Адсорбция паров метана на микро-мезопористом углеродном адсорбенте в процессах длительного хранения сжиженного природного газа
- Авторы: Гринченко А.Е.1, Меньщиков И.Е.1, Школин А.В.1, Фомкин А.А.1
-
Учреждения:
- ФГБУН Институт физической химии и электрохимии им. А.Н. Фрумкина РАН
- Выпуск: Том 59, № 5 (2023)
- Страницы: 463-471
- Раздел: ФИЗИКО-ХИМИЧЕСКИЕ ПРОЦЕССЫ НА МЕЖФАЗНЫХ ГРАНИЦАХ
- URL: https://ogarev-online.ru/0044-1856/article/view/139760
- DOI: https://doi.org/10.31857/S0044185623700560
- EDN: https://elibrary.ru/PSSPUH
- ID: 139760
Цитировать
Полный текст
Аннотация
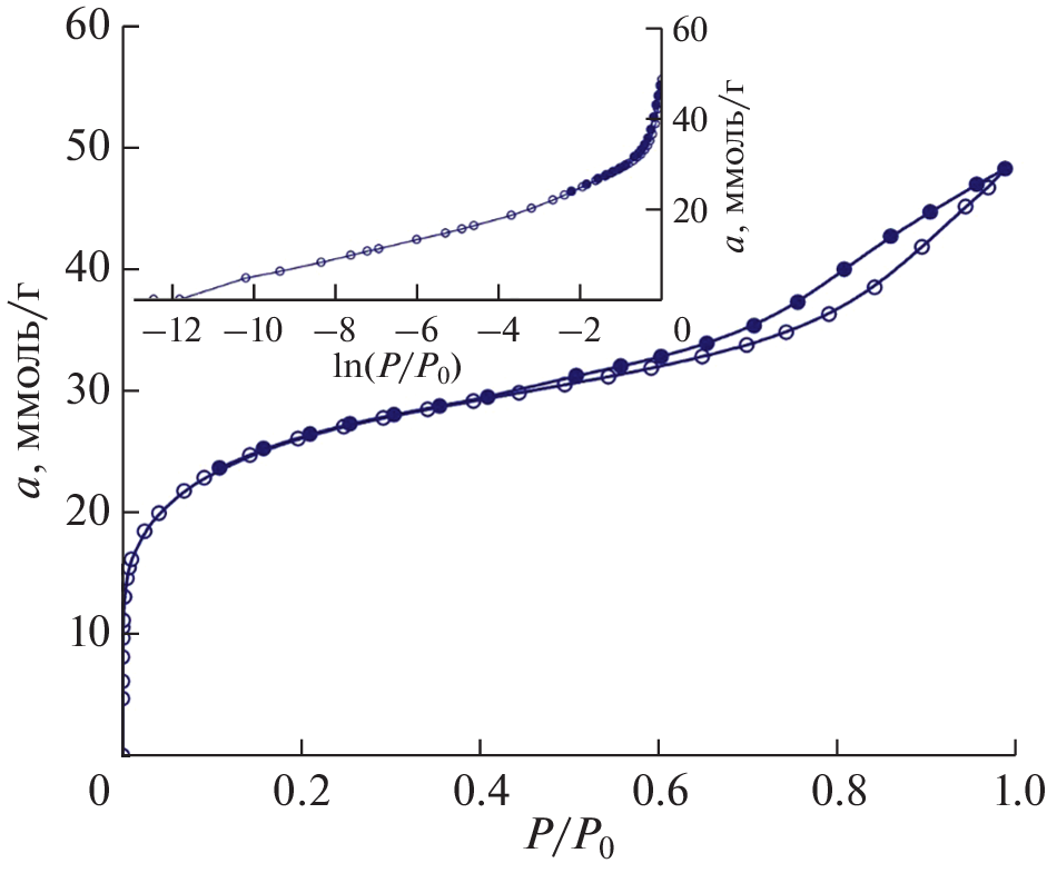
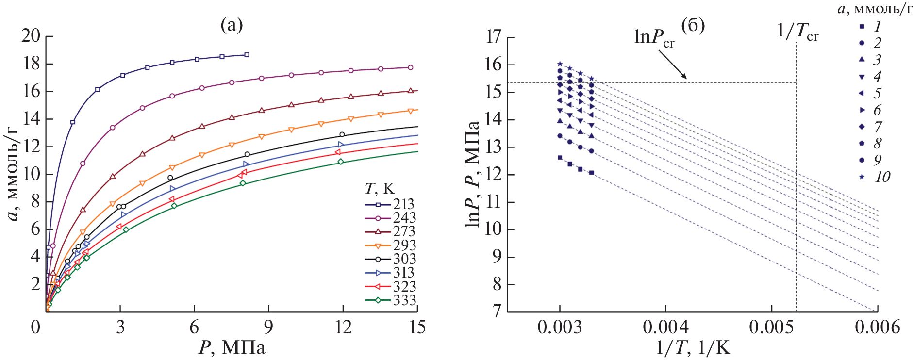
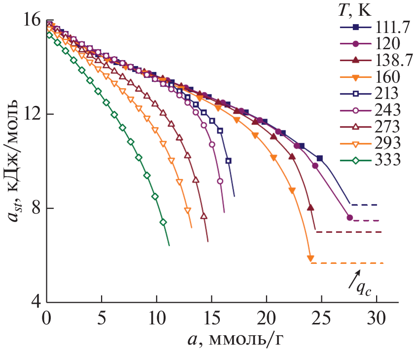
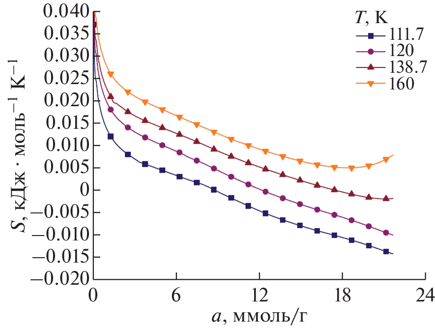
В работе исследованы физико-химические и адсорбционные характеристики микро-мезопористого углеродного адсорбента, полученного из отходов древесины термохимическим методом, по отношению к процессам аккумулирования паров сжиженного природного газа в системах длительного хранения. Рентгеноструктурный анализ адсорбента показал, что в результате синтеза адсорбента его структура представляла собой аморфную фазу углерода, без признаков наличия графит-подобных фаз, характерных для углей, получаемых из других видов сырья. В свою очередь развитая пористая структура адсорбента представлена как микро-, так и мезопорами, с широким распределением по размерам – суммарный объем пор составил около 1.7 см3/г. Расчет сорбционных характеристик адсорбента при температурах 111.7–160 К и давлениях до 0.6 МПа выполнен на основе свойства линейности экспериментальных изостер при Т от 303 до 333 К, вклада от адсорбции на поверхности мезопор в монослое и эффекта капиллярной конденсации (ЭКК). На основе сорбционных данных показано, что наличие мезопор оказывает превалирующее влияние на эффективность адсорбционного аккумулирования, благодаря вкладу ЭКК, обеспечивая активную емкость криогенных сорбционных аккумуляторов на уровне 450 м3(НТД)/м3.
