Особенности сорбции ионов тяжелых металлов биополимерами полисахаридной и полиамидной природы
- Авторы: Никифорова Т.Е.1, Габрин В.А.1, Разговоров П.Б.2
-
Учреждения:
- Ивановский государственный химико-технологический университет
- Ярославский государственный технический университет
- Выпуск: Том 59, № 3 (2023)
- Страницы: 231-243
- Раздел: ФИЗИКО-ХИМИЧЕСКИЕ ПРОЦЕССЫ НА МЕЖФАЗНЫХ ГРАНИЦАХ
- URL: https://ogarev-online.ru/0044-1856/article/view/139695
- DOI: https://doi.org/10.31857/S0044185623700298
- EDN: https://elibrary.ru/SESARQ
- ID: 139695
Цитировать
Полный текст
Аннотация
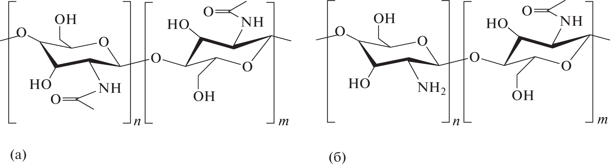
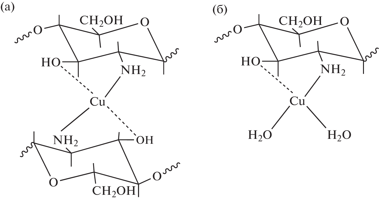
Представлены результаты исследований сорбционных свойств природных и модифицированных материалов полисахаридной и полиамидной природы и установлены физико-химические закономерности распределения d-металлов в гетерофазной системе “биополимер–водный раствор”. Экспериментальные изотермы сорбции обработаны в рамках моделей Ленгмюра, Фрейндлиха и Дубинина–Радушкевича. Кинетика сорбции наиболее корректно описывается моделью псевдо-второго порядка. Изучено влияние различных факторов, влияющих на эффективность процесс сорбции, таких как температура, скорость перемешивания и т.д. Установлено влияние рН среды на сорбцию ионов тяжелых металлов полисахаридными и полиамидными сорбентами. Выявлены закономерности процесса конкурентной сорбции катионов М2+/Н+ в кислой области рН с участием различных функциональных групп. Определены перспективы использования биосорбентов полисахаридной и полиамидной природы, модифицированных с применением новых методов, включая направленную модификацию свойств поверхности, в соответствии сo взаимосвязью “структура–сорбционная активность материала”.
Об авторах
Т. Е. Никифорова
Ивановский государственный химико-технологический университет
Email: tatianaenik@mail.ru
Россия, 153000, Иваново, Шереметевский просп., 7
В. А. Габрин
Ивановский государственный химико-технологический университет
Email: tatianaenik@mail.ru
Россия, 153000, Иваново, Шереметевский просп., 7
П. Б. Разговоров
Ярославский государственный технический университет
Автор, ответственный за переписку.
Email: tatianaenik@mail.ru
Россия, 150023, Ярославль, Московский просп., 88
Список литературы
- Vardhan K.H., Kumar P.S., Panda R.C. // J. Mol. Liq. 2019. V. 290. P. 111197.
- Jeevanantham S., Saravanan A., Hemavathy R.V. et al. // Environ. Technol. Innov. 2019. V. 13. P. 246–276.
- Duan C., Ma T., Wang J., Zhou Y. // J. Water. Process. Eng. 2020. V. 37. P. 101339.
- Naushad M., Lichtfouse E. (Eds.) Green Materials for Wastewater Treatment. Springer International Publishing. Cham. 2020.
- Joseph L., Jun B.-M., Flora J.R.V. et al. // Chemosphere 2019. V. 229. P. 142–159.
- Nikiforova T.E., Kozlov V.A., Telegin F.Y. // Materials Science & Engineering B – Advanced Functional Solid State Materials 2021. V. 263. P. 114778.
- Mishra A., Clark J.H. (Eds.) Green Materials for Sustainable Water Remediation and Treatment. Royal Society of Chemistry. Cambridge. 2013.
- Pap S., Kirk C., Bremner B. et al. // Water Res. 2020. V. 173. P. 115573.
