Характерные черты сезонного распределения демерсальных рыб на тихоокеанском шельфе северных Курильских островов
- Authors: Ким С.1
-
Affiliations:
- Сахалинский филиал Всероссийского научно-исследовательского института рыбного хозяйства и океанографии
- Issue: Vol 64, No 2 (2024)
- Pages: 169-198
- Section: Articles
- URL: https://ogarev-online.ru/0042-8752/article/view/258818
- DOI: https://doi.org/10.31857/S0042875224020039
- EDN: https://elibrary.ru/GYDZLT
- ID: 258818
Cite item
Full Text
Abstract
Рассмотрен характер сезонных циклов изменений внутригодового распределения рыб в тихоокеанских водах у северных Курильских островов и оценены вероятные причины, их вызывающие. Субарктическая структура водных масс вдоль тихоокеанского побережья Северо-Курильских островов в значительной мере определяет консервативность вертикальной (батиметрической) структурированности сезонных скоплений рыб. Динамичность потоков течений в приостровной области с большим количеством проливов приводит к существенной изменчивости местоположения скоплений рыб во вдольбереговом направлении в межгодовом и сезонном аспектах. В осенне-зимний период года с похолоданием ядро общей ихтиомассы перемещается в направлении верхнего склона Юго-Восточной Камчатки и южного выступа склона у острова Парамушир. В весенне-летний период с потеплением происходит динамичное смещение рыб вдоль склона на юг, с выходом на меньшие глубины в зону шельфа. В это время рыбы распределяются вдоль всего тихоокеанского побережья Северо-Курильских островов, образуя отдельные скопления на шельфе и верхних участках склона у островов Парамушир и Онекотан, а также на склонах Четвёртого Курильского пролива и подводных гайотов у вышеуказанных островов. Батиметрический диапазон обитания рыб в целом изменяется со 100–450 м в холодный период года до 50–250 м в тёплый нагульный период.
Full Text
Тихоокеанские воды у северных Курильских островов исследуют уже длительное время, они являются важной промысловой зоной, выделяющейся в дальневосточном регионе широким разнообразием видовой структуры объектов рыболовства и высоким среди них уровнем запасов массовых и ценных видов (Биологические ресурсы …, 1986; Антонов, 1991; Орлов, 1998, 2004, 2010). Начиная с конца 1980-х гг. в указанном районе проводили периодические, с охватом всей доступной акватории, учётные траловые съёмки, результаты которых дали возможность оценить общие черты сезонного распределения рыб, определяемые их годовым жизненным циклом и чётко выраженной сезонностью термического режима вод в условиях бореальной зоны Северной Пацифики. Эта информация существенно важна при изучении особенностей динамики запасов в течение года, периодических изменений пространственной структуры ресурсов и внутригодового характера их промыслового освоения.
Общая гидрологическая ситуация в районе северных Курильских о-вов определяется Восточно-Камчатским (Камчатским) течением, а субарктическая структура водных масс, характеризующаяся наличием холодного и тёплого промежуточного слоёв воды, определяет общее распределение морских гидробионтов (Гидрометеорология …, 1998; Тепнин, 2022). Взаимодействие Восточно-Камчатского течения с неоднородностями рельефа дна и береговой черты является причиной формирования его характерной вихревой структуры (Храпченков, 1989; Вакульская и др., 2019). Наряду с существующим мнением о том, что Северо-Курильские проливы являются основной зоной притока тихоокеанских вод в Охотское море, есть убедительная информация о двухсторонних схемах циркуляции вод в проливах (Супранович, 1969; Гидрометеорология …, 1998; Богданов, Мороз, 2000). Так, в Четвёртом Курильском проливе у побережья о-ва Парамушир происходит заток тихоокеанских вод, а у о-ва Онекотан – сток охотоморских вод, при этом наблюдается своеобразная антициклоническая циркуляция вод вокруг отдельных островов, которая отмечена и в южных проливах Курильской гряды (Власова, Деменок, 2013).
