Синтез и изучение физико-химических свойств мезопористого углеродного сорбента, модифицированного 3-фенилпропановой кислотой
- Авторы: Седанова А.В.1, Пьянова Л.Г.1, Делягина М.С.1, Корниенко Н.В.1, Леонтьева Н.Н.1, Несов С.Н.2, Бабенко А.В.1
-
Учреждения:
- Центр новых химических технологий ИК СО РАН, Институт катализа СО РАН
- Омский государственный технический университет
- Выпуск: Том 59, № 5 (2023)
- Страницы: 472-484
- Раздел: ФИЗИКО-ХИМИЧЕСКИЕ ПРОЦЕССЫ НА МЕЖФАЗНЫХ ГРАНИЦАХ
- URL: https://ogarev-online.ru/0044-1856/article/view/139761
- DOI: https://doi.org/10.31857/S0044185623700572
- EDN: https://elibrary.ru/PROWOI
- ID: 139761
Цитировать
Полный текст
Аннотация
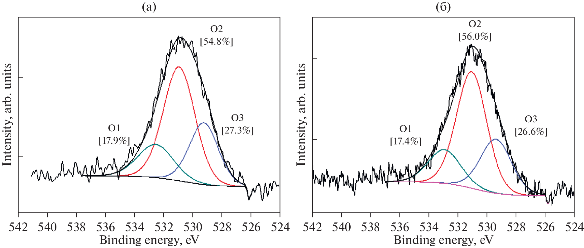
Изучена адсорбция 3-фенилпропановой кислоты на мезопористом углеродном сорбенте. Определено оптимальное соотношение и время равновесия в системе “сорбент/раствор фенилпропановая кислота”. Разработан способ модифицирования углеродного сорбента 3-фенилпропановой кислотой. Исследована возможность миграции (десорбции) модификатора в растворы, моделирующие среды желудка и кишечника. Комплексом физико-химических методов исследования: метод низкотемпературной адсорбции азота, ИК-, ЯМР, рентгеновская фотоэлектронная спектроскопия и спектроскопия комбинационного рассеяния света, спектрофотометрический метод, титриметрический метод H.P. Boehm, CHNOS элементный анализ – изучены свойства углеродного сорбента до и после модифицирования, а также после десорбции нанесенной 3-фенилпропановой кислоты. Синтезированные модифицированные образцы являются перспективными для применения в качестве энтеросорбентов с целью лечения желудочно-кишечных заболеваний.
Об авторах
А. В. Седанова
Центр новых химических технологий ИК СО РАН, Институт катализа СО РАН
Email: medugli@ihcp.ru
Россия, 644040, Омск – 40, ул. Нефтезаводская, 54
Л. Г. Пьянова
Центр новых химических технологий ИК СО РАН, Институт катализа СО РАН
Email: medugli@ihcp.ru
Россия, 644040, Омск – 40, ул. Нефтезаводская, 54
М. С. Делягина
Центр новых химических технологий ИК СО РАН, Институт катализа СО РАН
Email: medugli@ihcp.ru
Россия, 644040, Омск – 40, ул. Нефтезаводская, 54
Н. В. Корниенко
Центр новых химических технологий ИК СО РАН, Институт катализа СО РАН
Email: medugli@ihcp.ru
Россия, 644040, Омск – 40, ул. Нефтезаводская, 54
Н. Н. Леонтьева
Центр новых химических технологий ИК СО РАН, Институт катализа СО РАН
Email: medugli@ihcp.ru
Россия, 644040, Омск – 40, ул. Нефтезаводская, 54
С. Н. Несов
Омский государственный технический университет
Email: medugli@ihcp.ru
Россия, 644050, Омск, ул. Мира, 11
А. В. Бабенко
Центр новых химических технологий ИК СО РАН, Институт катализа СО РАН
Автор, ответственный за переписку.
Email: medugli@ihcp.ru
Россия, 644040, Омск – 40, ул. Нефтезаводская, 54
Список литературы
- Koh A., Vadder F. De, Kovatcheva-Datchary P., Bäckhed F. // Cell. 2016. V. 165. P. 1332–1345.
- Kumar N., Goel N. // Biotechnol. Rep. 2019. V. 24. P. 00370–00380.
- Beloborodova N.V., Moroz V.V., Osipov A.A. et al. // Biochemistry (Moscow). 2015. V. 80. P. 374–378.
- Beloborodova N.V. // General Reanimatology. 2019. V. 15. № 6. P. 62–79.
- Martínez-Oca P., Robles-Vera I., Sánchez-Roncero A. et al. // J. Nutr. Biochem. 2020. V. 81. P. 108383–108399.
- Kirby T.O., Ochoa-Reparaz J., Roullet J-B., Gibson K.M. // Mol. Genet. Metab. 2021. V. 132. № 1. P. 1–10.
- Pautova A.K., Sobolev P.D., Revelsky A.I. // Clin. Mass. Spectrom. 2019. V. 14. P. 46–53.
