродсодержащего предшественника – нефтяного асфальта [12, 13]. Асфальт является побочным продуктом нефтепереработки, его получают из густого тяжелого остатка, который остается после выделения горюче-смазочных материалов. Сегодня, асфальт имеет невысокую стоимость, производится в большом количестве и не находит квалифицированного применения [14]. Асфальт является недооцененным сырьем для приготовления пористых углеродных материалов, при этом содержание углерода в асфальте более 85%. Кроме того входящие в состав асфальта асфальтены образуют наноразмерные сопряженные ароматические структуры, формирующие пористые асфальтеновые агрегаты [15, 16]. В наших ранних работах [17, 18] мы продемонстрировали успешный синтез пористых углеродных материалов из нефтяного асфальта. Полученные материалы обладали развитыми текстурными характеристиками, сравнимыми с гораздо более дорогими углеродными материалами. Синтезированные образцы показали высокую адсорбционную емкость СО2 3.8–3.1 ммоль/г при 25°C и давлении 1 бар, что соответствует, но не превышает современный уровень адсорбционной емкости для других известных углей, активированных различными способами [6]. Несмотря на эффективность химической активации развивать текстуру углеродсодержащих предшественников, асфальта в том числе, существует ряд условий, которые следует учитывать. Так необходимость избыточного потребления щелочи, сложность равномерного смешения с углеродным предшественником, проведение стадии отмывки от активирующего агента ограничивают масштаб применения данного способа активации. В последнее время предпринято много усилий для поиска быстрых, экологичных, эффективных и простых технологий получения пористых материалов. В этой области набирает популярность механическая активация (МА), поскольку она позволяет экологически безопасно производить большое разнообразие наноматериалов и становится чрезвычайно мощным и универсальным методом синтеза [19].
Известно, что МА используется для эффективного смешивания предшественника углерода с химическим активатором [20–22], но работ, посвященных исследованию влияния этой стадии на формирование пористой структуры углеродных материалов, обнаружено не было. Соответственно, целью работы стало установление закономерностей между проведением механической и химической активации и формированием пористой структуры углеродных материалов.
ЭКСПЕРИМЕНТАЛЬНАЯ ЧАСТЬ
Материалы
В качестве сырья использовали нефтяной асфальт производства ООО “Газпромнефть – Смазочные материалы”, г. Омск. Плотность 1.05 г/см3 (ГОСТ 3900–85). Элементный анализ: углерод – 86.9% водород – 9.1% , сера – 2.4% , азот – 0.7% , кислород – 0,84% . Содержание асфальтенов 11.5% ASTM D6560.
Синтез углеродных материалов из нефтяного асфальта
Сырой асфальт нагревали в капсуле, установленной в печь в течение 60 мин в потоке Ar для удаления летучих компонентов. Температура обработки 500°C была выбрана из результатов термического анализа [17]. КОН смешивали с термообработанным асфальтом в соотношении 4:1, 3:1, 2:1, 1:1 в планетарной мельнице АГО-2 производства ЗАО НОВИЦ (г. Новосибирск, Россия) с ускорением мелющих тел 1000 м/с2. В качестве мелющих тел использовали стальные шары диаметром 8 мм. Соотношение масс смеси (асфальт и КОН) и мелющих тел – 1:20. Время механической активации 5 мин. Полученные промежуточные смеси асфальт + КОН ( в соотношении 4:1, 3:1, 2:1, 1:1 ) были разделены на две части. Часть образцов сразу после МА обрабатывали 1н HCl, промывали дистиллированной водой и сушили при 110°С до постоянной массы. Далее эти образцы были исследованы для установления влияния МА на процесс дальнейшей активации. Другую часть смеси асфальта и КОН после МА помещали в капсулу, которую устанавливали в печь и нагревали со скоростью 5°C/мин, конечная температура 800оС. Полученные продукты обрабатывали 1н HCl и промывали дистиллированной водой. Образец сушили при 110°С до постоянной массы.
Физико-химические методы исследования
Текстурные характеристики полученных углеродных материалов определяли из анализа изотерм адсорбции и десорбции азота на приборе Micromeritics ASAP 2020, США. Удельная площадь поверхности была получена по уравнению БЭТ (Брунауэра-Эммета-Теллера), а общий объем пор (Vадс.) определен при относительном давлении (P/P0) 0.99. Объем микропор (Vмикро) оценивали, применяя αS-метод. Распределение пор по размерам получали с использованием методов теории нелокального функционала плотности для гетерогенной поверхности (2Д-НЛДФТ) для адсорбционной ветви изотерм, модель реализована в программном обеспечении SAIEUS (Micromeritics).