- Khan T.A., Chaudhry S.A., Ali I. // J. Mol. Liq. 2015. V. 202. P. 165–175.
- Разговоров П.Б., Игнатьев А.А., Абрамов М.А., Нагорнов Р.С. // Умные композиты в строительстве. 2020. Т. 1. № 1. С. 10–26.
- Al-Asheh S., Aidan A. A Comprehensive Method of Ion Exchange Resins Regeneration and its Optimization for Water Treatment. IntechOpen. 2020. Book: Promising Techniques for Wastewater Treatment and Water Quality Assessment. Eds. Ahmed I., Summers J.K.
- Singh N., Gupta S.K. // Int. J. Innov. Res. Sci. Eng. Technol. 2016. V. 5(2). P. 2267–2281.
- Manjuladevi M., Anitha R., Manonmani S. // Appl. Water Sci. 2018. V. 8(1). P. 36.
- Hur J., Shin J., Yoo J., Seo Y.S. // Sci. World J. 2015. P. 1–11.
- De la Villa Mencia R.V., Goiti E., Ocejo M., Gimenez R.G. // Microp. Mesop. Mater. 2020. V. 293. P. 109817.
- Amphlett J.T.M, Choi S., Parry S.A. et al. // Chem. Eng. J. 2020. V. 392. P. 123712.
- Foster R.I., Amphlett J.T., Kim K.W. et al. // J. Ind. Eng. Chem. 2020. V. 81. P. 144–152.
- Hajiyeva S.R., Bahmanova F.N, Alirzaeva E.N. et al. // Uranium, Radiochemistry. 2018. V. 60(2). P. 195–200.
- Graillot A., Bouyer D., Monge S. et al. // J. Hazard. Mater. 2013. V. 244–245. P. 507–515.
- Page M.J., Soldenhoff K., Ogden M.D. // Hydrometallurgy. 2017. V. 169. P. 275–281.
- Vasudevan T., Pandey A.K., Das S., Pujari P.K. // Chem. Eng. J. 2014. V. 236. P. 9–16.
- Krishnan S., Zulkapli N.S., Kamyab H. et al. // Environmental Technology & Innovation. 2021. V. 22. P. 101525.
- Meretin R.N., Nikiforova T.E. // Chem Chem Tech [Izv. Vyssh. Uchebn. Zaved. Khim. Khim. Tekhnol.]. 2021. V. 64. № 11. P. 147–155.
- Kamari A., Yusoff S.N.M., Abdullah F., Putra W.P. // J. Environ. Chem. Eng. 2014. V. 2(4). P. 1912–1919.
- Zhang J., Fu H., Ly X. et al. // Biomass Bioenergy. 2011. V. 35 (1). P. 464–472.
- Quyen V., Pham T.-H., Kim J. // Chemosphere. 2021. V. 284. P. 131312.
- Fu F., Wang Q. // J. Environ. Manage. 2011. V. 92. P. 407–418.
- Li A., Lin R., Lin C. et al. // Carbohydr. Polym. 2016. V. 148. P. 272–280.
- Nikiforova T.E., Kozlov V.A. // Prot. Met. Phys. Chem. Surf. 2016. V. 52. № 3. 399–424,
- Hubbe M.A., Hasan S.H., Ducoste J.J. // Bio Resources. 2011. V. 6. № 2. 161–287.
- Nikiforova T.E., Kozlov V.A. // Prot. Met. Phys. Chem. Surf. 2012. V. 48. № 3. P. 310–314.
- Kozlov V.A., Nikiforova T.E., Loginova V.A., Koifman O.I. // J. Hazard. Mater. 2015. V. 299. P. 725–732.
- Kozlov V.A., Ivanov S.N., Koifman O.I. // J. Phys. Org. Chem. 2017. P. 3715.
- Ivanov S.N., Kozlov V.A., Koifman O.I. // J. Solut. Chem. 2021. V. 50. P. 630–651.
- Kozlov V.A., Nikiforova T.E. // Fibre Chemistry. 2019. V. 51. № 4. P. 250–253.
