The Effect of Microwave Treatment on the Adsorption Capacity of AlZr(Yb) Oxide Powders
- Authors: Vakhrushev N.E.1, Mikhalenko I.I.2, Il’icheva A.A.1, Konovalov A.A.1
-
Affiliations:
- Baikov Institute of Metallurgy and Materials Science of the Russian Academy of Sciences, 119334, Moscow, Russia
- Peoples’ Friendship University of Russia, 117198, Moscow, Russia
- Issue: Vol 59, No 3 (2023)
- Pages: 269-276
- Section: ФИЗИКО-ХИМИЧЕСКИЕ ПРОЦЕССЫ НА МЕЖФАЗНЫХ ГРАНИЦАХ
- URL: https://ogarev-online.ru/0044-1856/article/view/139701
- DOI: https://doi.org/10.31857/S0044185623700328
- EDN: https://elibrary.ru/SEZGVB
- ID: 139701
Cite item
Full Text
Abstract
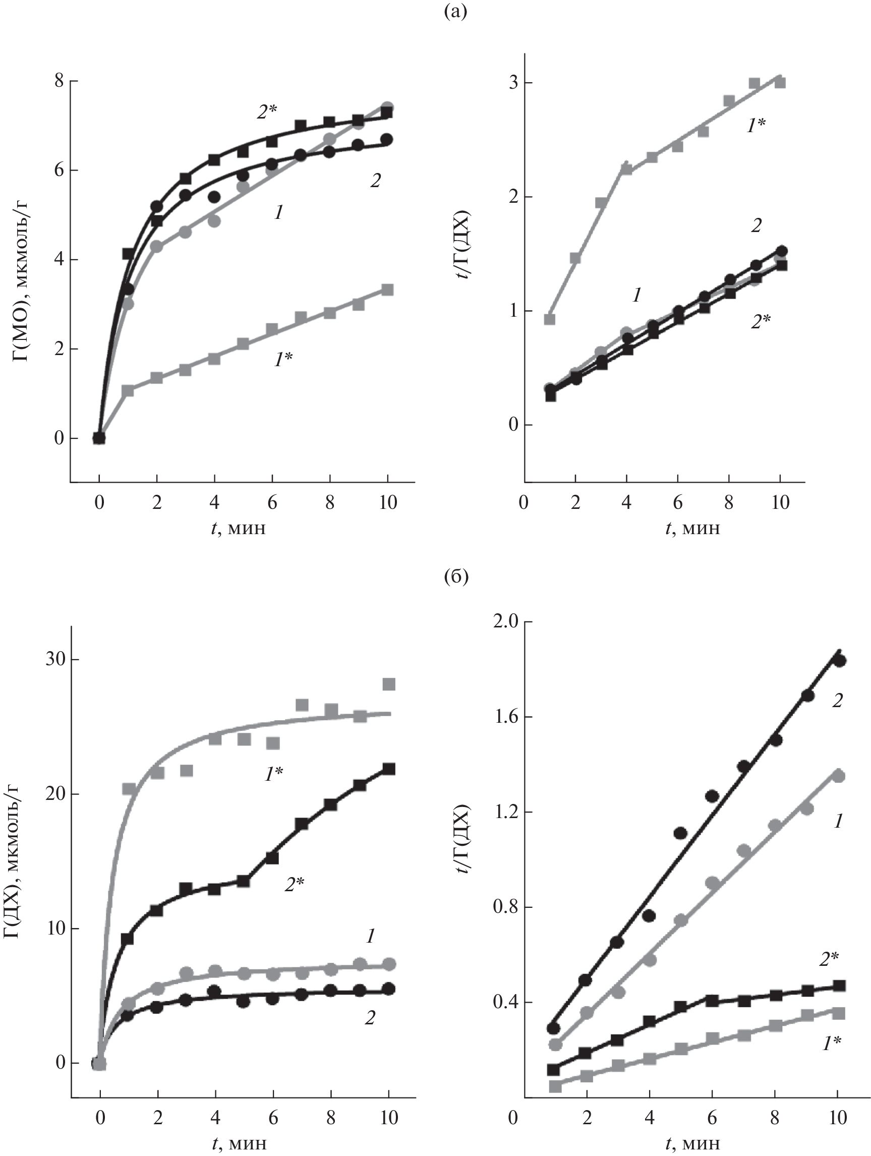
Results are presented of the study of sorption of anion-active dye and dichromate ions from aqueous solutions by powders of 35 mol % Al2O3–65%[ZrO2–3% Yb2O3] synthesized by the sol–gel method at 10°C in the presence of polyvinylpyrrolidone are presented. The obtained hydrogels were dried in the traditional way at 180°C and with microwave drying without calcination and with calcination at 500°C. The sorbents were characterized by TG/DSC, XRD, IR spectroscopy, and BET/BJH and tested under conditions of long-term and dynamic sorption. The calcined sample with microwave drying showed there to be an increased degree of extraction of test molecules and surface activity—the initial rate and limiting adsorption calculated from the model of the two-point form of substance adsorption.