Изотермы адсорбции СО2, CH4 и N2 были измерены в диапазоне давлений 0.03–1 бар при температурах 0°C и 25°C с использованием сорбционного анализатора Sorptomatic 1900 (Carlo Erba Instruments, Италия). Перед измерениями образцы дегазировали при 300°C в течение 3 ч. Селективность адсорбции газов CO2/N2, CH4/N2, CO2/CH4 рассчитывали с применением теории идеального адсорбированного раствора (IAST) [23].
Состав поверхностных функциональных групп углеродных образцов после механической активации был исследован на ИК Фурье-спектрометре IRPrestige-21 (Shimadzu, Япония).
В табл. 1 приведены принятые в статье обозначения образцов.
Таблица 1. Обозначение образцов
Образец | Карбонизация (500°C) | MA | KOH/ асфальт | Активация (800°C) |
A-500 | + | – | – | – |
MA-A-500 | + | + | – | – |
MA-A-500-1 | + | + | 1 | – |
MA-A-500-2 | + | + | 2 | – |
MA-A-500-3 | + | + | 3 | – |
MA-A-500-4 | + | + | 4 | – |
MA-A-800-1 | + | + | 1 | + |
MA-A-800-2 | + | + | 2 | + |
MA-A-800-3 | + | + | 3 | + |
MA-A-800-4 | + | + | 4 | + |
РЕЗУЛЬТАТЫ И ОБСУЖДЕНИЕ
Результаты низкотемпературной адсорбции азота
Пористость активированных углей из нефтяного асфальта исследовали методом низкотемпературной адсорбции азота. Изотермы адсорбции-десорбции азота на активированных углях серии MA-A-800-х представлены на рис. 1а. Вид изотерм для всех образцов из этой серии характерен для микропористых материалов с петлей гистерезиса типа Н4 [24]. По мере увеличения количества КОН происходит формирование углеродного материала с более развитой пористой структурой, способной адсорбировать большее количество азота, что является ожидаемой тенденцией. Протяженный подъем в области Р/Р0 0.1–0.2 для образцов MA-A-800–3,4 может быть связан с дополнительным формированием мелких мезопор [25, 26].
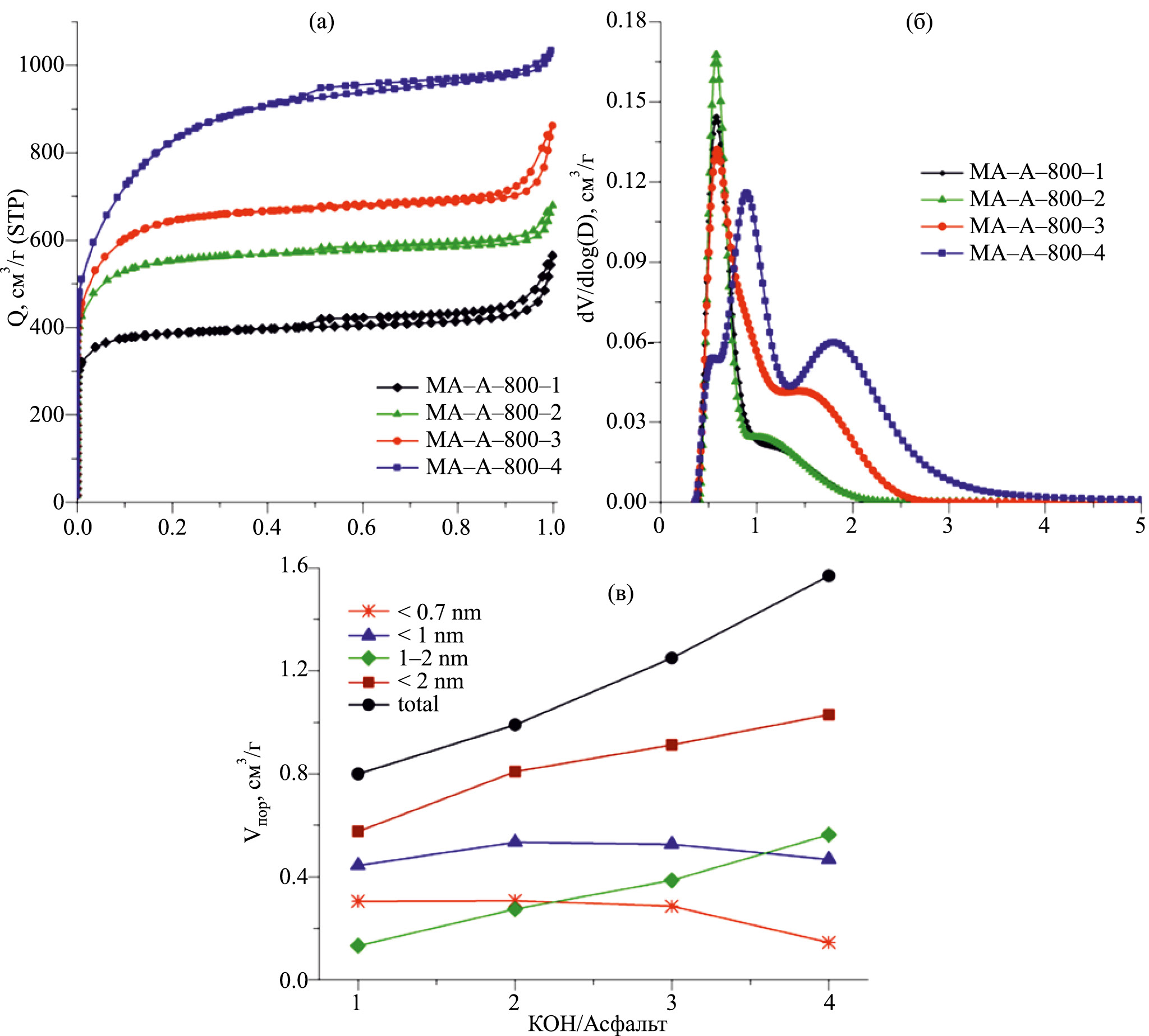
Рис. 1. (а) Изотермы адсорбции-десорбции N2 при 77 К, (б) 2Д-НЛДФТ распределение пор по размерам углеродных материалов, полученных из асфальта, (в) объемы пор с различным размером пор из расчета методом 2Д-НЛДФТ.