- Bhatnagar A., Sillanpaa M., Witek-Krowiak A. // Chem. Eng. J. 2015. V. 270. P. 244–271.
- Yadav S., Yadav A., Bagotia N. et al. // Water Process Engineering. 2021. V. 42. P. 102148.
- Chai W.S., Cheun J.Y., Kumar P.S. et al. // J. Cleaner Production. 2021. V. 296. P.126589.
- Nikiforova T.E., Kozlov V.A. // Prot. Met. Phys. Chem. Surf. 2012. V. 48. № 6. P. 620–626.
- Nurchi V.M., Crisponi G., Villaescusa I. // Coordination Chemistry Reviews. 2010. V. 254. P. 2181–2192.
- Beni A.A., Esmaeili A. // Environmental Technology & Innovation. 2020. V. 17. P. 100503.
- Agarwal A., Upadhyay U., Sreedhar I. et al. // J. Water Process Engineering. 2020. V. 38. P. 101602.
- Kozlov V.A., Nikiforova T.E., Islyaikin M.K., Koifman O.I. // Can. J. Chem. 2017. V. 95. P. 28–36.
- Losev N.V., Nikiforova T.E., Makarova L.I., Lipatova I.M. // Prot. Met. Phys. Chem. Surf. 2017. V. 53. № 5. P. 801–806.
- Nikiforova T.E., Kozlov V.A., Karaseva E.N. // Prot. Met. Phys. Chem. Surf. 2021. V. 57. №. 4. P. 680–686.
- Fufaeva V.A., Nikiforova T.E. // Prot. Met. Phys. Chem. Surf. 2022. V. 58. №. 2. P. 262–268.
- Kumar R., Sharma R.Kr., Singh A.P. // J. Mol. Liquids 2017. V. 232. P. 62–93.
- Agarwal A., Upadhyay U., Sreedhar I. et al. // J. Water Proc. Eng. 2020. V. 38. P. 101602.
- Ezeonuegbu B.A., Machido D.A., Whong C.M.Z. et al. // Biotechnology Reports. 2021. 30. P. e00614.
- Nikiforova T.E., Kozlov V.A. // Prot. Met. Phys. Chem. Surf. 2011. V. 47(1). P. 20–24.
- Ahmad R., Hasan I. // Groundw. Sustain. Dev. 2017. V. 5. P. 75–84.
- Dotto G.L., Campana-Filho S.P., Pinto L.A.A. (Eds) Frontiers in Biomaterials. V. 3. Chitosan Based Materials and its Applications. 2017. Bentham Science Publishers – Sharjah, UAE.
- Naushad M., Lichtfouse E. (Eds.) Green Materials for Wastewater Treatment, Springer International Publishing, Cham. 2020.
- Ahmed S., Ikram S. (Eds.) Chitosan Derivatives, Composites and Applications. 2017. Scrivener Publishing Wiley.
- Lucia L., Ayoub A. (Eds.) Polysaccharide-based Fibers and Composites. Chemical and Engineering Fundamentals and Industrial Applications. 2018. Springer International Publishing AG.
- Bautista-Banos S. Chitosan in the Preservation of Agricultural Commodities. 2016. Elsevier. Boston MA.
- Bai R., Zhang Y., Zhao Z. et al. // J. Ind. Eng. Chem. 2018. V. 59. P. 416–424.
- Kim S.-K. Chitin, Chitosan, Oligosaccharides and their Derivatives: Biological activities and applications. 2011. CRC Press. Taylor & Francis/Boca Raton.
- Vieira R.M., Vilela P.B., Becegato V.A., Paulino A.T. // J. Environ. Chem. Eng. 2018. V. 6. P. 2713–2723.
- Nagireddi S., Katiyar V., Uppaluri R. // Int. J. Biol. Macromol. 2017. V. 94. P. 72–84.
- Nikiforova T.E., Kozlov V.A., Islyaikin M.K. // Can. J. Chem. 2019. V. 97. P. 621–628.
- Jennings J.A., Bumgardner J.D. // Chitosan Based Biomaterials. V. 2. 2017.
- Salehi E., Daraei P., Shamsabadi A.A. // Carbohydr. Polym. 2016. V. 152. P. 419–432.
