Квантово-химическое моделирование оптических и физико-химических свойств дифильных спиропиранов
- Authors: Селивантьев Ю.М.1,2, Морозов А.Н.1, Зайченко Н.Л.3, Любимов А.В.3, Райтман О.А.2
-
Affiliations:
- РХТУ им. Д.И. Менделеева
- ИФХЭ РАН
- ФИЦ ХФ РАН
- Issue: Vol 60, No 3 (2024)
- Pages: 298-313
- Section: НОВЫЕ ВЕЩЕСТВА, МАТЕРИАЛЫ И ПОКРЫТИЯ
- URL: https://ogarev-online.ru/0044-1856/article/view/271316
- DOI: https://doi.org/10.31857/S0044185624030097
- EDN: https://elibrary.ru/MDRRMS
- ID: 271316
Cite item
Full Text
Abstract
Метод TD-DFT впервые применен для расчета электронных переходов дифильных спиросоединений. Показано, что он дает принципиально верное распределение электронной плотности, соответствующее результатам, полученным с помощью метода CASSCF, и позволяет предсказать природу электронного перехода мероцианиновой формы. Для отрицательных фотохромов обнаружена возможность существования конических пересечений поверхностей потенциальной энергии основного и возбужденного электронных состояний, что может являться причиной замедленного фотохромизма данных соединений. Показана принципиальная возможность использования TD-DFT для предсказания оптических характеристик длинноцепочечных спиропиранов при условии использования шкалирующих регрессий. Впервые разработаны линейные регрессии для таких соединений, учитывающие набор физических параметров растворителя в явном виде. Это позволило получить унифицированную эмпирическую корректировку, учитывающую сольватохромный эффект. Полученные результаты могут быть использованы в качестве основы для разработки базового концепта, учитывающего влияние растворителя на спектральные свойства спиросоединений, и построения единой регрессионной модели, охватывающей различные проявления сольвато- и фотохромизма.
Full Text
ВВЕДЕНИЕ
В настоящее время одним из важных и перспективных направлений в науке и технике является разработка наноразмерных материалов для оптически перестраиваемых устройств [1–12]. Повышенный интерес к таким материалам обусловлен потребностью в создании миниатюрных фотопереключателей, оптических логических устройств, систем хранения данных, оптоэлектронных преобразователей и т.п. При этом в качестве рабочего элемента в таких устройствах могут выступать соответствующим образом организованные супрамолекулярные структуры. Одним из способов формирования ультратонких упорядоченных молекулярных ансамблей на твердой подложке является техника Ленгмюра–Блоджетт [13–23], позволяющая получать на различных поверхностях моно- и полимолекулярные слои, обладающие заданными характеристиками, а также высокой механической и термической стабильностью.
Одним из наиболее перспективных в этом отношении классов соединений являются фотохромные спиропираны [24–35], характеризующиеся узкой полосой поглощения и значительной термической стойкостью. Однако в большинстве случаев формирование монослоев Ленгмюра из таких соединений требует их структурной модификации. Ее осуществляют введением в молекулу протяженного алифатического заместителя, что может привести к изменению свойств таргетных соединений, в том числе и неблагоприятному с точки зрения их технологической и функциональной пригодности. В связи с этим актуальными задачами в настоящее время являются прогнозирование поведения молекул с учетом их структуры, сравнение смоделированных характеристик с экспериментально полученными данными и построение хемоинформационных моделей, позволяющих предсказывать физико-химические, фотофизические, оптические и др. свойства синтезируемых соединений. Один из способов изучения влияния заместителя на физико-химические и спектральные свойства таких соединений основан на применении методов квантовой химии.
В литературе имеются сведения об использовании различных вычислительных методов при моделировании оптических свойств сложных органических красителей различных классов [36–40]. Одним из распространенных подходов является применение такого инструмента, как время-разрешенная теория функционала плотности (TD-DFT) [36–40]. Известно, однако, что предсказание спектрального положения основной полосы поглощения органических красителей с помощью данного метода не всегда релевантно. Одним из способов решения данной проблемы является разработка новых регрессий линейного соответствия между расчетными и экспериментальными данными, либо модификация уже существующих регрессий такого типа путем построения оптимальных комбинаций базисов, функционалов, а также моделей растворителей [41–43]. В то же время, примеры квантово-химического моделирования спектральных и физико-химических свойств спиросоединений представлены в литературе в незначительном количестве [43–46] а для дифильных спиропиранов такие сведения практически отсутствуют. В связи с вышесказанным, настоящее исследование посвящено разработке комбинированных методик расчета спектральных характеристик для дифильных спиропиранов, оценке влияния длины алифатической цепи в молекуле фотохрома на его оптические свойства, сравнению полученных результатов с имеющимися экспериментальными данными, а также построению новой модели для предсказания свойств производных спиросоединений.
ЭКСПЕРИМЕНТАЛЬНАЯ ЧАСТЬ
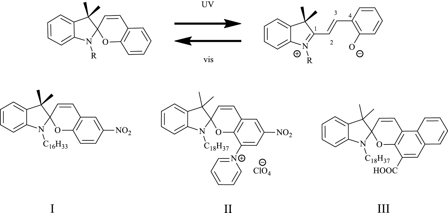
Дифильные спиропираны 1'-гексадецил-3',3'-диметил-6-нитроспиро[хромен-2,2'-индолин] (I), хлорид 1-((3',3'-диметил-6-нитро-1'-октадецилспиро-[хромен-2,2'-индолин]-8-ил]метил)-1-пиридиния (II) и 1'-гексадецил-3',3'-диметилспиро[бензо-[f]-хромен-3,2'-индолин]-5-карбоксикислота (III) синтезировали по известным методикам [47–49].
Запись электронных спектров поглощения растворов в диапазоне длин волн 200–800 нм осуществляли с помощью спектрофотометра JASCO V. 730 (Япония). Погрешность измерений составляет ±0.3 нм.
Исследования фотохромных свойств проводили в растворах ацетонитрила (осч), тетрахлорметана (осч), хлороформа (осч) и ацетона (осч) с концентрацией оптически активных соединений 1∙10–4 М в стандартных кварцевых кюветах (длина оптического пути 1 см). Облучение ультрафиолетовым светом с длиной волны 365 нм осуществляли с помощью УФ-лампы (Wilber-Lourmat, Франция, мощность 600 мкВт/см2 на расстоянии 15 см) и УФ-светодиода с той же длиной волны, обеспечивающего сфокусированный поток света (выходная мощность 1,7 мВт), в непосредственной близости от исследуемого раствора.