Кривые распределения пор по размерам, рассчитанные методом 2Д-НЛДФТ из адсорбционной ветви (рис. 1б), соответствующие образцам MA-A-800–1 и MA-A-800–2, имеют узкое распределение с выраженным максимумом в области ультрамикропор 0.6 нм. При увеличении количества щелочи происходит перераспределение объемов и формирование дополнительного количества супермикропор и мелких мезопор. Так, образец MA-A-800–4 уже имеет широкое распределение пор по размерам в области до 5 нм с выраженными максимумами 1 и 2 нм. Из рис. 1в видно, что при соотношении КОН/асфальт более 2 происходит снижение доли ультрамикропор размером менее 0.7 нм в результате их схлопывания и формирования более крупных супер- и мезопор (рис. 1в). Эти результаты указывают на то, что более низкое соотношение КОН/асфальт способствует образованию пор меньшего размера.
Текстурные характеристики синтезированных образцов приведены в табл. 2. Для сравнения в таблице представлены опубликованные ранее основные показатели пористой структуры образцов, полученных без дополнительной стадии механической активации [17]. Изменение соотношения КОН:асфальт от 1 до 4 приводит к постепенному увеличению удельной площади поверхности и объема пор до 50%. Проведение МА асфальта с КОН увеличивает показатели пористой структуры на 30% в сравнении с образцами, приготовленными ранее [17]. Дополнительное стимулирование развития пористости происходит не только за счет тонкого измельчения и однородного смешения реагентов. Можно предположить, что формирование пористой текстуры начинается на стадии механической активации в планетарной мельнице. При этом увеличивается число точечных контактов, осуществляется их постоянное обновление, реализуются процессы размножения и миграции дефектов в объеме твердого тела, причем подвижность частиц смеси может быть достаточной для перемешивания вещества на молекулярном уровне. Это может способствовать более эффективному развитию пористой структуры углеродных материалов при последующей высокотемпературной активации. В связи с этим предположением, была исследована пористая структура образцов, полученных сразу после МА асфальта с КОН. Также для сравнения была проанализирована текстура асфальта после МА без добавления КОН. Видно, что при совместной механической активации асфальта и КОН с ростом содержания КОН текстурные характеристики SБЭТ и Vадс увеличиваются в несколько раз по сравнению с карбонизованным асфальтом после МА без КОН (MA-A-500). На рис. 2. показана зависимость SБЭТ образцов после механической активации от соотношения КОН/асфальт. Полученные результаты свидетельствуют о формировании первичной пористости после совместной МА асфальта и КОН.