Рельеф морского дна в тихоокеанской зоне Северо-Курильского района имеет ряд характерных особенностей, оказывающих определяющее влия- ние на пространственное распределение рыб. К их числу относятся: 1) расширенная до изобаты 200 м зона шельфа у самого крупного острова (Парамушир) северной части Курильской гряды, являющаяся продолжением материкового шельфа Юго-Восточной Камчатки; 2) выдающееся в открытую часть океана к югу от о-ва Парамушир подводное плато с глубинами 100–200 м, окружённое резким свалом глубин; 3) подобное же, но более крупное плато юго-восточнее о-ва Онекотан, которое обычно слабо охватывается траловыми учётными съёмками ввиду неподходящего рельефа дна и типа грунтов; 4) разделение зоны шельфа у о-вов Онекотан и Парамушир глубоководным Четвёртым Курильским проливом. Зона свала глубин у отмеченных подводных возвышенностей известна крупными скоплениями северного однопёрого терпуга Pleurogrammus monopterygius, разных видов морских окуней pода Sebastes, шипощёков рода Sebastolobus, минтая Gadus chalcogrammus и других рыб, эксплуатируемых специализированными промысловыми судами (Дудник и др., 1995; Дудник, 2000; Тарасюк и др., 2000; Ким, 2019). Зона островного шельфа служит местом интенсивного промысла минтая, трески G. macrocephalus, северной двухлинейной камбалы Lepidopsetta polyxystra и других относимых к прилову видов (Золотов и др., 2012, 2015, 2020; Золотов, Дубинина, 2013; Промысел биоресурсов …, 2013).
Судя по многолетней динамике термического режима, зимний период в водах у Северо-Курильских о-вов длится примерно до марта и характеризуется отрицательными температурами воды в верхнем квазиоднородном слое океана (Ким, 2022). Тёплый период длится с апреля по сентябрь с пиком среднемесячной температуры в указанном слое в сентябре. Общий термический режим воды в придонном горизонте океана исследуемого района периодически был прослежен по результатам измерения температуры в ходе траловых учётных съёмок и представлен ниже при характеристике сезонного распределения рыб.
Цель настоящей работы – выявить характер сезонных циклов в изменениях внутригодового распределения рыб в пространственно-временнóм масштабе, позволяющем оценить вероятные причины, вызывающие их периодичность в водах у северных Курильских островов.
Таблица 1. Список траловых учётных съёмок, выполненных у тихоокеанского побережья северных Курильских островов в 1987–2021 гг.
№ | Период съёмки (месяцы, год) | Судно | Число станций | Глубины, м | Тип трала |
1 | Январь–февраль, 1987 | СРТМ “Шурша” | 93 | 42–500 | ДТ 28.0 м |
2 | Февраль–март, 2002 | НИС “Дмитрий Песков” | 68 | 60–600 | ДТ 34/26 м |
3 | Март, 20 1 1 | НИС “Профессор Пробатов” | 83 | 47–491 | ДТ 30/25 м |
4 | Март–апрель, 2013 | То же | 53 | 42–415 | То же |
5 | Март–апрель, 20 15 | НИС “Дмитрий Песков” | 61 | 65–420 | » |
6 | Май, 2021 | То же | 63 | 50–480 | ДТ 27.1 м |
7 | Май–июнь, 2006 | НИС “Профессор Пробатов” | 105 | 45–498 | ДТ 34/25 м |
8 | Май–июнь, 2007 | То же | 114 | 60–348 | ДТ 64.8 м |
9 | Октябрь, 1987 | БМРТ “Тихоокеанский” | 87 | 35–350 | ДТ 43.0 м |
10 | Октябрь, 2009 | НИС “Профессор Пробатов” | 92 | 41–425 | ДТ 39.0 м |
Примечание. СРТМ – средний рыболовный траулер морозильный, НИС – научно-исследовательское судно, БМРТ – большой морозильный рыболовный траулер.
Рис. 1. Карта-схема района исследований в 1987–2021 гг.: (●) – станции учётных траловых съёмок. Здесь и на рис. 2–15: (—) – изобаты.
