The Effect of Chemical Modification of the Surface by Oxysilanes on Changes in the Structural and Phase States of Highly Porous Aluminum Oxyhydroxides at Annealing up to 1200°C
- Autores: Khodan A.N.1,2, Bykov A.V.3, Kiselev M.R.1
-
Afiliações:
- Frumkin Institute of Physical Chemistry and Electrochemistry, Russian Academy of Sciences, 199071, Moscow, Russia
- Derzhavin Tambov State University, 390000, Tambov, Russia
- Moscow State University, 119991, Moscow, Russia
- Edição: Volume 59, Nº 2 (2023)
- Páginas: 161-166
- Seção: НАНОРАЗМЕРНЫЕ И НАНОСТРУКТУРИРОВАННЫЕ МАТЕРИАЛЫ И ПОКРЫТИЯ
- URL: https://ogarev-online.ru/0044-1856/article/view/134344
- DOI: https://doi.org/10.31857/S0044185623700195
- EDN: https://elibrary.ru/SYSYRH
- ID: 134344
Citar
Texto integral
Resumo
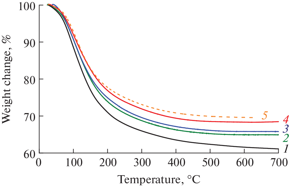
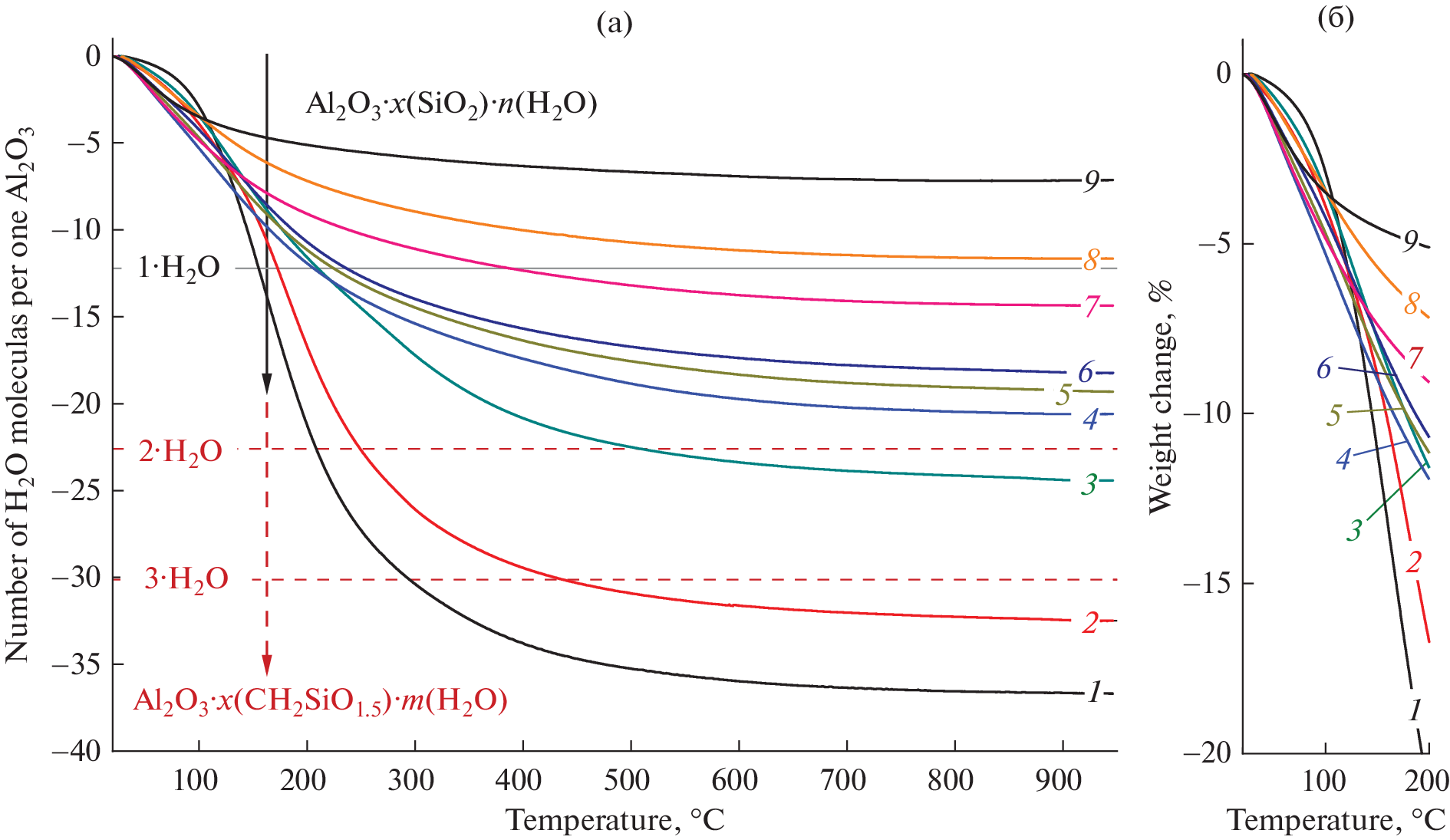
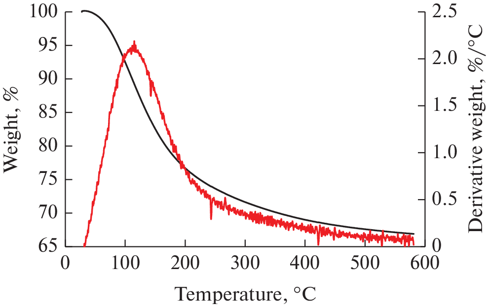
Changes in the composition and physicochemical properties of porous monolithic 3D nanostructures of aluminum oxyhydroxides (porous monolithic aluminum oxides, PMAO) chemically modified in methyltrimethoxysilane vapors have been studied by thermal-analysis methods. The conditions of formation and compositions of organosilicon compounds on the PMAO surface have been determined, a high degree of hydrolysis (91%) of the alkoxy groups of the modifier during chemisorption has been confirmed. The dependence of the composition of the porous nanocomposite structure (Al2O3–SiO2) on the conditions of chemical and thermal treatment has been investigated. General changes in the chemical composition of the nanocomposite when using different annealing times in the range from 100 to 1200°C has been described.