Оптимизацию структуры I, II и III проводили методом DFT; в качестве гибридного функционала использовали B3LYP [50] на базисном наборе def2–SVP [51] с дополнительным базисным набором def2/J [52]. Подтверждение равновесности геометрических параметров для каждой структуры выполняли на основании расчетов колебательных мод. Расчет вертикальных электронных переходов осуществляли методом TD-DFT без аппроксимации TDA, с использованием гибридного функционала B3LYP на базисном наборе def2-TZVP[51, 52] и сольватационной модели CPCM [53]. Волновая функция модельного соединения получены с помощью метода Хартри-Фока (HF). Оптимизацию проводили методом теории возмущений Меллера–Плессета второго порядка (MP2) на базисном наборе def2-TZVP. Оптимизация многоконфигурационной волновой функции для модельного соединения была выполнена с помощью метода CASSCF/NEVPT2/TZVP/14,14,5).
Все квантово-химические расчеты проводили с помощью программного пакета Orca 5.0.1 [54, 55].
ОБСУЖДЕНИЕ РЕЗУЛЬТАТОВ
При облучении ультрафиолетом спиропираны могут переходить из закрытой бесцветной формы в окрашенную мероцианиновую [31, 32]. Схема внутренней перегруппировки, а также структурные формулы исследованных соединений приведены на рис. 1.
Рис. 1. Схема раскрытия пиранового цикла и структуры исследованных соединений.
Известно, что в открытой мероцианиновой форме предполагается возможность существования как минимум восьми конформаций, образованных путем вращения индолинового и хроменового структурных элементов вокруг каждой из связей: С1 – С2; С2 – С3; С3 – C4. В растворах наиболее стабильными являются формы ТТС и ТТТ, где “Т” означает транс- конфигурацию, а “С” – цис-конфигурацию; направление вращения отсчитывается от атома спиро-углерода С1. При этом наименее устойчивыми являются конформации, в которых индолиновый и бензопирановый фрагменты занимают цис-положения относительно двойной связи, а конформации ССС и ТСС являются интермедиатами в реакции раскрытия пиранового цикла [45, 46].
Моделирование структурных, энергетических и оптических свойств 1'-гексадецил-3',3'-диметил-6-нитроспиро[хромен-2,2'-индолина]
Оптимизация геометрии мероцианиновой формы дифильного соединения I оказалась результативной лишь для семи конформеров: Iс – Ii (рис. 2), в то время как форма ТСС не была обнаружена ни в виде локального минимума, ни в виде переходного состояния. Это свидетельствует о том, что введение в индолиновую часть молекулы протяженного алифатического заместителя существенно дестабилизирует форму ТСС соединения I вследствие стерических затруднений, т.к. известно, что для незамещенного аналога она вполне устойчива [46].
Рис. 2. Теоретически возможные конформационные изомеры 1'-гексадецил-3',3'-диметил-6-нитроспиро[хромен-2,2'-индолина] Ι.
Данные об энергии конформеров (относительно наиболее стабильной закрытой формы Ia LC) представлены в табл. 1. Для спироформы недифильного аналога соединения I устойчивыми оказались две его конформации, аналогичные формам Ia и Ib (рис. 2) и отличающиеся способом расположения пиранового кислорода относительно неподеленной электронной пары атома азота индолиновой части (обозначены CL и CR, где L – означает левостороннее расположение, в R– правостороннее). Такой результат вполне согласуется с литературными данными [44].
Таблица 1. Значения относительной энергии спиропирановой и мероцианиновых форм 1'-гексадецил-3',3'-диметил-6-нитроспиро[хромен-2,2'-индолина] (I) (кДж/моль) в вакууме и в органических растворителях
Конформер | Тип конформации | Относительная энергетическая устойчивость, кДж/моль | |||||
Среда (растворитель) | |||||||
Вакуум | CH3CN | (CH3)2CO | CHCl3 | Вакуум | CHCl3 | ||
Ia | LC | 0.0 | 0.0 | 0.0 | 0.0 | ||
Ib | RC | 11.7 | 13.8 | 13.8 | 13.4 | ||
Ic | TTC | 18.9 | –27.8 | –27.0 | –20.8 | 11.80 | –9.89 |
Id | TTT | 26.3 | –26.0 | –25.0 | –17.9 | 18.49 | –5.11 |
Ie | CTT | 29.4 | –13.8 | –12.9 | –7.0 | 11.83 | –9.86 |
If | CTC | 30.2 | –18.9 | –18.0 | –11.4 | 20.49 | –2.52 |
Ig | CCC | 51.8 | 12.8 | 13.5 | 18.4 | 39.74 | 21.30 |
– | TCC | 39.63 | 21.59 | ||||
Ih | CCT | 77.8 | 34.1 | 35.0 | 41.1 | ||
Ii | TCT | 92.6 | 48.7 | 49.6 | 55.8 | ||
Полученные данные свидетельствуют о том, что относительная стабильность форм, содержащих длинноцепочечный алифатический радикал, несколько выше, чем для не содержащих такого радикала аналогов. Как следует из рентгеноструктурных данных, опубликованных для спиропиранов, не обладающих выраженным дифильным характером [56], атом азота, связанный со спироуглеродным атомом, находится в sp3-гибридном состоянии и выходит из плоскости, образованной тремя соседними атомами углерода, на 0.24 – 0.34 Å. Тот же параметр для дифильного соединения I составляет лишь 0.15 Å, что в большей степени соответствует уже его sp2–гибридному состоянию, при котором соблюдаются условия сопряжения неподеленной электронной пары (НЭП) c π-системой ароматического кольца и некоторой общей делокализации электронной плотности в закрытой спиро-форме.
Кроме того, следует отметить пониженную стабильность формы СТТ и повышенную – для ТТТ, что может быть обусловлено разной ориентацией атома водорода при двойной связи в мероцианиновом мостике по отношению к алифатическому радикалу, однако природа такого эффекта требует отдельного изучения.