Ключевые слова
Об авторах
А. Е. Гринченко
ФГБУН Институт физической химии и электрохимии им. А.Н. Фрумкина РАН
Email: i.menshchikov@phyche.ac.ru
Россия, 119071, Москва, Ленинский проспект, 31, стр. 4
И. Е. Меньщиков
ФГБУН Институт физической химии и электрохимии им. А.Н. Фрумкина РАН
Email: i.menshchikov@phyche.ac.ru
Россия, 119071, Москва, Ленинский проспект, 31, стр. 4
А. В. Школин
ФГБУН Институт физической химии и электрохимии им. А.Н. Фрумкина РАН
Email: i.menshchikov@phyche.ac.ru
Россия, 119071, Москва, Ленинский проспект, 31, стр. 4
А. А. Фомкин
ФГБУН Институт физической химии и электрохимии им. А.Н. Фрумкина РАН
Автор, ответственный за переписку.
Email: i.menshchikov@phyche.ac.ru
Россия, 119071, Москва, Ленинский проспект, 31, стр. 4
Список литературы
- Майорец М., Симонов К. Сжиженный газ – будущее мировой энергетики / М.: Альпина Паблишер, 2013 С. 360.
- Лавренченко Г.К. // Технические газы. 2006. № 5. С. 2.
- СП 240.1311500.2015. Хранилища сжиженного природного газа. Требования пожарной безопасности. М.: МЧС России. 2015. С. 29.
- Федорова Е.Б. Современное состояние и развитие мировой индустрии сжиженного природного газа: технологии и оборудование. М.: РГУ Нефти и газа имени И.М. Губкина, 2011. С. 159.
- Roszak E.A., Chorowski M. // Advances In Cryogenic Engineering. 2014. P. 1379–1386.
- Меньщиков И.Е., Фомкин А.А., Школин А.В., Стриженов Е.М., Зайцев Д.С., Твардовский А.В. // Физикохимия поверхности и защита материалов. 2017. Т. 53. № 5. С. 459–464.