Материал и методика
Основным материалом послужили результаты 10 траловых учётных съёмок, выполненных в районе тихоокеанского побережья северных Курильских островов с 1987 по 2021 гг. (табл. 1). Выбор конкретных съёмок был обусловлен полнотой охвата ими района исследования, максимальным диапазоном обследованных глубин, а также выполнением их в разные сезоны года. В ходе многолетних исследований съёмками было охвачено большинство месяцев года, но характерной особенностью общей базы данных оказалось отсутствие наблюдений, выполненных в летний период (июль–сентябрь). Дополнительной базой данных, подтверждающей характер сезонного распределения скоплений трески в отдельные годы, была информация по смене пространственного местоположения промысловых судов-ярусоловов, представленная в отраслевой системе мониторинга Росрыболовства. Соответствующая информация по траловому разноглубинному промыслу в районе исследований использована для характеристики пространственных перемещений судов в ходе промысла минтая.
Обобщённая схема района исследований с суммарным числом выполненных траловых станций 819 представлена на рис. 1. Общий диапа- зон обследованных глубин охватывал 35–600 м. Температуру придонного слоя воды регистрировали с использованием логгера ATD-HR #0663 (JFE Advantech Co., Ltd., Япония).
Карты пространственного распределения рыб построены в программе Surfer (https://www.goldensoftware.com/products/surfer). Для интерполяции унифицированных данных уловов (т/милю2) использовали метод кригинг (Кошель, Мусин, 2001), сетчатый файл строили с шагом 0.01° (Тарасюк и др., 2000). Число ближайших точек в секторе для интерполяции выбирали равным максимальному, минимальное – одна, максимальный и минимальный радиус поиска – 0.5 и 0.3 широтного градуса соответственно; эллипс поиска точек располагался вдоль изобат под углом 35°.
При полевой идентификации рыб до нижнего таксона использовали определители рыб дальневосточных морей и иллюстрированный атлас рыб (Таранец, 1937; Линдберг, Красюкова, 1975, 1987; Линдберг, Федоров, 1993; Amaoka et al., 1995). Латинские и русские названия видов и семейств приведены в соответствии с каталогами и аннотированными списками рыб дальневосточных морей (Орлов, 1998; Борец, 2000; Федоров, 2000; Шейко, Федоров, 2000; Федоров и др., 2003; Парин и др., 2014).
Рис. 2. Зимнее пространственное и батиметрическое распределение общей ихтиомассы в январе–феврале 1987 г. (а), феврале–марте 2002 г. (б) и марте 2011 г. (в); распределение температуры придонного слоя воды в феврале–марте 2002 г. (г) в тихоокеанских водах у северных Курильских островов. Здесь и на рис. 4, 6–8, 11: (‐ ‐ ‐) – динамика изменения температуры воды в зависимости от глубины.
Рис. 3. Зимнее пространственное и батиметрическое распределение минтая Gadus chalcogrammus (а), трески G. macrocephalus (б), двухлинейной камбалы Lepidopsetta polyxystra (в), белобрюхого получешуйника Hemilepidotus jordani (г), узколобого шлемоносца Gymnocanthus galeatus (д), керчака-яока Myoxocephalus jaok (е) в тихоокеанских водах у северных Курильских островов в январе–феврале 1987 г.
Рис. 4. Зимнее пространственное и батиметрическое распределение минтая Gadus chalcogrammus (а), трески G. macrocephalus (б), двухлинейной камбалы Lepidopsetta polyxystra (в), двурогого бычка Enophrys diceraus (г), белобрюхого получешуйника Hemilepidotus jordani (д), узколобого шлемоносца Gymnocanthus galeatus (е) в тихоокеанских водах у северных Курильских островов в феврале–марте 2002 г.
Результаты
В зимний период, в январе–марте, на тихоокеанском склоне у северных Курильских островов и Юго-Восточной Камчатки выделяется единая обширная зона зимовки рыб. Её местоположение в указанном районе впервые было отчётливо продемонстрировано исследованиями 1987 г. на научно-промысловом судне средний рыболовный траулер морозильный “Шурша” (рис. 2а). Следует отметить, что именно в этом году была оценена важность роли склоновых вод Юго-Восточной Камчатки в формировании единого ареала обитания шельфовых видов рыб Северо-Курильского региона. В последующие годы зимние исследования осуществляли, как правило, южнее широты м. Лопатка, являющегося крайней точкой п-ова Камчатка, и показывали значительно меньшие биомассы рыб (рис. 2б, 2в). Шельфовые участки зимой характеризовались существенно более холодными водами по сравнению с континентальным склоном (рис. 2г). Прибрежная зона глубиной до 100 м охлаждалась до отрицательных значений температуры воды вплоть до –0.6°C (в среднем 0°C), тогда как температура склоновых вод составляла 0.2–1.8°C на глубинах 100–200 м, 1.4–2.9°C – на 200–500 м, а в диапазоне глубин 500–600 м достигала 3.0–3.5°C.
