The Effect of Redox Electrolyte on the Electrochemical Characteristics of a PEDOT–(Sodium 1,2-Naphthoquinone-4-sulfonate)/WMNT Nanocomposite Electrode
- Authors: Shumakovich G.P.1, Vasilyeva I.S.1, Emets V.V.2, Bogdanovskaya V.A.3, Kuzov A.V.2, Andreev V.N.3, Morozova O.V.1, Yaropolov A.I.1
-
Affiliations:
- Bach Institute of Biochemistry, Federal Research Center “Fundamentals of Biotechnology” of the Russian Academy of Sciences
- Frumkin Institute of Physical Chemistry and Electrochemistry, Academy of Sciences
- Frumkin Institute of Physical Chemistry and Electrochemistry, Russian Academy of Sciences
- Issue: Vol 59, No 4 (2023)
- Pages: 397-404
- Section: НАНОРАЗМЕРНЫЕ И НАНОСТРУКТУРИРОВАННЫЕ МАТЕРИАЛЫ И ПОКРЫТИЯ
- URL: https://ogarev-online.ru/0044-1856/article/view/139722
- DOI: https://doi.org/10.31857/S0044185623700559
- EDN: https://elibrary.ru/YCXCAW
- ID: 139722
Cite item
Full Text
Abstract
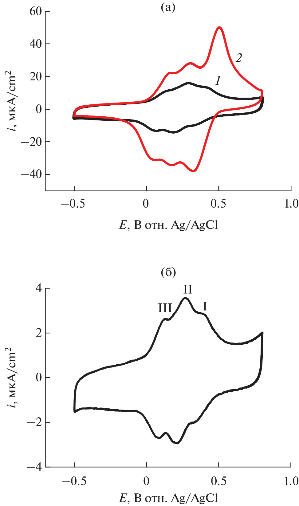
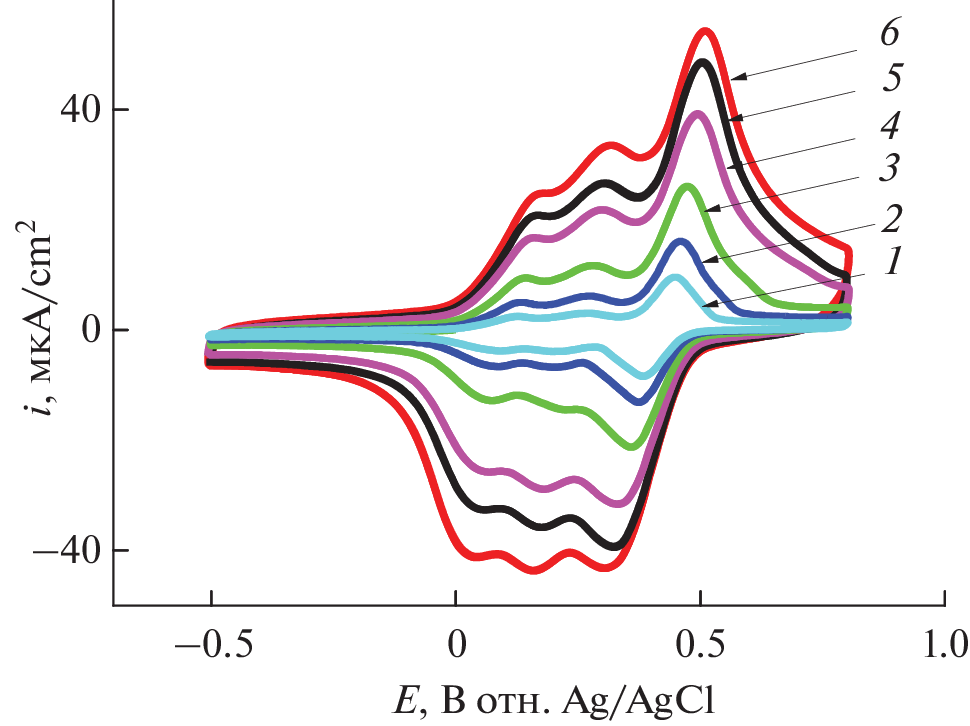
The methods of cyclic voltammetry, galvanostatic charge–discharge, and electrochemical impedance spectroscopy were used to study the effect of electrolyte redox on the electrochemical characteristics of a composite based on a poly(3,4-ethylenedioxythiophene) (PEDOT) conducting polymer and multiwalled carbon nanotubes (MWCNTs). To form a uniform thin layer of PEDOT on the surface of nanotubes, an enzymatic polymerization of the monomer was used. The electrochemically active compound sodium 1,2‑naphthoquinone-4-sulfonate (NQS) was a dopant in the main PEDOT chain and, at the same time, a component of the electrolyte. The addition of 12.5 mM NQS to the electrolyte increased the specific capacitance of the PEDOT–NQS/MWCNT composite electrode from 390 to 800 F/g at a potential sweep rate of 10 mV/s. In a 1 M H2SO4 + 12.5 mM NQS redox electrolyte, the composite electrode exhibited higher cyclic stability and lower charge transfer resistance compared to 1 M H2SO4. After 1000 cycles of potential scanning in the range from –0.1 to 0.8 V at a rate of 100 mV/s, the specific capacitance of the composite electrode in a solution of 1 M H2SO4 decreased by 8%, and in a solution of 1 M H2SO4 + 12.5 mm NQS increased by approximately 9%.