Известно, что растворители влияют на физико-химические и фотофизические характеристики соединений, в частности, на интенсивность флуоресценции. Оптическое поглощение спиропирана I в закрытой и открытой формах исследовали в хлороформе, ацетоне и ацетонитриле (рис. 3). Очевидно, что при увеличении полярности растворителя полоса поглощения открытой формы фотохрома претерпевает гипсохромный сдвиг, что свидетельствует об отрицательном сольватохромизме. Предполагается, что в основном состоянии молекула находится в цвиттер-ионной мероцианинофой форме с полным разделением зарядов, которая при возбуждении трансформируется в нейтральную за счет внутримолекулярного зарядового переноса. Гипсохромный сдвиг обусловлен стабилизацией основного состояния соединения Ι за счет сильного ион-дипольного взаимодействия между молекулами спиропирана и высокополярного растворителя, сольватирующего зарядонесущие центры цвиттер-иона.
Рис. 3. Экспериментальные спектры поглощения 1'-гексадецил-3',3'-диметил-6-нитроспиро[хромен-2,2'-индолина] (Ι) в органических растворителях.
Расчетные и наблюдаемые значения максимумов поглощения мероцианина в видимой области представлены в табл. 2; скорректированные длины волн (λcorr) получены с помощью линейной регрессии [43].
Таблица 2. Расчетные и экспериментально найденные длины волн полос поглощения мероцианиновой формы 1'-гексадецил-3',3'-диметил-6-нитроспиро[хромен-2,2'-индолина] (Ι)
Конформер | Тип конформации | Среда (растворитель) | |||||
CH3CN | (CH3)2CO | CHCl3 | |||||
560 нм | 570 нм | 580 нм | |||||
λтеор | λcorr. | λтеор | λcorr. | λтеор | λcorr. | ||
Ic | TTC | 501 | 561 | 502 | 562 | 511 | 572 |
Id | TTT | 527 | 591 | 528 | 592 | 534 | 600 |
Ie | CTT | 528 | 593 | 529 | 594 | 536 | 602 |
If | CTC | 503 | 563 | 504 | 564 | 512 | 574 |
Ig | CCC | 483 | 540 | 485 | 542 | 494 | 553 |
Ih | CCT | 559 | 628 | 560 | 630 | 567 | 638 |
Ii | TCT | 549 | 617 | 550 | 619 | 557 | 627 |
Полученные данные (табл. 2) свидетельствуют, что спектральные свойства, определяющие окраску мероцианиновой формы спиропирана I, существенно зависят от ее конформации. Предполагается, что в растворах 1'-гексадецил-3',3'-диметил-6-нитроспиро[хромен-2,2'-индолина] (Ι) существует динамическое равновесие между его различными открытыми конформациями. Сравнение данных, представленных в таблицах 2 и 3, позволяет сделать вывод о том, что все формы, имеющие цис-конформацию в срединной мостиковой связи (ССС, ССТ, ТСТ) не только обладают наименьшей устойчивостью, но и не дают удовлетворительного соответствия между экспериментальными и расчетными спектральными параметрами. Из всех форм наибольшее соответствие эксперименту наблюдается для форм ТТС и СТС, первая из которых имеет наименьшую энергию в любом из рассмотренных растворителей.
Другим важным обстоятельством является тот факт, что применение разработанной ранее регрессии [43] дает удовлетворительный результат лишь при моделировании спектра в растворителе наибольшей полярности (ацетонитрил). Ошибка составляет 1 нм, что для задач моделирования спектральных характеристик сложных органических красителей методом TD-DFT (на любых функционалах и с любым базисным набором) можно считать абсолютно несущественным. Для других растворителей (хлороформ, ацетон) модельные спектры, рассчитанные по той же методике, можно считать удовлетворительными лишь в умеренной степени.
С целью упрощения квантово-химической модели с сохранением точности конечного результата, а именно, прогнозируемости спектра открытой окрашенной формы, была проведена оценка влияния гидрофильно-липофильного баланса молекулы на ее спектральные характеристики, а также осуществлена оптимизация расчетной методики. В качестве объекта исследования был выбран наиболее энергетически стабильный конформер Ic (ТТС), для которого применяемая регрессия дает наилучшую сходимость теории и эксперимента. При теоретическом рассмотрении длина неразветвленной алифатической цепи (nCH2) при атоме азота индолинового фрагмента (N–R2) последовательно увеличивалась на одну гомологическую единицу (СН2), а в качестве стартового соединения выступил 3',3'-диметил-6-нитроспиро[хромен-2,2'-индолин], не имеющий алифатического заместителя при атоме азота (nCH2 = 0). Для каждой из структур была проведена оптимизация геометрии и рассчитана энергия электронного перехода с тем же уровнем теории, что и для дифильного спиропирана I. В качестве критерия влияния была выбрана расчетная энергия электронного перехода (табл. 3).
Таблица 3. Зависимость длины волны полосы поглощения от длины алифатической цепи
R2 | H | CH3 | C2H5 | C3H7 | C4H9 | C5H11 | C6H13 | C7H15 | C8H17 | C16H33 |
λcorr. нм | 554 | 559 | 559 | 561 | 561 | 561 | 561 | 561 | 561 | 561 |
Анализ полученных результатов показывает, что для описания оптических свойств дифильных спиропиранов в качестве модельного соединения вполне достаточно использовать н-бутильное производное фотохрома.
Для проведения сравнительного анализа молекулярных орбиталей (МО), задействованных в электронных переходах, было изучено распределение электронной плотности в мероцианиновой форме модельной молекулы дифильного спиропирана I, в котором алицатическая цепь была заменена на н-бутильный фрагмент. Молекулярные орбитали моделировали методом TD-DFT и методом многоконфигурационного взаимодействия MP2/CASSCF(N,O,R)-/NEVPT2/cc-pVTZ/SMD, где N – количество электронов; O – количество орбиталей; R – количество микросостояний, для которых проводилось согласование.
На этапе подготовки выбирали наиболее перспективную конформацию мероцианина (ТТС), геометрия которой была оптимизирована методом DFT/B3LYP/def2-TZVP с использованием сольватационной модели SMD (для ацетонитрила) . Для полученной равновесной структуры был проведен расчет электронной энергии RI-MP2 на базисном наборе cc-pVTZ с дополнительным базисным набором cc-pVTZ/C для приближения RI. С помощью полученной волновой функции были получены и построены модельные орбитали MP2, которые впоследствии использовались как начальное приближение в методе CASSCF.
