Адсорбция хорошо растворимых органических соединений на диатомите
- Авторы: Убаськина Ю.А.1, Алехина М.Б.2
-
Учреждения:
- ФГБУ “Институт химических реактивов и особо чистых химических веществ Национального исследовательского центра “Курчатовский институт”
- ФГБОУ ВО “Российский химико-технологический университет имени Д.И. Менделеева”
- Выпуск: Том 59, № 2 (2023)
- Страницы: 122-127
- Раздел: ФИЗИКО-ХИМИЧЕСКИЕ ПРОЦЕССЫ НА МЕЖФАЗНЫХ ГРАНИЦАХ
- URL: https://ogarev-online.ru/0044-1856/article/view/134337
- DOI: https://doi.org/10.31857/S0044185623700134
- EDN: https://elibrary.ru/SYGYCE
- ID: 134337
Цитировать
Полный текст
Аннотация
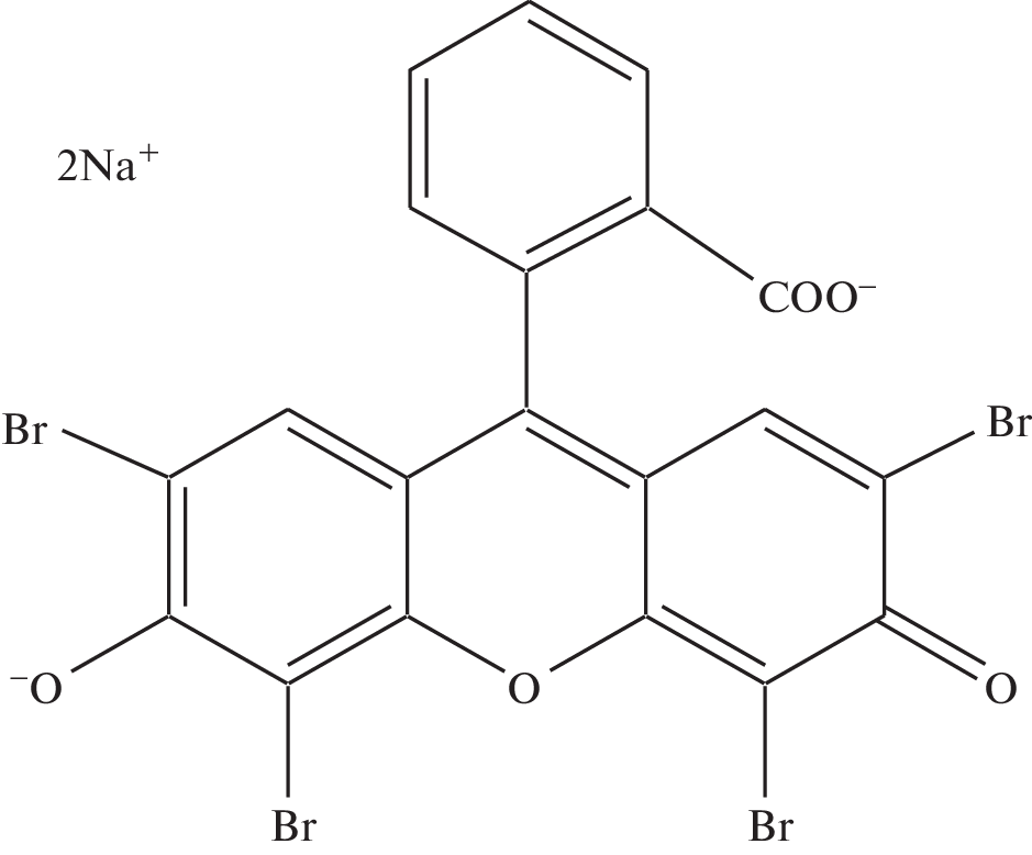
Изучены адсорбционно-структурные характеристики диатомита и поверхностная плотность заряда диатомита в диапазоне рН раствора 1–14. Обнаружено, что знак заряда поверхности диатомита меняется с положительного (в диапазоне рН 1–5.5) на отрицательный (в диапазоне рН 5.5–14) при рНТНЗ 5.5. Изучена адсорбция на диатомите хорошо растворимого в воде анионного органического соединения – эозина Н. Обнаружено, что при увеличении рН раствора и при уменьшении величины поверхностной плотности заряда диатомита адсорбция эозина Н на диатомите уменьшается. Предложен вероятный механизм адсорбции анионных органических соединений на диатомите.