Таблица 2. Показатели пористой структуры активированных углеродных образцов, полученных из асфальта
Образец | SБЭT, м2 /г | Vадс, cм3 /г | Vмикро, cм3/г |
MA-A-800-1 | 1497 | 0.80 | 0.55 |
MA-A-800-2 | 2088 | 0.99 | 0.80 |
MA-A-800-3 | 2407 | 1.25 | 0.92 |
MA-A-800-4 | 2935 | 1.57 | 1.00 |
1/2 [17] | 1444 | 0.67 | 0.56 |
1/3 [17] | 1610 | 0.76 | 0.62 |
1/4 [17] | 1971 | 0.97 | 0.77 |
Рис. 2. Зависимость удельной площади поверхности по БЭТ образцов после МА в зависимости от соотношения КОН/асфальт.
Исследование поверхностных функциональных групп
Методом ИК-спектроскопии был проанализирован состав поверхностных функциональных групп углеродных образцов карбонизованного асфальта до и после механической активации, а также образца после совместной активации асфальта (табл. 3) и КОН (MA-A-500-1). На рис. 3 приведены ИК спектры исследуемых углеродных образцов. Спектры подобны. В ИК-спектрах образцов присутствует полоса поглощения (п.п.) при 1576 см–1 характерная для валентных колебаний связей С=С ароматических колец. Регистрируемая п.п. при 3035 см–1 соответствует валентным колебаниям связей С–Н ароматических колец. Полосы поглощения (п.п.) при 745; 803 и 865 см–1, относятся к внеплоскостным деформационным колебаниям связей С–Н ароматических колец. В ИК спектрах также наблюдали п.п. в спектральных областях 2800–2950 и 1350–1450 см–1, которые относятся соответственно к валентным и деформационным колебаниям связей С–Н в -СН2- и -СН3-группах. Проявляемые п.п. в спектральной области 1200–1300 см–1 отвечают валентным колебаниям связей C-С-О в эфирах фенолах и лактонах, характерных для углеродных материалов [27]. Кроме того, в спектральной области 3200–3500 см–1 ИК спектров исследуемых образцов были обнаружены широкие мало интенсивные п.п. при 3323 и 3422 см–1, которые характерны для валентных колебаний связей О–Н в спиртах, фенолах и карбоновых кислотах, связанных водородной связью. Регистрируемая п.п. в спектральной области 1000–1200 см–1 соответствует валентных колебаний связей С–О. Кроме того, в ИК-спектрах наблюдали п.п. при 1692 см–1, относящуюся к валентным колебаниям связей С=О в карбоновых кислотах, кетонах и сложных эфирах. В результате МА асфальта с КОН, а также МА только асфальта происходит существенное увеличение интенсивности данной п.п. при 1692 см–1 (рис. 1, спектры 2, 3). Известно, что поверхностные группы играют важную роль в химической активации, т.к. они реагируют с КОН в процессе активации с образованием промежуточных частиц C–O–K, действующих как активные центры. Далее полученные частицы реагируют с углеродом предшественника [28, 29]. Таким образом, механическая активация нефтяного асфальта приводит к окислению поверхности асфальта и появлению дополнительных активных центров, а, следовательно, способствует более эффективному окислению при дальнейшей активации КОН.
Таблица 3. Показатели пористой текстуры карбонизованного асфальта после МА
Образец | SБЭТ, м2 /г | Vадс, cм3 /г | Vмикро, cм3/г |
MA-A-500 | 3.9 | 0.011 | 0.001 |
MA-A-500-1 | 33.2 | 0.118 | 0.004 |
MA-A-500-2 | 77.8 | 0.351 | 0.008 |
MA-A-500-3 | 96 | 0,312 | 0,011 |
MA-A-500-4 | 103.6 | 0.369 | 0.013 |
Рис. 3. ИК-спектры образцов: (1) карбонизованный асфальт при 500°C; (2) карбонизованный асфальт после МА; (3) карбонизованный асфальт после механической активации с КОН.
