On the classical approach to describing the diffusion of cosmic rays in a turbulent medium
- Authors: Uchaikin V.V.1, Kozhemyakin I.I.1, Litvinov V.A.2
-
Affiliations:
- Ulyanovsk State University
- Barnaul Law Institute of the Ministry of Internal Affairs of Russia
- Issue: Vol 87, No 2 (2024)
- Pages: 96-101
- Section: ЭЛЕМЕНТАРНЫЕ ЧАСТИЦЫ И ПОЛЯ. Теория
- URL: https://ogarev-online.ru/0044-0027/article/view/265625
- DOI: https://doi.org/10.31857/S0044002724020053
- EDN: https://elibrary.ru/KRFFUS
- ID: 265625
Cite item
Full Text
Abstract
The inhomogeneous structure of the interstellar medium (ISM) is characterized by largescale fluctuations that significantly affect the cosmic ray propagation process. Accounting for this influence can not only lead to adjustments in the diffusion process parameters but even to pass from differential operators to integral ones. The most crucial characteristics of a turbulent medium is its power spectrum. Including appropriate approximations of this spectrum allows us to consider this problem in the framework of the traditional diffusion approach [1, 2]. This article explores the analytical representations of this spectrum applied in the cosmic ray transfer theory, including the four-parameter Uchaikin—Zolotarev approximation, derived from the generalized Ornstein—Zernike equation. Testing of the latter revealed that, with carefully chosen parameters, it accurately replicates numerical modeling results both in the inertial interval and beyond. Therefore, it can be effectively employed in addressing cosmic ray transfer issues within a turbulent interstellar medium.
Full Text
1. ВВЕДЕНИЕ
Турбулентность межзвездной среды (МЗС) играет важную роль в механизмах генерации космических лучей, синхротронного излучения, формирования химического состава, особенностей в энергетическом распределении и других важнейших аспектах физики космических лучей. В то же время наблюдение этих эффектов приносит информацию о структуре и свойствах самой МЗС. Так, энергетическая зависимость отношения вторичных ядер к первичным используется для оценки способности галактических магнитных полей удерживать заряженные частицы. В [3] указывается, что наблюдаемое отношение отвечает степенной (R–0.6) зависимости пробега заряженных частиц от их магнитной жесткости R [4]. Такая зависимость означает, что частицы высокой энергии проходят до выхода из Галактики меньший путь, чем частицы низких энергий. Она также означает, что ускорение частиц происходит раньше, чем они начинают распространяться. В противном случае это отношение было бы постоянным или даже росло бы с увеличением энергии. Однако это не может продолжаться до энергий выше 1015 эВ ввиду противоречия данным по анизотропии [5]. Несколькими годами ранее авторы работы [6] заметили, что степенной характер этой зависимости может быть связан с аналогичной формой Колмогоровского спектра МГД-волн. В реальности топология магнитного поля МЗС гораздо сложнее, чем просто чистое стохастическое море со связанной с ним диффузией силовых линий. С другой стороны, линии поля могут также перемещаться быстрее, чем предполагает обычная (нормальная) диффузия. В конечном счете, крупномасштабная динамика линий поля является результатом конкуренции между “залипанием” на силовых линиях и “перелетами” между ними, приводящей к различным режимам блужданий, начиная от медленной субдиффузии (почти идеальное прилипание) до быстрой супердиффузии (доминирование длинных скачков). Так объясняется в [7] представление траекторий в виде ломаных случайных линий, составленных из изотропно распределенных по направлениям и степенным образом по длине прямолинейных отрезков. Позднее эта модель нашла свое развитие в работах группы В.В. Учайкина [8, 9] и в позитивном плане изложена Л.И. Дорманом в его монографии [10].
Аналитическое представление этой модели дается в терминах нелокальных операторов — лапласианов в дробной степени. Результаты расчетов по этой модели не противоречат наблюдаемым данным, а по некоторым эффектам (излом в энергетическом спектре, повышенная анизотропия) неплохо с ними согласуются. Альтернативой этой модели остается учет турбулентного характера МЗС в рамках классической диффузионной теории [1, 2].