Как следует из общих физико-химических соображений, идеализованная модель активного пространства должна включать восемь связывающих π-орбиталей при двойных связях в молекуле, одну орбиталь НЭП атома азота при спироуглеродном атоме, а также орбитали нитрогруппы. Визуальный анализ формы МО показал сильную делокализацию электронной плотности мероцианиновой формы молекулы, вследствие чего отделить молекулярные орбитали индолиновой группы, NO2 группы, а также бензольного кольца от орбиталей хроменовой части не представляется возможным. Для идентификации НЭП азота использовалась утилита Orca_loc. Теоретический анализ показал, что на данном атоме локализована только одна орбиталь, соответствующая 1s-АО азота, из чего следует, что его НЭП участвует в общем π-сопряжении и связывает индолиновую и хроменовую части молекулы. В связи с этим для корректного расчета электронных состояний спиро-соединений необходимо учитывать орбитали индолина. Проведенный расчет дал 11 связывающих и 10 разрыхляющих МО, полностью описывающих двадцатидвухэлектронную π-делокализацию в молекуле.
Многоконфигурационное согласование с коррекцией энергии переходов в рамках теории возмущений с использованием разного количества входных орбиталей не позволило достигнуть удовлетворительной сходимости с экспериментальным спектром ни одним из применяемых способов, включая учет делокализации 14 электронов на семи связывающих и семи разрыхляющих МО с использованием пяти электронных состояний с весовым уравниванием (SA-CASSCF(14,14, 5)). Очевидно точное воспроизведение энергии электронных переходов возможно лишь после полного учета всех орбиталей, участвующих в делокализации.
В то же время следует отметить, что природа перехода, отвечающего за окраску, была одинаковой – это переход из основного состояния с конфигурацией [22222220000000] и нормированным весом 0,79 в первое возбужденное состояние с конфигурацией [22222211000000] и нормированным весом 0,60, что соответствует первой полосе поглощения (λ = 570 нм), преимущественно обусловленной переходом HOMO→LUMO при ненулевом вкладе других конфигураций. Общее влияние последних оказалось довольно значительным несмотря на то, что статистический вес каждого из них по отдельности невелик. Энергия перехода составляет 26874,7 см–1, что соответствует полосе с максимумом поглощения при 402,6 нм.
Энергии полученных состояний были скорректированы с помощью SC-NEVPT2. Для применения теории возмущений для больших активных пространств использовали схему “обрезки” волновой функции, учитывающую только те конфигурации, чей статистический вес превышал 10–7. Учет динамической корреляции с помощью описанного метода позволил уточнить энергию электронного перехода, которая оказалась меньше на 3141,2 см–1, однако полученное при этом значение λ (460,8 нм) по-прежнему не соответствовало экспериментально найденной величине. Это может быть обусловлено рядом причин. Первая из них заключается в неполном учете конфигурационного пространства. Несмотря на большое количество рассмотренных орбиталей и электронов, их набор не является полным и достаточным для корректного описания электронного распределения в молекуле.
Вторая причина заключается в использовании SC приближения для NEVPT, при котором учет возмущений возможен лишь в пределах своего подпространства. Другие подпространства ортогональны используемому, и поэтому возмущения с их стороны вносят нулевой вклад в корреляционную энергию. Третьей причиной является слишком большое усечение волновой функции.
На рис. 4 представлены МО активного пространства SA-CASCF(14,14,5)/сс-pVTZ (91–104) и орбитали, задействованные в первом электронном переходе, рассчитанном с помощью метода DFT/def2-TZVP (HOMO(DFT) и LUMO (DFT)). Очевидно, что молекулярные орбитали 97 и 98 имеют структуру, сходную с НОМО и LUMO орбиталями, задействованными в DFT. Это свидетельствует о том, что метод DFT может качественно предсказывать верное распределение электронной плотности в молекуле спиросоединений и природу электронного перехода, обеспечивающего окраску мероцианиновой формы.
Рис. 4. Орбитали активного пространства CASSCF(14,14,5)/сс-pVTZ (91–104) и граничные орбитали, рассчитанные с помощью метода DFT/def2-TZVP, для 1'-гексадецил-3',3'-диметил-6-нитроспиро[хромен-2,2'-индолина] (Ι).
Моделирование структурных, энергетических и оптических свойств хлорида 1-((3',3'-диметил-6-нитро-1'-октадецилспиро-[хромен-2,2'-индолин]-8-ил]метил)-1-пиридиния) и 1'-гексадецил-3',3'-диметилспиро[бензо-[f]-хромен-3,2'-индолин]-5-карбоксикислоты
На следующем этапе комплекс методов, использованных для изучения спиропирана (I), применили для исследования спиропроизводных 1-((3',3'-диметил-6-нитро-1'-октадецилспиро-[хромен-2,2'-индолин]-8-ил]метил)-1-пиридиния)хлорида (II) и 1'-гексадецил-3',3'-диметилспиро[бензо-[f]-хромен-3,2'-индолин]-5-карбоксикислоты (III). При этом для регистрации электронных спектров поглощения соединения II и III растворяли в тех же растворителях. Оптимизацию геометрии проводили как с учетом влияния среды, так и без него (в вакууме).
Результаты, полученные в первой части работы позволили заменить протяженные алифатические заместители в индолиновом кольце на н-бутильный остаток. Все расчеты для соединения II проводили для структуры в ионной форме, т.е. присутствие перхлоратного противоиона не учитывали.
Отличительной особенностью соединений II и III является то, что они проявляют отрицательный фотохромизм, т.е. в основном состоянии молекула находится в мероцианиновой форме. Соединение II характеризуется наличием в его спектре полосы поглощения при 535 нм (растворитель – ацетонитрил). При облучении зеленым лазером (λ = 530 нм) этот фотохром переходит в спироформу, в то время как на соединение ΙΙΙ (λmax = 575 нм) облучение видимым светом не влияет.Рассчитанные энергетические характеристики соединений II и ΙΙI в вакууме и в различных растворителях представлены в табл. 4.