About the authors
G. P. Shumakovich
Bach Institute of Biochemistry, Federal Research Center “Fundamentals of Biotechnology” of the Russian Academy of Sciences
Email: victoremets@mail.ru
119071, Moscow, Russia
I. S. Vasilyeva
Bach Institute of Biochemistry, Federal Research Center “Fundamentals of Biotechnology” of the Russian Academy of Sciences
Email: victoremets@mail.ru
119071, Moscow, Russia
V. V. Emets
Frumkin Institute of Physical Chemistry and Electrochemistry, Academy of Sciences
Email: victoremets@mail.ru
119071, Moscow, Russia
V. A. Bogdanovskaya
Frumkin Institute of Physical Chemistry and Electrochemistry, Russian Academy of Sciences
Email: bogd@elchem.ac.ru
Moscow, 119071 Russia
A. V. Kuzov
Frumkin Institute of Physical Chemistry and Electrochemistry, Academy of Sciences
Email: victoremets@mail.ru
119071, Moscow, Russia
V. N. Andreev
Frumkin Institute of Physical Chemistry and Electrochemistry, Russian Academy of Sciences
Email: elena_pisarevska@bk.ru
Moscow, Russia
O. V. Morozova
Bach Institute of Biochemistry, Federal Research Center “Fundamentals of Biotechnology” of the Russian Academy of Sciences
Email: victoremets@mail.ru
119071, Moscow, Russia
A. I. Yaropolov
Bach Institute of Biochemistry, Federal Research Center “Fundamentals of Biotechnology” of the Russian Academy of Sciences
Author for correspondence.
Email: victoremets@mail.ru
119071, Moscow, Russia
References
- Sun K., Feng E., Peng H., Ma G. et al. // Electrochimica Acta. 2015. V. 158. № 10. P. 361–367.
- Veerasubramani G.K., Krishnamoorthy K., Pazhamalai P., Kim S.J. // Carbon. 2016. V. 105. P. 638–648.
- Meng W., Xia Y., Ma C., Du X. // Polymers. 2020. V. 12. № 10. P. 2303.
- Wang X., Chandrabose R.S., Chun S.-E., Zhang T. et al. // ACS Appl. Mater. Interfaces. 2015. V. 7. № 36. P. 19978–19985.
- Lota G., Fic K., Frackowiak E. // Electrochemistry Communications. 2011. V. 13. № 1. P. 38–41.
- Sun S., Rao D., Zhai T., Liu Q. et al. // Advanced Materials. 2020. V. 32. № 43. P. 2005344.
- Raja A., Selvakumar K., Swaminathan M., Kang M. // Synthetic Metals. 2021. V. 276. P. 116753.