About the authors
N. E. Vakhrushev
Baikov Institute of Metallurgy and Materials Science of the Russian Academy of Sciences, 119334, Moscow, Russia
Email: vakhrushevn@yandex.ru
Россия, 119334, Москва, Ленинский проспект, 49
I. I. Mikhalenko
Peoples’ Friendship University of Russia, 117198, Moscow, Russia
Email: mikhalenko_ii@pfur.ru
Россия, 117198, Москва, улица Миклухо-Маклая, 6
A. A. Il’icheva
Baikov Institute of Metallurgy and Materials Science of the Russian Academy of Sciences, 119334, Moscow, Russia
Email: mikhalenko_ii@pfur.ru
Россия, 119334, Москва, Ленинский проспект, 49
A. A. Konovalov
Baikov Institute of Metallurgy and Materials Science of the Russian Academy of Sciences, 119334, Moscow, Russia
Author for correspondence.
Email: mikhalenko_ii@pfur.ru
Россия, 119334, Москва, Ленинский проспект, 49
References
- Alagarsamy A., Chandrasekaran S., Manikandan A. // J. Molecular Structure. 2022. V. 1247. A. 131275.
- Меньщиков И.Е., Фомкин А.А., Цивадзе А.Ю., Школин А.В., Стриженов Е.М., Пулин А.Л. // Физикохимия поверхности и защита материалов. 2015. Т. 51. № 4. С. 345.
- Rana A., Qanungo K. // Materials Today: Proceedings. 2021. V. 47. P. 19.
- Shehzad K., Ahmad M., Xie C. et al. // J. Hazardous Materials. 2019. V. 373. P. 75−84.
- До М., Михаленко И.И. // Успехи в химии и химической технологии. 2014. Т. 28. № 9(158). С. 58−60.
- Jha R., Jha U., Dey R.K. et al. // Desalination and Water Treatment. 2015. V. 53. № 8. P. 2144−2157.
- Рутман Д.С., Торопов Ю.С., Плинер С.Ю. Высокоогнеупорные материалы из диоксида циркония М.: Металлургия, 1985. 136 с.
- Kulebyakina A.V., Borika M.A., KuritsynaI.E.et al. // J. Crystal Growth. 2020. V. 547. A. 125808.
- Sonal S., Mishra B.K. // Chemical Engineering J. 2021. V. 424. A. 130509.
- Hench L.L.,West J.K. // Chemical Reviews. 1990. V. 90. № 1. P. 33−72.
- Бакунов В.С., Беляков А.В., Лукин Е.С. и др. // Оксидная керамика: спекание и ползучесть М. РХТУ им. Д.И. Менделеева, 2007. 584 с.
- Мараракин М., Макаров Н., Вартанян М. // Успехи в химии и химической технологии.2017. Т. 31. № 3. С. 66–68.
- Presenda Á., Salvador M.D., Peñaranda-Foix F.L. et al. // Ceramics International. 2015. V. 41. P. 7125−7132.
- Zuo F., Badev A., Saunier S. et al. // J. European Ceramic Society. 2014. V. 34. P. 3103−3110.
- Zuo F., Carry C., Saunier S. et al. // J. American Ceramic Society. 2013. V. 96. P. 1732−1737.
- Janney M.A., Kimrey H.D // Materials Research Society symposia proceedings. 1990. V. 189. P. 215−227.
- Подзорова Л.И., Ильичева А.А., Михайлина Н.А и др. // Перспективные материалы. 2017. № 2. С. 27−33.
- Подзорова Л.И., Ильичева А.А., Кутузова В.Е. // Журн. неорганической химии. 2021. Т. 66. № 8. С. 1063−1069.
- Santos H., Ferreira J.A., Osiro D. et al. // Applied Surface Science. 2020. V. 531. P. 147206.
- Вольхин В.В., Жарныльская А.Л., Леонтьева Г.В. // Журн. неорганической химии. 2010. Т. 55. № 5. С. 723–728.
- Douven S., Paez C. A., Gommes C. J. // J. Colloid and Interface Science. 2015. № 448. P. 437–450.
Supplementary files