- National Center for Biotechnology Information. “PubChem Compound Summary for CID 107, 3-Phenylpropionic acid” PubChem, https://pubchem.ncbi.nlm.nih.gov/compound/3-Phenylpropionic-acid. Accessed 11 January, 2023.
- Cueva C., Moreno-Arribas M.V., Martín-Álvarez P.J. et al. // Res. Microbiol. 2010. V. 161. P. 372–382.
- Lee I., Han M., Kim D., Yun B. // Bioorg. Med. Chem. Lett. 2014. V. 24. P. 3503–3505.
- Gisbert-Garzarán M., Manzano M., Vallet-Regí M. // Bioeng. 2017. V. 4. P. 3–30.
- Devnarain N., Osman N., Fasiku V.O. et al. // Rev. Nanomed. Nanobiotechnol. 2021. V. 13. P. 1664–1702.
- Deirram N., Zhang C., Kermaniyan S.S. et al. // Macromol. Rapid Commun. 2019. V. 40. P. 1800917–1800940.
- Dong P., Rakesh K.P., Manukumar H.M. et al. // Bioorg. Chem. 2019. 85. P. 325–336.
- Miriyala N., Ouyang D., Perrie Y. et al. // Eur. J. Pharm. Biopharm. 2017. V. 115. P. 197–205.
- Yadavalli T., Ames J., Agelidis A. et al. // Sci. Adv. 2019. V. 5. P. 1–12.
- Mehra N.K., Palakurthi S. // Drug Discov. Today. 2016. V. 21. P. 585–597.
- Falank C., Tasset A. W., Farrell M. et al. // Nanomedicine. 2019. V.20. P. 102025–102037.
- Zhua S. // Aquac. 2019. V. 512. P. 734377–734386.
- Muthoosamy K., Bai R.G., Manickam S. // Curr. Drug Deliv. 2014. V. 11. P. 701–718.
- Campbell E., Hasan Md.T., Pho C. // Sci. Rep. 2019. V. 9. P. 416–425.
- Kumar M., Raza K. // Pharm. Nanotechnol. 2017. V. 5. P. 169–179.
- Grebinyk A., Prylutska S., Grebinyk S. // Nanoscale Res. Lett. 2019. V. 14. P. 61–71.
- Thambiliyagodage C., Mirihana S., Gunathilaka H. // Biomed. J. Sci. Tech. Res. 2019. V. 22. P. 16905–16907.
- Zhao Q., Lin Y., Han N. et al. // Drug Deliv. 2017. V. 24. P. 94–107.
- Maiti D., Tong X., Mou X., Yang K. // Front. Pharmacol. 2019. V. 9. P. 1–16.
- Guedidi H., Reinert L., Soneda Y. et al. // Arab. J. Chem. 2017. V. 10. P. 3584–3594.
- P’yanova L.G., Likholobov V.A., Sedanova A.V., Drozdetskaya M.S. // Russ. J. Gen. Chem. 2020. V.90. № 3. P. 550–558.
- Likholobov V.A., P’yanova L.G., Danilenko A.M. et al. // J. Fluor. Chem. 2019. V. 227. P. 109372–109383.
- Sedanova A.V., P’yanova L.G., Delyagina M.S. et al. // Chem. for Sust. Develop. 2022. V. 30. P. 543–552.
- Vezentsev A.I., Thuy D.M., Goldovskaya-Peristaya L.F., Glukhareva N.A. // Indones. J. Chem. 2018. V. 18. P. 733–741.
- Alaqarbeh M.M. // RHAZES: Green and Applied Chemistry. 2021. V. 13. P. 43–51.
- Giles C.H., MacEwan C.H., Nakhwa S.N., Smith D. // J. Chem. Soc. 1960. P. 3973–3993.
- Popov A.Yu., Blinnikova Z.K., Tsyurupa M.P., Davankov V.A. // Sorbtsionnye I Khromatograficheskie Protsessy. 2017. V. 17. № 2. P. 183–190.
- Eleftheriadis G.K., Filippousi M., Tsachouridou V. et al. // Int. J. Pharm. 2016. V. 515. P. 262–270.
- Xu C., Shi X., Ji A. et al. // PLoS ONE. 2015. V. 15. P. 1–15.
- Chen X., Wang X., Fang D. // Fuller. Nanotub. Car. N. 2020. V. 28. P. 1048–1058.
- Yamada Y., Sato S. // Carbon. 2015. V. 269. P. 181–189.
- Kovtun A., Jones D., Dell’Elce S. et al. // Carbon. 2019. V. 143. P. 268–275.
- Bobenko N.G., Bolotov V.V., Egorushkin V.E. et al. // Carbon. 2019. V. 153. P. 40–51.
- Sotoma S., Akagi K., Hosokawa S. et al. // RSC Adv. 2015. V. 5. P. 13818–13827.
- Zhang L., Tu L., Liang Y. et al. // RSC Adv. 2018. V. 8. P. 42280–42291.
- Ramenskaia G.V., Shokhin I.E., Savchenko A.Iu., Volkova E.A. // Biomed Khim. 2011. V. 57. № 5. P. 482–489.
Дополнительные файлы