Таблица 4. Сравнительные энергетические параметры спиропирановой и мероцианиновых форм ΙI и ΙΙI в вакууме и органических растворителях
Соединение | Конформация | |||||||||
RC | LC | CCC | CCT | CTC | TCC | CTT | TCT | TTC | TTT | |
Относительная энергетическая устойчивость, кДж/моль | ||||||||||
II | 7.9 | 0.0 | 7.3 | 18.2 | –28.6 | – | –28.2 | 29.9 | –37.3 | –35.9 |
III | –0.8 | 0.0 | 15.1 | 48.4 | –3.4 | – | –2.4 | 58.7 | –15.9 | –3.7 |
II (CH3CN) | 1.1 | 0.0 | –4.8 | 9.6 | –39.5 | – | –37.3 | 28.6 | –48.6 | –47.6 |
II (CH3)2СО | 1.1 | 0.0 | –4.8 | 9.4 | –39.7 | – | –37.5 | 28.2 | –48.8 | –47.8 |
II (CHCl3) | 1.6 | 0.0 | –4.9 | 8.2 | –40.9 | – | –38.9 | 25.8 | –49.9 | –49.1 |
III (CH3CN) | –2.5 | 0.0 | –16.7 | 14.8 | –43.4 | – | –37.0 | 25.2 | –54.7 | –45.5 |
III (CH3)2СО | –2.5 | 0.0 | –16.3 | 15.2 | –42.7 | – | –36.5 | 25.6 | –54.1 | –44.8 |
III (CHCl3) | –2.5 | 0.0 | –13.5 | 18.2 | –38.2 | – | –33.1 | 28.7 | –49.9 | –40.3 |
Результаты квантово-химических расчетов показывают гораздо большую устойчивость некоторых мероцианиновых форм по сравнению со спироформами, что хорошо согласуется с отрицательным характером фотохромизма этих соединений.
Экспериментальные и расчетные спектральные характеристики мероцианиновых форм соединений II и ΙΙI в различных растворителях приведены в табл. 5.
Таблица 5. Длины волн расчетных и экспериментальных полос поглощения II и ΙΙI в мероцианиновой форме
конформация | Соединение | |||||||||||
II | III | |||||||||||
Растворитель | ||||||||||||
CH3CN | (CH3)2CO | CHCl3 | CH3CN | (CH3)2CO | CHCl3 | |||||||
λэксп = 542 | λэксп = 547 | λэксп = 558 | λэксп = 575 | λэксп = 580 | λэксп = 588 | |||||||
λтеор | λcorr. | λтеор | λcorr. | λтеор | λcorr. | λтеор | λcorr. | λтеор | λcorr. | λтеор | λcorr. | |
CCC | 465 | 519 | 466 | 520 | 474 | 529 | 499 | 559 | 500 | 559 | 501 | 561 |
CCT | 524 | 587 | 525 | 589 | 532 | 597 | 564 | 635 | 564 | 635 | 562 | 633 |
CTC | 524 | 587 | 492 | 550 | 499 | 559 | 518 | 581 | 518 | 581 | 519 | 582 |
CTT | 518 | 580 | 519 | 581 | 525 | 589 | 533 | 598 | 533 | 598 | 531 | 596 |
TCT | 535 | 601 | 536 | 602 | 542 | 609 | 598 | 676 | 598 | 675 | 593 | 669 |
TTC | 489 | 546 | 490 | 547 | 496 | 555 | 516 | 579 | 516 | 579 | 518 | 580 |
TTT | 516 | 579 | 517 | 580 | 524 | 588 | 528 | 592 | 528 | 592 | 526 | 590 |
Также, как и для спиропирана I, лучшее совпадение с экспериментом наблюдается для конформаций СТС и ТТС. Так, в ацетонитриле основной вклад в полосу поглощения вносит HOMO→LUMO переход с конфигурационным весом 0.97 и 0.98 для TTC конформации II и III, соответственно. Граничные молекулярные орбитали спиросоединений приведены на рис. 5.
Рис. 5. Граничные орбитали (DFT/def2-TZVP/ТТС/ацетонитрил) для соединений II и III.
Оптические свойства соединений II и ΙΙI в значительной степени обусловлены особенностями их пространственного строения. Так, в случае отрицательного фотохрома II, влияние геометрии соединения на поглощение в видимой области обусловлено присутствием в молекуле метилпиридиниевой группы, выходящей из плоскости молекулы под углом 113.46° (угол: N(54) – C. 62) – C. 24), рис.6а) и ориентированной в сторону индолиновой части. Фрагменты молекулы могут вращаться вокруг связи С(62) – С(24), а изучение данного процесса дает возможность оценить степень взаимного влияния π-систем пиридина и спиропирана, а также его роль в возмущении общей делокализации в мероцианиновой форме.
На рис. 6а представлена структура наиболее стабильной конформации соединения II в мероцианиновой форме. Была проведена оптимизация геометрии молекулы с полным поворотом двугранного угла N(54) – C. 62) – C. 24) – C. 22) за 36 шагов по 10°. На рис. 6б изображена зависимость профилей потенциальной энергии от угла поворота, на которых можно наблюдать три минимума (два из которых являются глобальными, так как имеют одинаковую энергию) и три седловые точки. С целью уточнения геометрических и энергетических параметров для каждой точки минимума (кроме первой) была проведена оптимизация без каких-либо ограничений, а для каждой седловой точки – оптимизация переходного состояния. Предположение о том, что полученные структуры действительно являются переходными состояниями, было подтверждено путем рассчета мод нормальных колебаний. Для предположения механизма возможной диссипации энергии возбуждения открытой мероцианиновой формы II для каждой из точек был проведен расчет методом TD-DFT без использования приближения TDA и каких-либо сольватационных моделей.
Рис. 6. а) Структура II (TTC) в минимуме с диэдрическим углом N(54) – C. 62) – C. 24) – C. 22) 85°; б) поверхности потенциальной энергии основного и первого возбужденного состояний при вращении вокруг связи C. 62) –C(24). Относительные энергии по оси ординат даны в кДж/моль.
Форма профилей на рис. 6б подтверждает предположение о том, что метилпиридиниевая группа склонна к вращению при возбуждении. Кроме того, необходимо отметить сужение профилей, характерное для конических пересечений. Наличие таких пересечений свидетельствует о возможной деградации молекулы из возбужденного состояния в исходное. В условиях конкуренции с другим типом трансформации энергии – фотохромной перегруппировкой в спиро-форм – такой процесс может служить объяснением аномально низкого значения константы скорости обесцвечивания, которое составляет 0,58 .10–3 с–1 для раствора соединения II в хлороформе [57].