- Senthilkumar S.T., Selvan R.K., Ponpandian N., Melo J.S. et al. // J. Mater. Chem. A. 2013. V. 27. P. 7913–7919.
- Kasturi P.R., Harivignesh R., Lee Y.S., Selvan R.K. // J. Physics and Chemistry of Solids. 2020. V. 143. P. 109447.
- Han W., Kong L.-B., Liu M.-C., Wang D. et al. // Electrochimica Acta. 2015. V. 186. P. 478–485.
- Chun S.-E., Evanko B., Wang X., Vonlanthen D. et al. // Nature Communications. 2015. V. 6. P. 7818.
- Chen W., Rakhi R.B., Alshareef H.N. // Nanoscale. 2013. V. 5. № 10. P. 4134–4138.
- Vonlanthen D., Lazarev P., See K.A., Wudl F. et al. // Advanced Materials. 2014. V. 26. № 30. P. 5095–5100.
- Wang T., Hu S., Wu D., Zhao W. et al. // J. Mater. Chem. A. 2021. V. 9. № 19. P. 11839–11852.
- Tian Y., Liu M., Che R., Xue R. et al. // Journal of Power Sources. 2016. V. 324. P. 334–341.
- Sakita A.M.P., Ortega P.F.R., Silva G.G., Noce R.D. et al. // Electrochimica Acta. 2021. V. 390. P. 138803.
- Wang Q., Nie Y.F., Chen X.Y., Xiao Z.H. et al. // J. Power Sources. 2016. V. 323. P. 8–16.
- Sheng L., Fang D., Wang X., Tang J. et al. // Chemical Engineering J. 2020. V. 401. P. 126123.
- Nasrin K., Gokulnath S., Karnan M., Subramani K. et al. // Energy Fuels. 2021. V. 35. № 8. P. 6465–6482.
- Li Y., Cao R., Song J., Liang L. et al. // Materials Research Bulletin. 2021. V. 139. P. 111249.
- Xie H., Zhu Y., Wu Y., Wu Z. et al. // Materials Research Bulletin. 2014. V. 50. P. 303–306.
- Otrokhov G.V., Shumakovich G.P., Khlupova M.E., Vasil’eva I.S. et al. // RSC Advanced. 2016. V. 6. P. 60372–60375.
- Kanth S., Narayanan P., Betty C.A., Rao R. et al. // J. Applied Polymer Science. 2021. V. 138. № 24. P. e50838.
- Skunik-Nuckowska M., Lubera J., Raczka P., Mroziewicz A.A., Dyjak S., Kulesza P.J. // ChemElectroChem. 2022. V. 9. No. 2. P. e202101222.
- Groenendaal L., Jonas F., Freitag D., Pielartzik H., Reynolds J.R. // Advanced Materials. 2000. V. 12. № 7. P. 481–494.
- Горшина Е.С., Русинова Т.В., Бирюков В.В., Морозова О.В. и др. // Прикл. биохимия и микробиология, 2006. Т. 42. № 6. С. 558–563.
- Shumakovich G.P., Kurova V., Vasil’eva I., Pankratov D. et al. // J. Molecular Catalysis B: Enzymatic. 2012. V. 77. P. 105–110.
- Vasil'eva I.S., Shumakovich G.P., Khlupova M.E., Vasiliev R.B. et al. // RSC Advances. 2020. V. 10. P. 33010–33017.
- Shumakovich G.P., Morozova O.V., Khlupova M.E., Vasil’eva I.S. et al. // RSC Advanced. 2017. V. 7. P. 34192–34196.
- Kvarnström C., Neugebauer H., Blomquist S., Ahonen H.J., Kankare J., Ivaska A. // Electrochimica Acta. 1999. V. 44. P. 2739–2750.
- Uzuncar S., Ozdogan N., Ak M. //Analytica Chimica Acta. 2021. V. 11728. P. 338664.
- Lota K., Khomenko V., Frackowiak E. // J. Phys. Chem. Solids. 2004. V. 65. P. 295–301.
Supplementary files