- Wang J., Chen C. // Bioresour. Technol. 2014. V. 160. P. 129–141.
- Gutha Y., Munagapati V.S. // Int. J. Biol. Macromol. 2016. V. 93. P. 408–417.
- Hussain M.S., Musharraf S.G., Bhanger M.I., Malik M.I. // Int. J. Biol. Macromol. 2020. V. 147. P. 643–652.
- Yu K., Ho J., McCandlish E. et al. // Colloids Surf. A. 2013. V. 425. P. 31–41.
- Guibal E. // Sep. Purif. Technol. 2004. V. 38. P. 43–74.
- Kuczajowska-Zadrożna M., Filipkowska U., Joźwiak T. // Environ. Chem. Eng. 2020. V. 8. P. 103878.
- Wang J., Zhuang S. // J. Cleaner Production. 2022. V. 355. P. 131825.
- Jennings J.A., Bumgardner J.D. (Eds.) Chitosan Based Biomaterials. 2017. V. 1. Fundamentals. Woodhead Publishing Series in Biomaterials. № 122.
- Tahira I., Aslam Z., Abbas A. // Int. J. Biol. Macromol. 2019. V. 136. P. 1209–1218.
- Saheed I.O., Oh W.D., Suah F.B.M. // J. Hazard. Mater. 2021. V. 408. P. 124889.
- Wang J., Zhuang S. // J. Cleaner Production. 2022. V. 355. P. 131825.
- Nunes Y.L., de Menezes F.L., de Sousa I.G. // Int. J. Biological Macromolecules 2021. V. 181. P. 1124–1170.
- Liang X., Mu M., Fan R. et al. // Carbohydrate Polymers. 2022. V. 290. P. 119452.
- Federer C., Kurpiers M., Bernkop-Schnurch A. // Biomacromolecules. 2021. V. 22(1). P. 24–56.
- Guo D.-M., An Q.-D., Xiao Z.-Y. et al. // Carbohydrate Polymers. 2018. V. 202. P. 306–314.
- Fatima B., Rathi G., Ahmad R., Chaudhry S.A. Composites: Types, Method of Preparation and Application as An Emerging Tool for, Environmental Remediation. 2019.
- Nikiforova T.E., Kozlov V.A., Telegin F.Y. // Materials Science & Engineering B – Advanced Functional Solid State Materials. 2021. V. 263. P. 114778.
- Dragan E.S., Dinu M.V. // React. Funct. Polym. 2020. V. 146. P. 104372.
- Khosa M.A., Ullah A.A. // J. Food Proc. Bev. 2013. V. 1(1). P. 1–8.
- Никифорова Т.Е., Козлов В.А., Сионихина А.Н. // Физикохимия поверхности и защита материалов. 2019. Т. 55. № 5. С. 496–506.
- Abd J.R. // J. Mater. Sci. 2015. V. 50. P. 5913–5943.
- Hanzlikova Z., Braniša J., Hybler P. // Chem. Pap. 2016. V. 70 (9). P. 1299–1308.
- Naik R., Wen G., Dharmaprakash M.S. et al. // J. Appl. Polym. Sci. Symp. 2010. V. 115. P. 1642–1650.
- Wen G., Naik R., Cookson P.G. et al. // Powder Technol. 2010. V. 197. P. 235–240.
- Zhang R., Wang A. // J. Cleaner Production. 2015. V. 87. P. 961.
- Hanzlíková Z., Braniša J., Jomová K. et al. // Separation and Purification Technology. 2018. V. 193. P. 345–350.
- Yin Z., Chen M., Hu S., Cheng H. // Desalin. Water Treat. 2015. V. 57. P. 17367–17376.
- Sekimoto Y., Okiharu T., Nakajima H. et al. // Environ. Sci. Pollut. Res. Int. 2013. V. 20. P. 6531–6538.
- Nikiforova T.E., Kozlov V.A., Islyaikin M.K. // J. Environ. Chem. Eng. 2019. V. 7(5). P. 103417.
- Шайхиев И.Г. // Вестник технологического университета. 2017. Т. 20. № 21. С. 139.