В отличии от соединения II, устойчивость мероцианиновой формы спиропирана III объясняется эффектом другой природы. В открытой форме молекулы кислород пиранового кольца О(56) и водород карбоксильной группы могут образовывать внутримолекулярную водородную связь (рис. 7а). Это позволило предположить, что соединение III может проявлять свойства кислотно-основного индикатора. Действительно, раствор спиропирана III в ацетонитриле обладает ярко-фиолетовой окраской, которая переходит в оранжевую при добавлении небольшого количества HCl. Добавление щелочи приводит к обесцвечиванию раствора. Спектры поглощения растворов 1'-гексадецил-3',3'-диметилспиро[бензо-[f]-хромен-3,2'-индолин]-5-карбоксикислоты в ацетонитриле в отсутствие и в присутствии H+ и OH– представлены на рис. 7б.
Рис. 7. (а) Структура конформации ТТС соединения III; б) экспериментальные спектры поглощения исходного 10–4 М раствора III в ацетонитриле (красный), после добавления 1 экв HCl (синий); после добавления 1 экв NaOH (зеленый); рассчитанное значение λmax (пунктирная линия)
В кислой среде сохраняется доля молекул со спектральной полосой при 575нм, однако равновесие между формами сдвинуто в сторону продуктов взаимодействия с ионами ацетонитрилония, характеризующихся максимумом поглощения в области 473нм. При подщелачивании можно наблюдать исчезновение поглощения в этой области с сохранением остаточного количества формы, поглощающей при λ = 575 нм. Совпадение экспериментальной и расчетной полос поглощения указывает на то, что до изменения кислотно-основного равновесия карбоксильная группа в спиропиране III протонирована.
Корреляции между экспериментальными и расчетными полосами поглощения
На сегодняшний день в научной литературе описано достаточно большое количество регрессий для разных классов соединений, в том числе для спиропиранов [43]. Однако у существующих эмпирических функций наблюдается ряд минусов. Во-первых, в большинстве случаев при моделировании соединений с целью предсказания их оптических характеристик требуется расчет конечной структуры молекулы в рамках одного метода с помощью нескольких функционалов. Во-вторых, каждая регрессия предполагает корректировку расчета только по определенному растворителю, причем количество таких растворителей ограничено. Кроме того, в настоящий момент в литературе отсутствует информация о квантово-химическом моделировании оптических свойств дифильных спиросоединений и применимости к ним существующих регрессий. Полученные в настоящей работе результаты свидетельствуют, что окраску растворов дифильных спиропиранов обеспечивают преимущественно ТТС и СТС формы. Таким образом, для предсказания положения полос поглощения новых соединений достаточно ограничиться моделированием одной из этих двух форм, что и было сделано на примере конформации TTC.
Энергию, соответствующую длине волны основной полосы поглощения, представляют в виде функции (γ) нескольких переменных: энергии смоделированного электронного перехода, диэлектрический проницаемости растворителя, показателя преломления среды и ряда дополнительных параметров (магнитная восприимчивость, электропроводность, и т.п.), используемых для придания гибкости получившейся функции:
γ = αχ + ∑kiui + b
Где
a – коэффициент при энергии смоделированного электронного перехода;
x – энергия смоделированного электронного перехода, эВ;
ki – коэффициенты при параметрах растворителя;
ui – физические константы растворителя;
b – свободный член регрессии.
В качестве физических констант растворителей выбраны показатель преломления n и диэлектрическая проницаемость ε. На основании рассчитанных и экспериментальных значений энергий электронных переходов соединений I, II, и III, а также характеристик использованных растворителей (ацетонитрил, ацетон, хлороформ) была разработана следующая регрессия:
γ = –2,89482+1,5057χ+0,97006n+0,00183ε
В табл. 6 представлены расчетные данные для полученной регрессии, коэффициент детерминации (R2) составляет 0,958, что свидетельствует о ее удовлетворительной релевантности. Отклонение положения полос поглощения (λрегр), полученных с помощью разработанной регрессии, от экспериментальных (λэксп) составляет 2,7 нм для среднего значения и 5нм для максимального, в то время как для известной регрессии [43] те же значения составляют 6 и 16 нм, соответственно.
Таблица 6. Длины волн экспериментальных полос поглощенияи рассчитанных с помощью регрессии (2)
Соединение | λ(расчет) | λ(эксп.) | λ(регр.) |
I (CH3CN) | 501 | 560 | 563 |
I (CH3)2СО | 502 | 570 | 565 |
I (CHCl3) | 511 | 580 | 582 |
II (CH3CN) | 489 | 542 | 544 |
II (CH3)2СО | 490 | 547 | 546 |
II (CHCl3) | 496 | 558 | 557 |
III (CH3CN) | 516 | 575 | 580 |
III (CH3)2СО | 516 | 580 | 580 |
III (CHCl3) | 518 | 588 | 583 |
Одним из преимуществ мультиаргументного подхода является двойной учет сольватационного эффекта: на стадии включения влияния растворителя с помощью модели CPCM и в самой линейной регрессии. Кроме того, полученные шкалирующие зависимости разработаны для дифильных спиросоединений и учитывают влияние алифатических цепей на оптические свойства мероцианинового ядра молекул.
ЗАКЛЮЧЕНИЕ
Таким образом, метод TD-DFT впервые применен для расчета электронных переходов дифильных спиросоединений. Показано, что он дает принципиально верное распределение электронной плотности, соответствующее результатам, полученным с помощью метода CASSCF, и позволяет предсказать природу электронного перехода мероцианиновой формы. Для отрицательных фотохромов обнаружена возможность существования конических пересечений поверхностей потенциальной энергии основного и возбужденного электронных состояний, что может являться причиной замедленного фотохромизма данных соединений. Показана принципиальная возможность использования TD-DFT для предсказания оптических характеристик длинноцепочечных спиропиранов при условии использования шкалирующих регрессий. Впервые разработаны линейные регрессии для таких соединений, учитывающие набор физических параметров растворителя в явном виде. Это позволило получить унифицированную эмпирическую корректировку, учитывающую сольватохромный эффект. Полученные результаты могут быть использованы в качестве основы для разработки базового концепта, учитывающего влияние растворителя на спектральные свойства спиросоединений, и построения единой регрессионной модели, охватывающей различные проявления сольвато- и фотохромизма.