Изотермы адсорбции чистых газов СО2, СН4, N2
Были измерены изотермы адсорбции чистых газов CO2, CH4 и N2 при 273, 298 К, результаты представлены на рис. 4 и в табл. 4. Видно, что поглощение CO2 и CH4 увеличивается по мере повышения давления без выхода изотерм на плато, что указывает на возможность адсорбции большего количества CO2 и CH4 при более высоком давлении.
Рис. 4. Изотермы адсорбции CO2, CH4 и N2 при 298 К.
Таблица 4. Адсорбционные характеристики углеродных образцов, полученных из асфальта
Образец | СО2, ммоль/г | СH4, ммоль/г | N2, ммоль/г 25°С | Селективность IAST (при 25°C и 1 бар) | ||||
0°С | 25°С | 0°С | 25°С | CO2/N2 (15/85) | CH4/N2 (50/50) | CO2/CH4 (10/90) | ||
MA-A-800-1 | 5.6 | 3.7 | 2.2 | 1.5 | 0.49 | 42 | 3.1 | 22 |
MA-A-800-2 | 5.9 | 3.9 | 2.2 | 1.1 | 0.30 | 73 | 4.3 | 27 |
MA-A-800-3 | 6.3 | 4.1 | 1.9 | 1.2 | 0.50 | 44 | 2.2 | 31 |
MA-A-800-4 | 4.9 | 3.2 | 2.0 | 0.9 | 0.45 | 40 | 2.0 | 32 |
Адсорбционная емкость CO2, CH4 и N2 при 1.0 бар каждого активированного образца уменьшается в ряду: CO2 > CH4 > N2. Максимальное поглощение СО2 составило 6.3 ммоль/г и 4.1 ммоль/г при 273 К и 298 К, соответсвенно, у образца MA-A-800–3. Полученный результат соответствует современному уровню адсорбционной емкости большинства известных на сегодняшний день адсорбентов CO2. Например, для пористого углеродного материала полученного из стеблей гигантского тростника емкость по СО2 составляет (6.3 ммоль/г при 273 К) [30], для пористого углерода, из скорлупы водяного каштана легированного азотом – 4.50 ммоль/г (298 К) и 6.04 ммоль/г (273 К) [31], для углеродных адсорбентов из нефтяного кокса – 4.18 и 5.57 ммоль/г при 298 и 273 К, соответственно [32], для легированного азотом углерода на основе хитозана – 6.33 ммоль/г при 273 К [33], для пористого углерода из остатков солодки легированный азотом – 6.43 ммоль/г при 273 К и 1 бар, 3.89 ммоль/г при 298 К [34]. Кроме того, синтезированные активированные угли из нефтяного асфальта продемонстрировали отличные характеристики адсорбции CH4 с максимальным поглощением 2.2 ммоль/г при 273 К и 1.0 бар, сопоставимые с известными результатами на активированном угле из стеблей пальмы (2.27 ммоль/г) [1], на металлоорганических каркасных структурах ClCTF-1–650 (2.20 ммоль/г) [35], M1273–150 (2.19 ммоль/г) [36] при 1.0 бар до 273 К.
Для исследования силы взаимодействия между молекулами CO2 и активиррованными образцами, были расчитаны изостерические теплоты адсорбции по уравнению Клапейрона-Клазиуса (рис. 5). Обнаружено, что для образцов МА-А-800–3 и МА-A-800–4 Qst уменьшается с увеличением поглощения газа, а затем выходит на плато, рис. 5. Снижение теплоты адсобции связана с широким распределением пор по размерам 0.5–2.5 нм указанных образцов (рис. 1б). Qst образца МА-А-800–1 процессе адсорбции СО2 существенно не изменяется с увеличением адсорбированного газа.
Рис. 5. Изостерические теплоты адсорбции CO2 на активированых углеродных образцах.