Об авторах
Ю. А. Убаськина
ФГБУ “Институт химических реактивов и особо чистых химических веществ Национального исследовательского центра “Курчатовский институт”
Email: baseou@yandex.ru
Россия, 107076, Москва, Богородский Вал, 3
М. Б. Алехина
ФГБОУ ВО “Российский химико-технологический университет имени Д.И. Менделеева”
Автор, ответственный за переписку.
Email: mbalekhina@yandex.ru
Россия, 125047, Москва, Миусская пл., 9
Список литературы
- Кремнистые породы СССР / Отв. ред. Дистанов У.Г. Казань: Татарское кн. изд-во, 1976. 412 с.
- Шустина В.П. // Нефтяное хозяйство. 1937. № 1. С. 67–69.
- Грязев И.Н., Карякин В.Я. // Труды Саратовского автомобильно-дорожного института. 1957. № 15. С. 18–25.
- Ткаченко Т.В. О возможности применения природных сорбентов Дальнего Востока в масложировой промышленности. В сб. Природные сорбенты: [Материалы Сессии] / АН СССР. Науч. совет по синтезу, изучению и применению адсорбентов; [Отв. ред. проф. д-р хим. наук Быков В.Т.]. М.: Наука, 1967. С. 196–202.
- Дистанов У.Г. Сырьевая база кремнистых пород СССР и их использование в народном хозяйстве / Под редакцией Петрова В.П. М.: Недра, 1976. 104 с.
- Романова О.А., Бузаева М.В., Климов Е.С. // Успехи современного естествознания. 2009. №. 3. С. 52–52.
- Патент Молдовы № 3973. Datsko T., Zelentsov V., Dvornıkova E. Process for obtaining a sorbent on base of diatomite for purification from fluorine ions. Заявка: MD 20080000282, заявл. 24.11.2008. Опубл. 30.11.2009. 5 с.
- Дацко Т.Я., Зеленцов В.И., Дворникова Е.Е. // Электронная обработка материалов. 2011. Т. 47. № 6. С. 59–68.
- Стрыженок А.А. Совершенствование технологии адсорбционной рафинации растительных масел. Дис. … канд. техн. наук. Краснодар: КубГТУ, 2015. 144 с.
- Пономарев В.В. Технология адсорбентов для очистки растительных масел на основе диатомита и бентонита Ростовской области. Дис. … канд. техн. наук. Новочеркасск: ЮРГТУ (НПИ), 2010. 146 с.
- Baláž P., Gemeriova E. // Chemical Papers. 1980. V. 34. № 4. P. 473–479.
- Alyosef H.A., Ibrahim S., Welscher J. et al. // International J. Mineral Processing. 2014. V. 132. P. 17–25.
- Максатова А.М., Везенцев А.И., Михайлюкова М.О. и др. // Вестник современных исследований. 2017. № 7(1). С. 162–169.
- Бельчинская Л.И., Ходосова Н.А., Стрельникова О.Ю. и др. // Физикохимия поверхности и защита материалов. 2015. Т. 51. № 5. С. 487–487.
- Ходосова Н.А., Стрельникова О.Ю., Бельчинская Л.И. и др. // Научный вестник Воронежского государственного архитектурно-строительного университета. Серия: Физико-химические проблемы и высокие технологии строительного материаловедения. 2016. № 1. С. 34–41.
- Бельчинская Л.И., Бондаренко А.В., Козлов К.А. // Экология и промышленность России. 2007. № 03. С. 10–11.
- Пугачева С.В. Адсорбенты на основе диатомита и бентонита Ростовской области для регенерации нефтяных масел. Автореф. дис. … канд. техн. наук. Новочеркасск: ЮРГТУ (НПИ), 2002. 15 с.