ФИНАНСИРОВАНИЕ
Работа выполнена при финансовой поддержке Минобрнауки России (соглашение о предоставлении гранта № 075–03–2023–179).
КОНФЛИКТ ИНТЕРЕСОВ
Авторы заявляют, что у них нет конфликта интересов.
About the authors
Ю. М. Селивантьев
РХТУ им. Д.И. Менделеева; ИФХЭ РАН
Email: raitman.o.a@muctr.ru
Russian Federation, Москва, Миусская пл. 9; Москва, Ленинский просп., 31, к. 4
А. Н. Морозов
РХТУ им. Д.И. Менделеева
Email: raitman.o.a@muctr.ru
Russian Federation, Москва, Миусская пл. 9
Н. Л. Зайченко
ФИЦ ХФ РАН
Email: raitman.o.a@muctr.ru
Russian Federation, Москва, ул. Косыгина, 4
А. В. Любимов
ФИЦ ХФ РАН
Email: raitman.o.a@muctr.ru
Russian Federation, Москва, ул. Косыгина, 4
О. А. Райтман
ИФХЭ РАН
Author for correspondence.
Email: raitman.o.a@muctr.ru
Russian Federation, Москва, Ленинский просп., 31, к. 4
References
- Matsumoto T., Kawai T., Yokoyama T. Supramolecular Chemistry on Solid Surfaces. 2003. P. 107–121.
- Sasikala V., Chitra K. All optical switching and associated technologies: a review // Journal of Optics. 2018. Vol. 47. № 3. P. 307–317.
- Ferreira de Lima T. et al. Progress in neuromorphic photonics // Nanophotonics. 2017. Vol. 6, № 3. P. 577–599.
- Davis T.J., Gómez D.E., Roberts A. Plasmonic circuits for manipulating optical information // Nanophotonics. 2016. Vol. 6. № 3. P. 543–559.
- V. S. Design of Efficient All Optical Switching Encoder Using XOR gate based on SOA Non Linearity // 13th International Conference on Fiber Optics and Photonics. Washington, D.C.: OSA, 2016. P. Th3A.27.
- Chen X. et al. Reconfigurable All-Optical Logic Gates Using Single Semiconductor Optical Amplifier at 100-Gb/s // IEEE Photonics Technology Letters. 2016. Vol. 28. № 21. P. 2463–2466.
- Parihar A. et al. Computing with dynamical systems based on insulator-metal-transition oscillators // Nanophotonics. 2017. Vol. 6. № 3. P. 601–611.
- Pirzadi M., Mir A., Bodaghi D. Realization of Ultra-Accurate and Compact All-Optical Photonic Crystal OR Logic Gate // IEEE Photonics Technology Letters. 2016. V. 28, № 21. P. 2387–2390.
- Djordjevic I.B. Integrated Optics Modules Based Proposal for Quantum Information Processing, Teleportation, QKD, and Quantum Error Correction Employing Photon Angular Momentum // IEEE Photonics J. 2016. V. 8, № 1. P. 1–12.
- Singh P. et al. All-Optical Logic Gates: Designs, Classification, and Comparison // Advances in Optical Technologies. 2014. V. 2014. P. 1–13.
- Li P. et al. Low-Complexity TOAD-Based All-Optical Sampling Gate With Ultralow Switching Energy and High Linearity // IEEE Photonics J. 2015. V. 7, № 4. P. 1–8.
- Fushimi A., Tanabe T. Robustness of scalable all-optical logic gates // CLEO: 2014. Washington, D.C.: OSA, 2014. P. JTu4A.93.
- Dhanabalan A. et al. Langmuir films from tailor-made semi-amphiphilic alternating (AB) heterocyclic copolymers // Colloids Surf. A Physicochem. Eng. Asp. 2002. V. 198–200. P. 331–338.
- Ulmann A. An introduction to ultrathin organic films. 1991.
- Sánchez-Obrero G. et al. Surface Protection of Quaternary Gold Alloys by Thiol Self-Assembled Monolayers // Int. J. Mol. Sci. 2022. V. 23. № 22. P. 14132.
- Korrapati V. K. et al. Self-assembled layers for the temporary corrosion protection of magnesium-AZ31 alloy // Corros. Sci. 2020. V. 169. P. 108619.
- Taneja P. et al. Heavy Metal Ion Sensing Using Ultrathin Langmuir–Schaefer Film of Tetraphenylporphyrin Molecule // IEEE Sens. J. 2020. V. 20. № 7. P. 3442–3451.
- Mannini M. Molecular Magnetic Materials on Solid Surfaces. Firenze: Firenze University Press, 2009. V. 4.
- Bodik M. et al. Langmuir films of low-dimensional nanomaterials // Adv. Colloid Interface Sci. 2020. V. 283. P. 102239.
- Mohanty S.K., Tolochko O. An atom probe analysis of self-assembled monolayers: A novel approach to investigate mixed and unmixed self-assembled monolayers (SAMs) on gold // Appl. Surf. Sci. 2019. V. 494. P. 152–161.
- Resch R., Koel B.E. Surfaces and Films // AIP Physics Desk Reference. New York, NY: Springer New York, 2003. P. 756–790.
- Gan W., Xu B., Dai H.-L. Super Bright Luminescent Metallic Nanoparticles // J. Phys. Chem. Lett. 2018. V. 9, № 15. P. 4155–4159.
- Gankin A. et al. Molecular and Ionic Dipole Effects on the Electronic Properties of Si-/SiO 2 -Grafted Alkylamine Monolayers // ACS Appl. Mater. Interfaces. 2017. V. 9. № 51. P. 44873–44879.
- Minkin V.I. Photoswitchable Molecular Systems Based on Spiropyrans and Spirooxazines // Molecular Switches. Wiley, 2011. P. 37–80.
- Yee L.H. et al. Photochromic Spirooxazines Functionalized with Oligomers: Investigation of Core−Oligomer Interactions and Photomerocyanine Isomer Interconversion Using NMR Spectroscopy and DFT // J. Org. Chem. 2010. V. 75, № 9. P. 2851–2860.
- Del Canto E. et al. Functionalization of single-walled carbon nanotubes with optically switchable spiropyrans // Carbon N Y. 2010. V. 48. № 10. P. 2815–2824.
- Klajn R., Stoddart J.F., Grzybowski B.A. Nanoparticles functionalised with reversible molecular and supramolecular switches // Chem. Soc. Rev. 2010. V. 39. № 6. P. 2203.