Разделение CO2/CH4/N2 очень важно с точки зрения защиты окружающей среды и использования энергии. Как видно из результатов (рис. 5, табл. 4), образцы показали высокую емкость по CO2 и CH4, а также низкое поглощение N2 в условиях окружающей среды. Кроме того, теорией идеальных адсорбированных растворов (IAST) предсказана высокая селективность полученных углеродных образцов по отношению к бинарным смесям: CO2/N2 в соотошении 15/85 (дымовой газ), CO2/CH4 = 10/90 (природный газ) и CH4/N2 = 50/50 (газ угольных пластов) (табл. 4). Наилучшие селективности по IAST при 298 К и 1 бар 73 и 4.3 получены на MA-A-800–1 для смесей CO2/N2 и CH4/N2 соответственно, и наибольшая селективность IAST равная 32 получена на MA-A-800–4 для CO2/CH4.
Таким образом, в этой работе представлен простой способ получения пористого углеродного материала удовлетворяющего требованиям адсорбционного разделения дымовых и энергетических газов. Кроме того, мы показали, что благодаря механической активации можно снижать необходимое для эффективного окисления количество КОН и при этом получать пористые углеродные материалы с высокими значениями текстурных и адсорбционных характеристик.
ЗАКЛЮЧЕНИЕ
Изучено влияние механической активации на формирование пористой структуры углеродных материалов. Показано, что стадия МА асфальта с КОН приводит к формированию углеродных образцов с более развитой пористой структурой. Обнаружено, что в результате МА в барабанах за счет локального повышения температуры в местах контакта трущихся тел происходит измельчение и однородное смешивание реагентов, а также развитие первичной пористости. Показано, что с ростом соотношения KOH/асфальт с 1 до 4 текстурные характеристики SБЭT и Vадс закономерно увеличиваются, однако, благодаря механической активации можно снижать необходимое для эффективной активации углеродного предшественника количество КОН до 1–2 и получать микропористые углеродные материалы с высокими значениями текстурных и адсорбционных характеристик. Кроме того, установлено, что с уменьшением соотношения КОН/асфальт с 4 до 1–2 происходит снижение среднего размера пор и формирование преимущественно ультрамикропористых образцов, для которых при 273 К и 1 бар адсорбционная способность по CO2 и CH4 составила 5.6–5.9 и 2.2 ммоль/г соответственно. Лучшая адсорбционная емкость СО2 при 273 К и 1 бар в исследуемой серии образцов – 6.3 ммоль/г была получена для образца КОН/асфальт = 3. Приведенные выше результаты демонстрируют высокую адсорбционную способность пористых углей из нефтяного асфальта. Исходя из вышеизложенного, полученные результаты имеют прямое отношение к проблеме загрязнения окружающей среды и открывают новое направление исследований в поисках новых материалов для хранения энергии на основе углерода.
БЛАГОДАРНОСТИ
Коллектив авторов выражает благодарность Г.Г. Савельевой из Центра новых химических технологий ИК СО РАН за ценный вклад в исследование.
ФИНАНСИРОВАНИЕ
Работа выполнена при финансовой поддержке Министерства науки и высшего образования РФ в рамках государственного задания Института катализа СО РАН (проект FWUR-2024–0039). Физико-химические методы исследования выполнены с использованием оборудования Центра коллективного пользования “Национальный центр исследования катализаторов”.
About the authors
О. В. Горбунова
Центр новых химических технологий ИК СО РАН, Институт Катализа СО РАН
Author for correspondence.
Email: oxana_gorbunova@inbox.ru
Russian Federation, 644040, г. Омск – 40, ул. Нефтезаводская, 54
Т. И. Гуляева
Центр новых химических технологий ИК СО РАН, Институт Катализа СО РАН
Email: oxana_gorbunova@inbox.ru
Russian Federation, 644040, г. Омск – 40, ул. Нефтезаводская, 54
А. Б. Арбузов
Центр новых химических технологий ИК СО РАН, Институт Катализа СО РАН
Email: oxana_gorbunova@inbox.ru
Russian Federation, 644040, г. Омск – 40, ул. Нефтезаводская, 54
О. Н. Бакланова
Центр новых химических технологий ИК СО РАН, Институт Катализа СО РАН
Email: oxana_gorbunova@inbox.ru
Russian Federation, 644040, г. Омск – 40, ул. Нефтезаводская, 54
А. В. Лавренов
Центр новых химических технологий ИК СО РАН, Институт Катализа СО РАН
Email: oxana_gorbunova@inbox.ru
Russian Federation, 644040, г. Омск – 40, ул. Нефтезаводская, 54
References
- Liu F., Zhang Y., Zhang P. et al. // Chemical Engineering Journal. 2020. V. 399. P. 125812.