- Природные сорбенты СССР / Под ред. Дистанова У.Г. М.: Недра, 1990. 208 с.
- Мдивнишвили О.М. Кристаллохимические основы регулирования свойств природных сорбентов. Тбилиси: Кавказский институт минерального сырья им. А.А. Твалчрелидзе, 1983. 268 с.
- Al-Ghouti M.A., Khraisheh M.A.M., Allen S.J. et al. // J. Environmental Management. 2003. V. 69. № 3. P. 229–238.
- Khraisheh M.A.M., Al-Ghouti M.A., Allen S.J. et al. // Water environment research. 2004. V. 76. № 7. P. 2655–2663.
- Erdem E., Çölgeçen G., Donat R. // J. Colloid and Interface Science. 2005. V. 282. № 2. P. 314–319.
- Al-Ghouti M., Khraisheh M.A.M., Ahmad M.N.M. et al. // J. Colloid and Interface Science. 2005. V. 287. № 1. P. 6–13.
- Shawabkeh R.A., Tutunji M.F. // Applied Clay Science. 2003. V. 24. № 1–2. P. 111–120.
- Al-Qodah Z., Lafi W.K., Al-Anber Z. et al. // Desalination. 2007. V. 217. №. 1–3. P. 212–224.
- Al-Ghouti M.A., Khraisheh M.A., Ahmad M.N. et al. // J. hazardous materials. 2009. V. 165. № 1–3. P. 589–598.
- Zhang J., Ping Q., Niu M. et al. // Applied Clay Science. 2013. V. 83. P. 12–16.
- Юрмазова Т.А., Шахова Н.Б., Хоанг Ч.Т. и др. // Известия Томского политехнического университета. Инжиниринг георесурсов. 2018. Т. 329. № 5. С. 125–134.
- Yu H., Fugetsu B.A. // J. Hazardous Materials. 2010. V. 177. № 1–3. P. 138–145.
- Меркушина К.В., Родионов А.И., Каменчук И.Н. и др. // Успехи в химии и химической технологии. 2008. Т. 22. № 13(93). С. 60–63.
- Balaska A., Meradi H., Hamouda A. et al. Study of the modification of the diatomite surface by chemical activation for a practical application // Conférence Internationale sur le Soudage, le CND et l’Industrie des Métaux, IC-WNDT-MI’10-Oran. 2010. P. 1–11.
- ГОСТ 30036.2-93. Каолин обогащенный. Метод определения показателя адсорбции. М.: Издательство стандартов, 1994. 7 с.
- Когановский А.М., Клименко Н.А., Левченко Т.М. и др. Адсорбция органических веществ из воды. Л.: Химия, 1990. 256 с.
- Убаськина Ю.А., Арсентьев И.В., Фетюхина Е.Г. Исследование минералогического состава диатомита для его безопасной добычи и применения в промышленности // Вестник Белгородского государственного технологического университета им. В.Г. Шухова. 2016. № 1. С. 128–132.
- Duc M., Gaboriaud F., Thomas F. Sensitivity of the acid–base properties of clays to the methods of preparation and Measurement: 1. Literature review // J. Colloid and interface science. 2005. V. 289. № 1. P. 139–147.
- Júnior J.A.A., Baldo J.B. // New J. Glass and Ceramics. 2014. V. 4. № 02. P. 29–37.
- Мчедлов-Петросян Н.О. // Вісник Харківського національного університету. 2004. № 626. Хімія. Вип. 11 (34). С. 221–312.
- Chatterjee S., Chatterjee S., Chatterjee B.P. et al. // J. colloid and interface science. 2005. V. 288. № 1. P. 30–35.
- Ugbe F.A., Ikudayisi V.A. // Waste Manag. 2017. V. 2. P. 5–11.
- Zhaolun W., Yuxiang Y., Xuping Q. et al. // Environmental Chemistry Letters. 2005. V. 3. № 1. P. 33–37.
- Badii K., Ardejani F.D., Saberi M.A. et al. Adsorption of Acid blue 25 dye on diatomite in aqueous solutions // Indian J.Chemical Technology. 2010. V. 17. P. 7–16.
Дополнительные файлы