2. СПЕКТРЫ МОЩНОСТИ МЗС В РАСЧЕТАХ КЛ
Важнейшим инструментом учета турбулентности является введение в уравнения переноса космических лучей спектра мощности турбулентных пульсаций P(k), описывающего ее распределение по волновым числам k. В работе [2], посвященной анализу ускорения космических лучей, турбулентность МЗС представлена гауссовой формой спектральной функции S(k) с характеристической длиной L:
и там же апробирована для этих целей степенная форма спектра
ограниченная инерционным диапазоном волновых чисел. В конечном итоге эти спектры вошли в диффузионные коэффициенты D и K уравнения для усредненной по турбулентным пульсациям плотности распределения в координатно-импульсном фазовом пространстве (см. уравнение (9) цитируемой работы):
(1)
Для акустических волн В. Птускин приводит следующие формулы:
(2)
(3)
где D0 — затравочный (в отсутствие турбулентности) коэффициент диффузии, а vs — скорость звука. Второе слагаемое в квадратных скобках уравнения (2) дает вклад в коэффициент диффузии заряженных частиц слабых акустических волн со случайными амплитудами. Структура же уравнения (1) осталась неизменной. Это можно было бы считать первым приближением теории возмущений, если бы влияние погрешности аппроксимации используемых спектров было бы соизмеримым с погрешностью этого приближения теории вычислений.
Авторы статьи [6] процедуру включения в вычислительный процесс турбулентных характеристик среды осуществляют более педантично, пользуясь методикой, изложенной в статье [11]. Единичный вектор еδВ турбулентной составляющей δB магнитостатического поля B они представляют в следующем виде:
где ε — поправочный множитель; — вектор поляризации; ζn — случайная фаза. Суммирование ведется по Nm логарифмически распределенным безразмерным волновым числам k = ktr L0, L0 ≈ 0.03 а. е., так что δkn / kn = const, а сам спектр мощности P(k) взят (со ссылкой на [12]) в виде
Здесь s = 5/3 соответствует колмогоровскому инерционному интервалу и q > –1. При s = 3/2 эта формула воспроизводит спектр Крайчнана (1965), при q = 0 она дает аппроксимацию, предложенную в [13] (постоянную в области k‖lslab, а при q < 0 и q > 0 соответственно убывающую и возрастающую ветви спектра).
3. ТУРБУЛЕНТНОСТЬ И МЕЗОФРАКТАЛЬНОСТЬ
Колмогоровская феноменология турбулентности с ее автомодельными степенными законами [14] была прообразом фрактальной концепции Мандельброта [15], ставшей необычайно популярной в конце минувшего века. Ее особенностью является отсутствие характеристического масштаба: в каких бы единицах не измерялось расстояние, степенной закон остается степенным. Если добавить к этому, что физические процессы во фрактальной среде естественно описывать в терминах дробно-дифференциального исчисления (собственные функции таких операторов как раз и являются степенными), возникнет некий барьер между альтернативами: невозможно перейти к однородной среде, оставаясь в рамках фрактальной концепции (фрактальная размерность Df системы в d-мерном пространстве ограничена неравенством Df < d).
Такая мезофрактальная модель была развита в монографии [16] и применительно к крупномасштабной структуре Вселенной продемонстрирована в статье [17], где и был введен термин мезофрактальность (не путать с мультифрактальностью, характеризуемой множеством фрактальных размерностей) [1]. Статистическое обоснование этой модели дается в работах [18–20]. Ее основой может считаться обобщенное уравнение Орнштейна—Цернике, записанное теперь не для межмолекулярных, а для межоблачных взаимодействий, тоже рассматриваемых в терминах столкновений (как это сделано в [21]).
Межзвездные магнитные поля характеризуются далекими корреляциями обратностепенного типа. Моделирование таких полей на основе уравнения Орнштейна—Цернике требует такого же распределения и для прямых корреляций (ближайших соседей). Подходящей плотностью обладают изотропные распределения Леви—Фельдгейма, характеристические функции которых имеют вид e–(bk)α, где α (0, 2] — характеристический показатель, а b — масштабный параметр длины.
Если в качестве начальных узлов марковских траекторий принять однородное пуассоновское распределение бесконечного множества точек, то совокупность всех узлов всего множества независимых траекторий даст статистически однородное статистически трехмерное поле случайных точек со спектром мощности Учайкина—Золотарева:
0 < c < 1, 0 < α ≤ 2, (4)
где A — нормировочный множитель; показатель α вместе с постоянной c определяет асимптотику далеких корреляций облачной структуры МЗС; b — масштаб, характеризующий случайное расстояние между магнитными облаками. Неравенство c < 1 исключает бесконечные траектории, ансамбль которых привел бы к расходимости средней концентрации узлов.