- Seefeldt B. et al. Spiropyrans as molecular optical switches // Photochemical & Photobiological Sciences. 2010. V. 9, № 2. P. 213–220.
- Shao N. et al. Spiropyran-based optical approaches for mercury ion sensing: Improving sensitivity and selectivity via cooperative ligation interactions using cysteine // 2009. V. 655, № 1–2. P. 1–7.
- Zakharova M.I. et al. Thermodynamic and kinetic analysis of metal ion complexation by photochromic spiropyrans // Russian Chemical Bulletin. 2009. V. 58. № 7. P. 1329–1337.
- Minkin V.I. et al. Chemosensors with crown ether based receptors // Arkivoc. 2008. V. 2008, № 4. P. 90–102.
- Minkin V.I. Bistable organic, organometallic, and coordination compounds for molecular electronics and spintronics // Russian Chemical Bulletin. 2008. Vol. 57. № 4. P. 687–717.
- Korolev V. V. et al. Spironaphtoxazines produced from crown-containing dihydroisoquinolines: Synthesis and spectroscopic study of cation-dependent photochromism // J. Photochem. Photobiol. A Chem. 2007. V. 192. № 2–3. P. 75–83.
- Tomasulo M., Yildiz I., Raymo F.M. Nanoparticle-induced transition from positive to negative photochromism // Inorganica Chim. Acta. 2007. V. 360, № 3. P. 938–944.
- Zhou W. et al. Photoisomerization of Spiropyran for Driving a Molecular Shuttle // Org. Lett. 2007. V. 9, № 20. P. 3929–3932.
- Laurent A.D., Adamo C., Jacquemin D. Dye chemistry with time-dependent density functional theory // Phys. Chem. Chem. Phys. 2014. V. 16. № 28. P. 14334–14356.
- Rostovtseva I.A. et al. Experimental and theoretical insight into the complexation behavior of spironaphthopyrans bearing o- positioning benzazole moiety // J. Mol. Struct. 2017. V. 1145. P. 55–64.
- Liu X. et al. Theoretical investigation and reconsideration of intramolecular proton-transfer-induced the twisted charge-transfer for the fluorescent sensor to detect the aluminum ion // Struct. Chem. 2022. V. 33, № 4. P. 1355–1364.
- Chernyshev A. V. et al. Spectroscopic, photochromic and kinetic properties of 5’-benzothiazolyl derivatives of spiroindolinenaphthopyrans: An experimental and theoretical study // Dyes and Pigments. 2014. V. 111. P. 108–115.
- Wen G. et al. Photomodulation of the electrode potential of a photochromic spiropyran-modified Au electrode in the presence of Zn2+: a new molecular switch based on the electronic transduction of the optical signals // Chemical Communications. 2006. № 28. P. 3016.
- Finnerty J.J., Koch R. Accurate Calculated Optical Properties of Substituted Quaterphenylene Nanofibers // J. Phys. Chem. A. 2010. V. 114, № 1. P. 474–480.
- Fabian J. TDDFT-calculations of Vis/NIR absorbing compounds // Dyes and Pigments. 2010. V. 84. № 1. P. 36–53.
- Guillaume M., Champagne B., Zutterman F. Investigation of the UV/Visible Absorption Spectra of Merocyanine Dyes Using Time-Dependent Density Functional Theory // J. Phys. Chem. A. 2006. V. 110. № 48. P. 13007–13013.
- Lenoble C., Becker R.S. Photophysics, photochemistry, kinetics, and mechanism of the photochromism of 6’-nitroindolinospiropyran // J. Phys. Chem. 1986. V. 90. № 1. P. 62–65.
- Cottone G., Noto R., La Manna G. Theoretical study of spiropyran–merocyanine thermal isomerization // Chem. Phys. Lett. 2004. V. 388. № 1–3. P. 218–222.
- Balasubramanian G. et al. Structural and thermochemical properties of a photoresponsive spiropyran and merocyanine pair: Basis set and solvent dependence in density functional predictions // Chem. Phys. Lett. 2012. V. 554. P. 60–66.
- Tomioka H., Murata S., Inagaki F. Photochromic properties of water-soluble spiropyrans in reversed micelles. // Journal of Photopolymer Science and Technology. 1989. V. 2. № 2. P. 143–146.
- Shimizu I., Kokado H., Inoue E. Photoreversible Photographic Systems. VI. Reverse Photochromism of 1,3,3-Trimethylspiro[indoline-2,2′-benzopyran]-8′-carboxylic Acid // Bull. Chem. Soc. Jpn. 1969. V. 42. № 6. P. 1730–1734.
- Gruda I., Leblanc R.M. Synthesis of some long-chain spiropyranindolines // Can. J. Chem. 1976. V. 54, № 4. P. 576–580.
- Stephens P.J. et al. Ab Initio Calculation of Vibrational Absorption and Circular Dichroism Spectra Using Density Functional Force Fields // J. Phys. Chem. 1994. V. 98. № 45. P. 11623–11627.
- Weigend F., Ahlrichs R. Balanced basis sets of split valence, triple zeta valence and quadruple zeta valence quality for H to Rn: Design and assessment of accuracy // Physical Chemistry Chemical Physics. 2005. V. 7. № 18. P. 3297.
- Weigend F. Accurate Coulomb-fitting basis sets for H to Rn // Physical Chemistry Chemical Physics. 2006. V. 8. № 9. P. 1057.
- Barone V., Cossi M. Quantum Calculation of Molecular Energies and Energy Gradients in Solution by a Conductor Solvent Model // J. Phys. Chem. A. 1998. V. 102. № 11. P. 1995–2001.
- Neese F. The ORCA program system // WIREs Computational Molecular Science. 2012. V. 2. № 1. P. 73–78.
- Neese F. Software update: the ORCA program system, version 4.0 // WIREs Computational Molecular Science. 2018. V. 8. № 1.
- Aldoshin S.M. Spiropyrans: structural features and photochemical properties // Russian Chemical Reviews. 1990. V. 59. № 7. P. 663–684.
- Koryako N.E. et al. Negative Photochromism and Luminescent Properties of Amphiphilic Spiropyran in Solutions and at the Interface // Protection of Metals and Physical Chemistry of Surfaces. 2019. V. 55. № 6. P. 1118–1123.
Supplementary files









