PHYSICAL MODEL OF ELECTRODE MATERIAL FOR HYBRID CAPACITORS
- Authors: SLEPTSOV V.V.1, GOFFMAN V.G.2, DITELEVA A.O.1, REVENOK T.V.3, DITELEVA E.O.1
-
Affiliations:
- Moscow Aviation Institute, Moscow, Russia
- Saratov State Technical University named after Yuri Gagarin, Saratov, Russia
- Moscow State University of Civil Engineering, Moscow, Russia
- Issue: Vol 59, No 2 (2023)
- Pages: 149-154
- Section: НАНОРАЗМЕРНЫЕ И НАНОСТРУКТУРИРОВАННЫЕ МАТЕРИАЛЫ И ПОКРЫТИЯ
- URL: https://ogarev-online.ru/0044-1856/article/view/134342
- DOI: https://doi.org/10.31857/S0044185623700171
- EDN: https://elibrary.ru/SYNCSI
- ID: 134342
Cite item
Full Text
Abstract
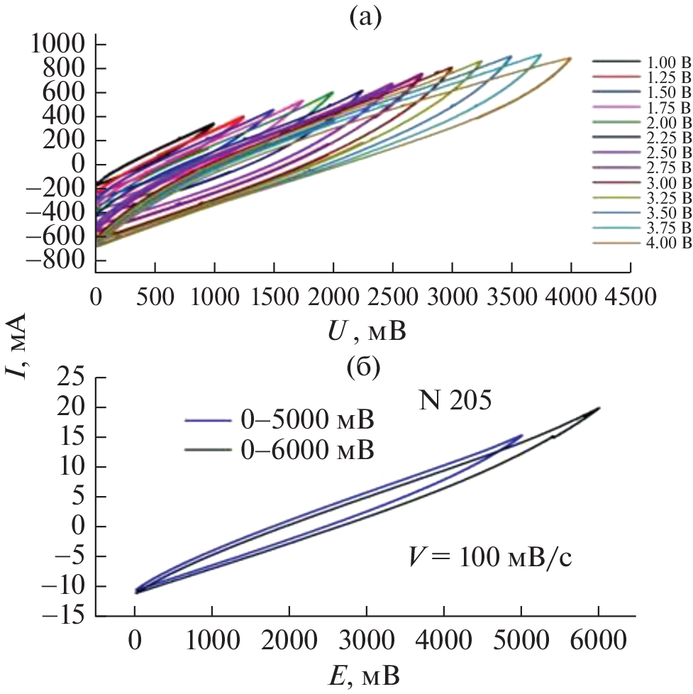
This paper presents a model of an electrode material for a hybrid capacitor and experimentally confirmed ways to improve cell parameters, such as increasing the energy intensity of the cell, increasing the operating voltage in cells with an aqueous electrolyte to 2.6 V, twice the decomposition potential of water, and reducing internal resistance. The technology of manufacturing electrode materials for hybrid capacitors is also given and its choice is justified.
About the authors
V. V. SLEPTSOV
Moscow Aviation Institute, Moscow, Russia
Email: anna.diteleva@mail.ru
Россия, 125993, Москва, Волоколамское шоссе, 4
V. G. GOFFMAN
Saratov State Technical University named after Yuri Gagarin, Saratov, Russia
Email: anna.diteleva@mail.ru
Россия, 410054, Саратов, ул. Политехническая, 77
A. O. DITELEVA
Moscow Aviation Institute, Moscow, Russia
Email: anna.diteleva@mail.ru
Россия, 125993, Москва, Волоколамское шоссе, 4
T. V. REVENOK
Moscow State University of Civil Engineering, Moscow, Russia
Email: anna.diteleva@mail.ru
Россия, 123337, Москва, Ярославское шоссе, 26
E. O. DITELEVA
Moscow Aviation Institute, Moscow, Russia
Author for correspondence.
Email: anna.diteleva@mail.ru
Россия, 125993, Москва, Волоколамское шоссе, 4
References
- Слепцов В.В., Зинин Ю.В., Дителева А.О. Перспективы развития мобильной энергетики” // Успехи в химии и химической технологии. 2019. Т. XXXIII. № 1. С. 28–30.
- Чжо Зо Лвин. Исследование и разработка элементов и систем накопления электрической энергии, интегрирующих два механизма накопления в двойном электрическом слое и за счет протекания химических процессов // Диссертация к.т.н. по специальности 05.27.06. МАИ. 2020.
- Кукушкин Д.Ю. Разработка физико-технических основ электроимпульсного метода синтеза наночастиц металлов и сплавов в жидкой диэлектрической среде // Диссертация к.т.н. по специальности 05.27.06. МАИ. 2019.
- Склезнев А.А. Анализ основных тенденций развития химических источников тока и других накопителей энергии // Отчет, шифр “ТОК”.
- Xiaoyang Deng, Jiajun Li, Liying Ma, Junwei Sha, Naiqin Zhao // Mater. Chem. Front. 2019. V. 3. P. 2221–2245.
- Taehoon Kim, Wentao Song, Yong So, Yabing Qi // J. Mater. Chem. A. 2019. V. 7. P. 292.
- Козьменкова А.Я. Положительные электроды литий-кислородных аккумуляторов на основе бинарных соединений титана // Диссертация к. т. н, МГУ им. М.В. Ломоносова. Москва. 2018.
- Wenxu Shang, Wentao Yu, Peng Tan, Bin Chen, Zhen Wu, Haoran Xud, Meng Ni // J. Mater. Chem. A. 2019. V. 7. P. 15564–15574.
- Miller J.R., Simon P. // Science. 2008. 321: 651–2.
- Андропов Л.И. Теоретическая электрохимия. Высшая школа. Москва. 1975. С. 302.
- Салем Р.Р. Физическая химия, начала теоретической электрохимии. КомКнига. Москва. 2010.
- Sleptsov V.V., Kozhitov L.V., Muratov D.G., Popkova A.V., Savkin A.V., Diteleva A.O., Kozlov A.P. // J. Physics Conference Series 1313 (26th International Conference on Vacuum Technique and Technology 18–20 June 2019, Saint Petersburg, Russian Federation). 2019.
- Varezhnikov A.S., Fedorov F.S., Burmistrov I.N., Plugin I.A., Sommer M., Lashkov A.V., Gorokhovsky A.V., Nasibulin A.G., Kuznetsov D.V., Gorshenkov M.V., Sysoev V.V. // Nanomaterials. 2017. V. 7. № 12. P. 455.
- Гоффман В.Г., Слепцов В.В., Гороховский А.В., Горшков Н.В., Ковынева Н.Н., Севрюгин А.В., Викулова М.А., Байняшев А.М., Макарова А.Д., Зо Лвин Ч. // Электрохимическая энергетика. 2020. Т. 20. № 1. С. 20–32.
Supplementary files