Представляя множество межзвездных облаков ансамблем узлов (т. е. точек), коррелированных внутри каждой из независимых траекторий марковской цепи, мы, конечно, упрощаем реальную картину, однако этот прием довольно популярен в моделировании облачной структуры МЗС [21, 22] крупномасштабной структуры Вселенной [23] и турбулентности как таковой [24].
Заметим, что для получения из [6] колмогоровского степенного спектра (монофрактала, в мультифрактальной терминологии) достаточно взять c = 1 и малые k (т. е. большие расстояния).
4. РЕЗУЛЬТАТЫ УЗ-АППРОКСИМАЦИИ MГД-РАСЧЕТОВ
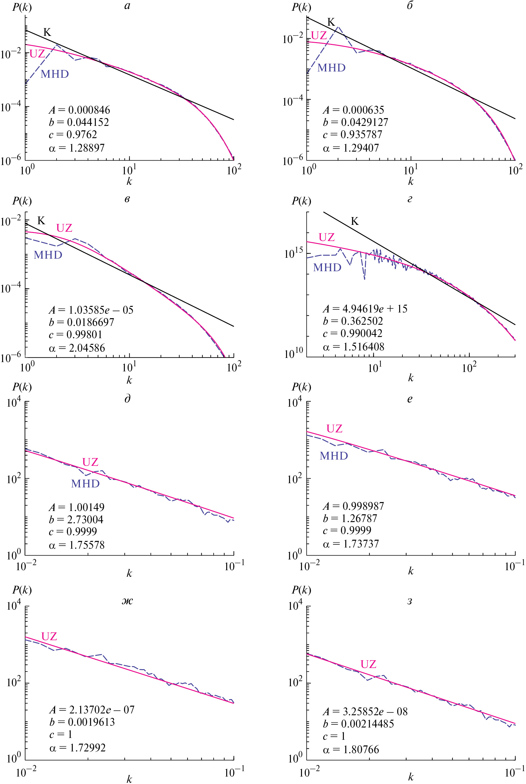
Принято считать [25], что численные МГД-эксперименты подтверждают колмогоровский характер МЗС-турбулентности, хотя речь, конечно, может идти лишь об инерционном интервале. В [28] разложение различных мод в МГД-турбулентности на самом деле показывает, что, хотя альфвеновские и медленные режимы ведут себя как колмогоровские турбулентности и анизотропны, быстрые моды изотропны и подчиняются иной статистике. Результаты аппроксимации спектра мощности УЗ колмогоровской турбулентности из [25] показаны на рис. 1, а—в. Неровности в левых частях (для малых k) на этих рисунках объясняются искажением данных при пикселизации исходных данных.
Рис. 1. (а–з) УЗ-аппроксимации спектров мощности турбулентных флуктуаций скорости в четырех различных режимах, численно моделированных в [25–27]. Штриховые кривые представляют результаты моделирования, сплошные — их аппроксимации формулой (4). Наклонные прямые соответствуют чисто степенным спектрам.
В статье [26] исследуется распространение сильных ударных волн в двухфазной среде с использованием схемы Годунова второго порядка для решения уравнений МГД. Уравнения индукции решаются с использованием согласованного метода характеристик и алгоритма условного переноса. Для процессов охлаждения или нагрева и теплопроводности используется явное интегрирование по времени второго порядка. Результаты аппроксимации этой модели показаны на рис. 1, г. Высокий уровень флуктуаций при малых k, аналогичный подобному на рис. 1, а—в, может сильно влиять на параметры аппроксимации, однако при больших k согласование моделируемого спектра мощности и аппроксимированного спектра мощности УЗ лучше, особенно по сравнению со спектром мощности Колмогорова.
В статье [27] предлагается алгоритм моделирования пространственных флуктуаций интенсивности в МЗС с использованием модели дробного броуновского движения и ее модифицированной (экспоненциальной) версии пространственных флуктуаций интенсивности, которые по своему замыслу могут воспроизвести безмасштабную природу измеряемых структур с точки зрения спектра мощности Фурье. Моделирование проводится с использованием обратного преобразования Фурье случайных значений фазы, умноженных на степенной закон для квадрата модуля комплексных чисел. Для степенного закона ~ –3.0 функция распределения модели дробного броуновского движения приблизительно гауссова. Результаты аппроксимации спектром УЗ представлены на рис. 1, д—е. Эти аппроксимации показывают, что спектр мощности, близкий к спектру мощности Колмогорова, также аппроксимируется, но только в ограниченном диапазоне.