Основные зимние скопления рыб располагались на локальном участке примерно от траверза Первого Курильского пролива вплоть до северной границы исследованного района на широте 51°30′ с. ш. В этот период года в большинстве своём рыбы находились на склоне с глубинами, превышающими 100 м. Максимальные концентрации общей ихтиомассы в январе–феврале 1987 г. отмечены на изобатах 300–450 м. Вместе с тем без многочисленного минтая, который концентрировался в пределах этих изобат, пик общей ихтиомассы смещался на глубины 100–250 м. Относительно высокочисленные мезобатиальные рыбы (представители семейств Arhynchobatidae, Liparidae, чёрный палтус Reinchardtius hippoglossoides matsuurae) формировали свои скопления в зоне 300–450 м и глубже.
Хотя каждый вид демонстрировал свои предпочтения в батиметрическом и, видимо, температурном отношении, в большинстве случаев рыбы формировали основное скопление на севере обследованного участка (рис. 3). Минтай концентрировался у Юго-Восточной Камчатки преимущественно на глубинах 300–450 м, характерных больше для мезобатиальных рыб (рис. 3а). Треска распределялась рядом с минтаем в общем диапазоне глубин 50–350 м с максимальной концентрацией на изобатах порядка 150–200 м, но единичные высокие уловы вида наблюдали и на глубинах 300–350 м (рис. 3б). Ещё одно сравнительно мелководное скопление трески отмечено напротив Второго Курильского пролива на глубинах 95–150 м.
Двухлинейная камбала формировала два пространственно разобщённых скопления, одно из которых локализовалось на севере, в месте общего зимовального скопления рыб, на глубинах 100–200 м, а второе находилось напротив южной оконечности о-ва Парамушир на таких же глубинах (рис. 3в). Ещё один массовый шельфовый вид – белобрюхий получешуйник Hemilepidotus jordani – распределялся сходным образом, причём это сходство проявлялось вплоть до предпочитаемого диапазона глубин, но второе дополнительное скопление вида располагалось напротив центральной части о-ва Парамушир (рис. 3г). Узколобый шлемоносец Gymnocanthus galeatus и керчак-яок Myoxocephalus jaok концентрировались рядом с белобрюхим получешуйником на северном участке (рис. 3д, 3е). Керчак-яок, кроме того, образовывал второе скопление у центральной части о-ва Парамушир совместно с получешуйником. Зимний диапазон глубин обитания указанных видов рогатковых (Cottidae) был одинаков и охватывал 100–200 м. Характер зимнего распределения рассмотренных шельфовых видов демонстрировал в целом важность для основной зимовки прибрежных рыб участка континентального склона, расположенного к северо-востоку от Северо-Курильских о-вов, непосредственно у Юго-Восточной Камчатки (рис. 2).
В 2002 г., в конце февраля–марте, характер общего распределения всех рыб был несколько иным, нежели в 1987 г. (рис. 2б). В 2002 г. съёмка была ограничена широтой примерно 50°50′ с. ш., т. е. ранее выявленный северный участок склона у Юго-Восточной Камчатки с наибольшими зимними концентрациями рыб исследованиями охвачен не был. В этих условиях основное скопление рыб сформировалось на смежном участке напротив Первого Курильского пролива, на склоне глубже 100 м. Локальные скопления рыб были отмечены также южнее о-ва Парамушир, в зоне прилегающего плато и свала глубин. Склоновые по своей биологии виды включали в числе массовых в первую очередь пятнистого ската Bathyraja maculata, а также малоглазого макруруса Coryphaenoides pectoralis и белополосого ликода Lycodes albolineatus, формирующих основные скопления глубже 450 м при температурах > 3°C. За пределами шельфа температура придонного слоя воды в среднем превышала 1°C, достигая 3.5°C глубже 400 м. В прибрежной зоне до глубины 80 м наблюдались отрицательные температуры. В качестве наиболее распространённого грунта в районе зимовки рыб широко доминировали илистый песок и галька.