- Фомкин А.А., Прибылов А.А., Меньщиков И.Е., Школин А.В. // Физикохимия поверхности и защита материалов. 2022. Т. 58. № 3. С. 239–246.
- Чугаев С.С., Фомкин А.А., Меньщиков И.Е., Стриженов Е.М., Школин А.В. // Физикохимия поверхности и защита материалов. 2020. № 5. С. 471–478.
- Меньщиков И.Е., Фомкин А.А., Романов Ю.А., Киселев М.Р., Пулин А.Л., Чугаев С.С., Школин А.В. // Физикохимия поверхности и защита материалов. 2020. Т. 56. № 5. С. 579–590.
- Меньщиков И.Е., Фомкин А.А., Школин А.В. // Физикохимия поверхности и защита материалов. 2021. Т. 57. № 5. С. 469–476.
- Соловцова О.В., Пулин А.Л., Меньщиков И.Е., Платонова Н.П., Князева М.К., Чугаев С.С., Школин А.В., Фомкин А.А. // Физикохимия поверхности и защита материалов. 2020. Т. 56. № 6. С. 570–578.
- Mahmoud E., Ali L., Sayah A., Alkhatib S., Abdulsalam H., Juma M., Al- Muhtaseb A. // Crystals. 2019. V. 9. P. 406.
- Соловцова О.В., Маевский А.В., Полонеева Д.Ю., Емелин А.В., Школин А.В., Меньщиков И.Е., Фомкин А.А., Князева М.К., Яковлев В.Ю., Пулин А.Л. // Физикохимия поверхности и защита материалов. 2021. Т. 57. № 4. С. 364–372.
- Князева М.К., Фомкин А.А., Школин А.В., Меньщиков И.Е., Гринченко А.Е., Соловцова О.В., Пулин А.Л. // Физикохимия поверхности и защита материалов. 2022. Т. 58. № 1. С. 8–15.
- Фомичев А.В., Меньщиков И.Е., Стриженов Е.М., Фомкин А.А., Гринченко А.Е., Школин А.В. // Физикохимия поверхности и защита материалов. 2022. Т. 58. № 6. С. 563–573.
- Machnikowski J., Kaczmarska H., Gerus-Piasecka I., Diez M.A., Alvarez R., Garcia R. // Carbon. 2002. V. 40. P. 1937–1947.
- Shkolin A.V., Men’shchikov I.E., Khozina E.V., Yakovlev V.Y., Simonov V.N., Fomkin A.A. // J. Chemical and Engineering Data. 2022. V. 67. № 7. P. 1699–1714.
- Фомкин А.А., Дубовик Б.А., Лимонов Н.В., Прибылов А.А., Пулин А.Л., Меньщиков И.Е., Школин А.В. // Физикохимия поверхности и защита материалов. 2021. Т. 57. № 1. С. 19–24.
- Bell I.H., Wronski J., Quoilin S., Lemor, V. // Ind. Eng. Chem. Res. 2014. V. 53. P. 2498–2508.
- Dubinin M.M. // Progress Surface Membrane Sci. 1975. V. 9. P. 1–70.
- Brunauer S., Emmet P.H., Teller E. // J. Am. Chem. Soc. 1938. Vol. 60. P. 309–319.
- Школин А.В., Фомкин А.А. // Измерительная техника. 2018. № 4. С. 56.
- Dubinin M.M., Plavnik G.M. // Carbon. 1968. V. 6. P. 183.
- Киселев А.В., Древинг В.П. Экспериментальные методы в адсорбции и молекулярной хроматографии / М.: Изд. Московского Университета. 1973. С. 448.
- Hill T.L. // Advances in catalysis and related sbjects. Eds. Frankerburg V. I. et al. New York.-Academic Press. 1952. V. 4. P. 211–258.
- Шеховцова Л.Г., Фомкин А.А. // Изв. АН СССР. Сер. Хим. 1992. № 1. С. 19–23.
- Fomkin A.A. // Adsorption. 2005. V. 11. № 3/4. P. 425–436.
- Thommes M., Kaneko K., Neimark A. V., Oliver J. P., Rodrigues-Reinoso F., Rouquerol J., Sing K. // Pure Appl. Chem. 2015. V. 87. P. 1051.
- Мухин В.М., Тарасов А.В., Клушин В.Н. Активные угли России. М.: Металлургия Москва. 2000. С. 352.
- Roszak E.A., Chorowski M. // Advances in Cryogenic Engineering. 2012. P. 1771–1778.
Дополнительные файлы