5. ВЫВОДЫ
Данные, представленные на рис. 1, позволяют сделать два вывода, связанные с параметром с. Во-первых, для спектров, изображенных на рис. 1, а—г, видны сильные флуктуации данных для малых k, которые, предположительно, связаны с пикселизацией входных данных; для этих случаев параметр с позволяет оценить наличие этого входного условия, однако для выводов по оценке влияния этого фактора требуются дополнительные исследования. Во-вторых, для спектров, показанных на рис. 1, д–е, близких к колмогоровскому спектру, значение с → 1. Более того, если опустить предыдущее ограничение и допустить значение с = 1, можно получить аппроксимацию, представленную на рис. 1, ж–з. Интересно отметить, что в этом случае параметр α становится приблизительно равным показателю колмогоровского спектра (см. [27, табл. 1]).
Что касается итога работы в целом, можно отметить следующее. Поскольку выражение (4) выведено не из динамических соображений, а скорее из феноменологических с использованием гидродинамических аналогий (ОЦ-уравнение), важно было убедиться в том, что 4-параметрическая форма (4) является достаточно гибкой, чтобы хорошо воспроизводить типичные особенности таких спектров. В качестве реперных спектров, как и в предыдущей нашей работе, были выбраны результаты численных расчетов по МГД-кодам [28, 29]. Сравнение показало, что УЗ-аппроксимация хорошо представляет результаты численных МГД-расчетов и может быть успешно использована в рамках классической теории, турбулентной для (2) и (3), вместо приближенных формул S(k).
Однако значение самого факта согласованности формы (4) с результатами надежных численных расчетов важнее, чем просто удачная аппроксимация результатов хороших расчетов, позволяющая использовать их в расчетах уже другого процесса: прохождения космических лучей через эту среду. Напомним, что спектральная функция является Фурье-образом двухчастичной корреляционной функции, содержащей довольно ограниченный объем информации о структуре случайной среды. В то же время сама форма (4) позволяет интерпретировать установленные в численных экспериментах параметры в терминах марковских цепей, и набор этих четырех чисел полностью определяет статистический ансамбль всех реализаций этой модели. Выбор конкретной из них является рутинной задачей статистического моделирования, алгоритмы для моделирования переходов от одного узла к другому приведены в [20]. Это моделирование открывает возможность решения многих задач, например, найдены распределение случайного числа соседей объекта, вероятность образования полости (войда, пузыря) данных размеров, сгущений частиц (кластеров), а если иметь в виду применение метода Монте-Карло, то можно вычислить вероятностные характеристики любого измеримого функционала, имея в своем распоряжении четыре параметра: α, A, b и с.
Работа выполнена при поддержке Российского научного фонда (грант № 23-79-30017) и Минобрнауки РФ (грант № 075-15-2021-581).
1 В этом смысле мезофрактал можно считать мультифракталом, спектр которого состоит из двух точек Df = α < 2 и Df = 3.
About the authors
Vladimir V. Uchaikin
Ulyanovsk State University
Author for correspondence.
Email: vuchaikin@gmail.com
Department of Theoretical Physics
Russian Federation, UlyanovskIlya I. Kozhemyakin
Ulyanovsk State University
Email: kozhilya@gmail.com
Department of Theoretical Physics
Russian Federation, UlyanovskVladimir A. Litvinov
Barnaul Law Institute of the Ministry of Internal Affairs of Russia
Email: vuchaikin@gmail.com
Russian Federation, Barnaul
References
- А. Быков, И. Топтыгин, ЖЭТФ 70, 194 (1990).
- V. S. Ptuskin, Sov. Astron. Lett. 14, 255 (1988); https://ui.adsabs.harvard. edu/abs/1988SvAL…14..255P
- P. Reichherzer, L. Merten, J. Dörner, J. Becker Tjus, M. J. Pueschel, and E. G. Zweibel, SN Appl. Sci. 4, 15 (2022); https://link.springer.com/10.1007/ s42452-021-04891-z
- В. Зацепин, А. Панов, Н. Сокольская, Дж. Адамс мл., Х. Ан, Г. Башинджагян, Дж. Ваттс, Дж. Вефель, Дж. Ву, Т. Гузик, И. Изберт, К. Ким, М. Кристл, Е. Кузнецов, М. Панасюк, Э. Сио, Дж. Чанг, А. Фазели, Письма в Астрон. журн. 35, 377 (2009).