Sobre autores
A. Khodan
Frumkin Institute of Physical Chemistry and Electrochemistry, Russian Academy of Sciences, 199071, Moscow, Russia; Derzhavin Tambov State University, 390000, Tambov, Russia
Email: anatole.khodan@gmail.com
Россия, 199071, Москва, Ленинский пр., 31; Россия, 390000 , Тамбов, Интернациональная ул., 33
A. Bykov
Moscow State University, 119991, Moscow, Russia
Email: anatole.khodan@gmail.com
Россия, 119991, Москва, Ленинские горы, 1
M. Kiselev
Frumkin Institute of Physical Chemistry and Electrochemistry, Russian Academy of Sciences, 199071, Moscow, Russia
Autor responsável pela correspondência
Email: anatole.khodan@gmail.com
Россия, 199071, Москва, Ленинский пр., 31
Bibliografia
- Golovan L.A., Timoshenko V.Yu., Kashkarov P.K. // Physics Uspekhi. 2007. V. 50. № 6. P. 595–612.
- di Costanzo T., Fomkin A.A., Frappart C., Khodan A.N., Kuznetsov D.G., Mazerolles L., Michel D., Minaev A.A., Sinitsin V.A., Vignes J.-L. // Mater. Sci. Forum. 2004. V. 453–454. P. 315–322.
- Vignes J.-L., Frappart C., di Costanzo T., Rouchaud J.-C., Mazerolles L., Michel D. // J. Mater. Sci. 2008. V. 43. P. 1234–1240.
- Khodan A., Nguyen T.H.N., Esaulkov M., Kiselev M. R., Amamra M., Vignes J.-L. and Kanaev A. // J. Nanopart. Res. 2018. V. 20. P. 194–204.
- Karlash A.Yu., Skryshevsky V.A., Khodan A.N., Kanaev A.V., Gayvoronsky V.Ya. // J. Phys. D: Appl. Phys. 2012. V. 45. P. 365108.
- Khodan A.N., Kopitsa G.P., Yorov Kh.E., Baranchikov A.E., Ivanov V.K., Feoktystov A., Pipich V. // J. Surf. Invest.: X-Ray Synchrotron Neutron Tech. 2018. V. 12. № 2. P. 296–305.
- Martynov A.G., Bykov A.V., Gorbunova Yu.G., Khodan A.N., Tsivadze A.Yu // Prot. Met. Phys. Chem. Surf. 2018. V. 54. P. 185–191.
- Yorov Kh.E., Khodan A.N., Baranchikov A.E., Utochnikova V.V., Simonenko N.P., Beltiukov A.N., Petukhov D.I., Kanaev A., Ivanov V.K. // Microporous Mesoporous Mater. 2020. V. 293. P. 109804.
- Bouslama M., Amamra M.C., Jia Z., Ben Amar M., Chhor K., Brinza O., Abderrabba M., Vignes J.-L., Kanaev A. // ACS Catal. 2012. V. 2. P. 1884–1892.
- Bouslama M., Amamra M.C., Brinza O., Tieng S., Chhor K., Abderrabba M., Vignes J.-L., Kanaev A. // Appl. Catal. A-Gen. 2011. V. 402. № 1–2. P. 156–161.
- Mukhin V.I., Khodan A.N., Nazarov M.M., Shkurinov A.P. // Radiophysics and Quantum Electronics 2012 V. 54. № 8–9. P. 591–599.
- Khatim O., Nguyen T.H.N., Amamra M., Museur L., Khodan A.N., Kanaev A. // Acta Mater. 2014. V. 71. P. 108–116.
- Katsuki F., Saguchi A., Takahashi W., Watanabe J. // Jpn. J. Appl. Phys. Part 1. 2002. V. 41. P. 4919–4923.
- Inoue Y., Takai O. // Plasma Sources Sci. Technol. 1996. V. 5. P. 339–343.
- Blaine B.L., Hahn B.K. // J. Therm. Anal. Calorim. 1998. V. 54. P. 695–704.
Arquivos suplementares