Минтай был распределён преимущественно у о-ва Онекотан на глубинах 200–350 м (рис. 4а). Тихоокеанская треска концентрировалась на южном плато – выдающемся в океан участке пологого склона южнее о-ва Парамушир на глубинах 200–300 м (рис. 4б). Кроме того, незначительная концентрация рыб отмечена, как и зимой 1987 г., на глубине 100–150 м напротив Второго Курильского пролива. Температурный фон в местах обитания трески менялся от 0.5°C на меньших глубинах до 1–2°C на больших глубинах.
Двухлинейная камбала образовывала несколько пятен скоплений, преимущественно расположенных за изобатой 100 м на южном плато о-ва Парамушир (рис. 4в). Значительная часть рыб формировала скопления на глубинах 100–300 м при температуре воды 0.1–1.7°C. На северной границе района исследований было отмечено повышение концентрации камбалы, что указывало на присутствие ещё одной группировки, зимующей у Юго-Восточной Камчатки. Из рогатковых наиболее широко был представлен двурогий бычок Enophrys diceraus (рис. 4г). Зимой он концентрировался на внешнем шельфе о-ва Парамушир на глубине 50–100 м, в холодной зоне, где температурный фон не превышал 0.5°C. Этот вид формировал в районе исследований два отдельных пятна скоплений. Белобрюхий получешуйник отмечался напротив центральной части о-ва Парамушир, как и зимой 1987 г. (рис. 4д). Следует указать, что в 1987 г. доминирующее, значительно более плотное скопление вида наблюдали у Юго-Восточной Камчатки. Диапазон глубин обитания получешуйника составлял 100–250 м. Ещё один сравнительно массовый вид семейства, узколобый шлемоносец, формировал одно скопление совместно с треской на свале глубин 200–250 м (рис. 4е).
Многоиглый керчак Myoxocephalus polyacanthocephalus, следующий по распространённости в районе исследований крупный представитель рогатковых, образовывал своё зимнее скопление за северной границей съёмки, что вызвало оконтуривание лишь его края. Батиметрический диапазон вида охватывал шельфовую зону и верхние участки склона до 250 м с температурами до 2°C.
Интересно, что навага Eleginus gracilis, наиболее холодолюбивый вид, в феврале, по-видимому, после нереста, держалась на удалении от берега, концентрируясь в центре южного выступа склона у о-ва Парамушир в пределах узкого диапазона глубин 100–150 м. Здесь средняя температура воды была 0.8°C, что превышало фоновые показатели на остальной части шельфа.
В марте 2011 г. пространственное распределение общей ихтиомассы было весьма сходным с таковым в феврале–марте 2002 г. Значимая часть биомассы рыб была распределена на континентальном склоне в диапазоне глубин 100–350 м, а шельфовая зона характеризовалась существенно меньшими концентрациями (рис. 2в). Среди склоновых рыб доминировали фиолетовый скат B. violacea и окунь-клювач S. alutus, обитающие преимущественно за пределами изобаты 250 м. Скат формировал одно скопление на северной границе района обследования, окунь-клювач отмечался отдельными скоплениями по всему району, на юг вплоть до Четвёртого Курильского пролива.
Рис. 5. Зимнее пространственное и батиметрическое распределение минтая Gadus chalcogrammus (а), трески G. macrocephalus (б), двухлинейной камбалы Lepidopsetta polyxystra (в), белобрюхого получешуйника Hemilepidotus jordani (г), узколобого Gymnocanthus galeatus (д) и широколобого G. detrisus (е) шлемоносцев в тихоокеанских водах у северных Курильских островов в марте 2011 г.