- Choi S., Drese J.H., Jones C.W. // Chem. Sus. Chem. 2009. V. 2. P. 796.
- Mudoi M.P., Sharma P., Khichi A.S. // Journal of Petroleum Science and Engineering. 2022. V. 217. P. 10897.
- Li Y., Wang S., Wang B. et al. // Nanomaterials. 2020. V. 10. P. 174.
- Ooi Z.L., Tan P.Y., Tan L.S. et al. // Chin. J. Chem. Eng. 2020. V. 28. P. 1357.
- Abd A.A., Naji S.Z., Barifcani A. // J. Environ. Chem Eng. 2020. V. 8. P. 104142.
- Qin S. // Fuel Chem. Technol. 2021. V. 49(10). P. 1531.
- Liu F., Zhang, Zhang P., et al. // Chemical Engineering Journal. 2020. V. 399. P. 25812
- Marsh H., Reinoso F.R. Activated Carbon / 1st Ed., Elsevier, 2006.
- Blankenship T. S., Mokaya R. // Energy Environ. Sci. 2017. V. 10. P. 2552
- Kiełbasa K., Bayar S., Varol E.A. et al. // Molecules. 2022. V. 27(21). P. 7467
- Javed H., Luong D.X., Lee C.-G. et al. // Carbon. 2018. V. 140. P. 441.
- Liang W., Zhang Y., Wang X. et al. // Chem. Eng. Sci. 2017. V. 162 . P. 192.
- Liu J., Liu Y., Li P. et al // Carbon. 2018. V. 126. P. 1.
- Strausz O.P., Peng P., Murgich J. // Energy Fuels. 2002. V. 16. P. 809.
- Groenzin H., Mullins O.C., Eser S. et al. // Energy Fuels. 2003. V. 17. P. 498.
- Gorbunova O.V., Baklanova O.N., Gulyaeva T. I. et al. // Journal of Materials Science. 2022. V. 57. P. 7239.
- Gorbunova O.V., Baklanova O.N., Gulyaeva T.I. et al. // AIP Conference Proceedings. 2023. V.2784. P. 020008.
- Szczęśniak B., Borysiuk S., Choma J. et al. // Mater. Horiz. 2020. V.7. P. 1457.
- Schneidermann C., Jäckel N., Oswald S. // Chem. Sus. Chem. 2017. V. 10. V. 2416.
- Rajendiran R.,, Nallal M.,, Park K.H. et al. // Electrochimica Acta. 2019. V. 317. P. 1.
- Rambau K.M., Musyoka N.M., Manyala N. et al. // Materials Today: Proceedings. 2018. V. 5. P. 10505.
- Ismail M., Bustam M.A., Kari N.E.F. et al. // Molecules. 2023. V. 28. P. 3016.
- Thommes M., Kaneko K., Neimark A.V.et al. // Pure Appl Chem. 2016. V. 87. P.1051.
- Bernasconi S., Bokhoven J.A., Krumeich F. et al. // Microporous and Mesoporous Mater. 2003. V. 66. P. 21.
- Gorbunova OV, Baklanova ON, Gulyaeva TI // Microporous and Mesoporous Mater. 2020. V. 307. P.110468.
- Burg, P., Cagniant, D. // Chemistry and Physics of Carbon. 2008. V.30. P.129.
- Ehrburger P., Addoun A., Addoun F. et al. // Fuel. 1986. V. 65.№ 10. P. 1447.
- L. Chunlan et al. // Carbon 43. 2005. P. 2295–2301.
- Singh G., Kim I.Y., Lakhi K.S. et al. // Carbon. 2017. V.116. P. 448.
- Rao L., Liu S., Wang L. et al. // Chemical Engineering Journal. 2019. V. 359. P. 428.
- Bai J., Huang J., Yu Q. et al. // Fuel Processing Technology. 2023. V. 244. P. 107700.
- Yang C., Zhao T., Pan H. et al. // Chemical Engineering Journal. 2022. V. 432. P. 134347.
- Zhou Y., Tan P., He Z. // Fuel. 2022. V. 311. P. 122507.
- Wang J., Yang J., Krishna R., et al. // J. Mater. Chem. 2016. V. A 4. P.19095.
- Li Y., Li D., Rao Y., et al. // Carbon. 2016. V. 145. P. 54.
Supplementary files