- A. Erlykin and A. Wolfendale, Astropart. Phys. 25, 183 (2006); https:// linkinghub.elsevier.com/retrieve/pii/S0927650506000041
- E. S. Seo and V. S. Ptuskin, Astrophys. J. 431, 705 (1994); http://adsabs. harvard.edu/doi/10.1086/174520
- B. R. Ragot and J. G. Kirk, Astron. Astrophys. 327, 432 (1997); https://ui. adsabs.harvard.edu/abs/1997A&A…327..432R
- В. В. Учайкин, УФН 183, 1175 (2013); http://ufn.ru/ru/articles/2013/11/ b/
- В. В. Учайкин, А. Д. Ерлыкин, Р. Т. Сибатов, УФН 193, 233 (2023); https: //ufn.ru/ru/articles/2023/3/a/
- L. I. Dorman, Cosmic Rays in the Earth’s Atmosphere and Underground (Kluwer Academ. Publ., Dordrecht; Boston, 2004).
- R. C. Tautz and A. Dosch, Phys. Plasmas 20, 022302 (2013); https://doi.org/ 10.1063%2F1.4789861
- J. Giacalone and J. R. Jokipii, Astrophys. J. 520, 204 (1999); https:// iopscience.iop.org/article/10.1086/307452
- A. Shalchi and B. Weinhorst, Adv. Space Res. 43, 1429 (2009); https:// linkinghub.elsevier.com/retrieve/pii/S0273117709000052
- А. С. Монин, А. М. Яглом, Статистическая гидромеханика. Механика турбулентности (Наука, Москва, 1967).
- B. B. Mandelbrot, The Fractal Geometry of Nature (W. H. Freeman, San Francisco, 1982).
- V. V. Uchaikin and V. M. Zolotarev, Chance and Stability: Stable Distributions and their Applications (Walter de Gruyter, 1999).
- V. V. Uchaikin, Gen. Relativ. Grav. 36, 1689 (2004).
- В. В. Учайкин, Итоги науки и техн. Сер. Соврем. мат. и ее прил. Темат. обз. 220, 125 (2023); https://doi.org/10.36535/0233-6723-2023-220-125-144
- В. В. Учайкин, Итоги науки и техн. Сер. Соврем. мат. и ее прил. Темат. обз. 221, 128 (2023); https://doi.org/10.36535/0233-6723-2023-221-128-147
- В. В. Учайкин, Итоги науки и техн. Сер. Соврем. мат. и ее прил. Темат. обз. 222, 115 (2023); https://doi.org/10.36535/0233-6723-2023-222-115-133
- T. Nozakura, Mon. Not. Roy. Astron. Soc. 243, 543 (1990).
- S. Buonocore and M. Sen, AIP Advanc. 11, 055221 (2021); https://doi.org/ 10.1063/5.0049401
- P. Peebles, The Large-scale Structure of the Universe, Princeton Series in Physics (Princeton University Press, 1980); https://press.princeton.edu/books/ paperback/9780691209838/the-large-scale-structure-of-the-universe
- L. Brandt and F. Coletti, Ann. Rev. Fluid Mech. 54, 159 (2022).
- D. Falceta-Gongalves, G. Kowal, E. Falgarone, and A. C.-L. Chian, Nonlin. Proc. Geophys. 21, 587 (2014); https://npg.copernicus.org/articles/21/587/ 2014/
- T. Inoue, R. Yamazaki, and S.-I. Inutsuka, Astrophys. J. 695, 825 (2009); https: //iopscience.iop.org/article/10.1088/0004-637X/695/2/825
- J.-F. Robitaille, A. Abdeldayem, I. Joncour, E. Moraux, F. Motte, P. Lesaffre, and A. Khalil, Astron. Astrophys. 641, A138 (2020); https://www.aanda.org/10.1051/ 0004-6361/201937085
- J. Cho and A. Lazarian, Mon. Not. Roy. Astron. Soc. 345, 325 (2003); https: //academic.oup.com/mnras/article/345/1/325/984760
- B. Burkhart, A. Lazarian, V. Ossenkopf, and J. Stutzki, Astrophys. J. 771, 123 (2013); https://iopscience.iop.org/article/10.1088/0004-637X/771/2/123
Supplementary files