Минтай был распределён на склоне в диапазоне глубин 200–350 м (рис. 5а). Скопления вида с повышенной плотностью формировались на двух участках – на траверзе юго-восточной оконечности Камчатки, представляя край северного скопления, и на склоне выступающего плато южнее о-ва Парамушир. Треска образовывала основное скопление вдоль склона у о-вов Шумшу и Парамушир на глубинах 100–300 м (рис. 5б). Многочисленная двухлинейная камбала концентрировалась на южном плато непосредственно напротив о-ва Парамушир на глубине 100–250 м (рис. 5в). Оконтуренная часть скопления камбал на северной границе съёмки указывала на присутствие ещё одного скопления севернее 51° с. ш. у Юго-Восточной Камчатки. Белобрюхий получешуйник формировал несколько отдельных скоплений, распределённых вдоль всего о-ва Парамушир, ещё одно скопление вида было краем оконтурено на северной границе съёмки (рис. 5г). Глубины обитания рыб ограничивались значениями 50–250 м. Многочисленный узколобый шлемоносец формировал отдельное скопление на южном плато на глубинах 150–250 м (рис. 5д). Ещё один вид – широколобый шлемоносец G. detrisus – концентрировался схожим образом, формируя ряд скоплений к северу, вплоть до границы съёмки на глубинах 50–200 (максимум 250) м (рис. 5е).
С марта–апреля по май–июнь, судя по распределению температуры придонного слоя воды, происходили существенные изменения в термическом режиме района исследований. Это оказывало влияние и на характер пространственного распределения рыб. Динамика данного процесса в тёплый период года была прослежена в районе с весны (март–апрель) по начало лета (май–июнь) на протяжении пяти лет (рис. 6, 7).
В марте–апреле 2013 г. наибольшая общая концентрация рыб была отмечена напротив Первого Курильского пролива на глубинах 100–300 м при температуре воды 0.5–2.0°C (рис. 6а). Температурный режим на шельфе и верхних участках склона весной этого года характеризовался более низкими значениями температуры воды, нежели зимой 2002 г. (рис. 2в, 6в). Среди склоновых рыб наибольшей распространённостью характеризовались отдельные представители семейств Zoarcidae, Arhynchobatidae, Liparidae. Среди первых доминировал белополосый ликод, образовавший одно скопление на южном склоне у о-ва Парамушир на глубинах 200–250 м. Фиолетовый скат и широколобый карепрокт Careproctus furcellus формировали максимальные свои скопления на крайнем участке северного склона с глубинами 250–450 м.
Рис. 6. Весеннее пространственное и батиметрическое распределение общей ихтиомассы в марте–апреле 2013 г. (а) и марте–апреле 2015 г. (б), а также распределение температуры придонного слоя воды в марте–начале апреля 2013 г. (в) в тихоокеанских водах у северных Курильских островов.
Рис. 7. Весеннее пространственное и батиметрическое распределение общей ихтиомассы в мае 2021 г. (а), мае–июне 2006 г. (б) и в мае–июне 2007 г. (в); распределение температуры придонного слоя воды в мае–июне 2006 (г) в тихоокеанских водах у северных Курильских островов.
Минтай концентрировался в вышеуказанной общей зоне, формируя основное скопление плотностью более чем 132 т/милю2 (рис. 8а). Повышенная концентрация вида была отмечена на склоне у о-ва Парамушир в Четвёртом Курильском проливе. Минтай находился на глубинах в диапазоне 100–300 м при температуре воды 1.5–2.5°C, но в целом был широко распределён по всему району исследований. Треска распределялась в пространственном отношении шире, формируя последовательный ряд небольших скоплений вдоль всего склона в том же диапазоне глубин (рис. 8б). Основное скопление этого вида располагалось на южном, выступающем в океан от о-ва Парамушир участке склона. Двухлинейная камбала распределялась в значительной мере схожим образом, но её скопления были существенно более плотными и с юга на север представляли три отчётливых пятна вдоль склона на глубинах 100–300 м, аналогичных таковым зимой 2002 г. (рис. 8в). Белобрюхий получешуйник формировал всего одно скопление в северной части исследуемого района напротив Первого Курильского пролива на глубинах 150–200 м (рис. 8г). Относящиеся к числу доминантных в районе видов семейства рогатковых многоиглый керчак и широколобый шлемоносец, аналогично двухлинейной камбале и треске, создавали последовательный ряд своих трёх–четырёх скоплений вдоль всего побережья о-ва Парамушир на глубинах 100–250 м (рис. 8д, 8е).
Весной 2015 г., в марте–апреле, пространственное распределение общей ихтиомассы было во многом сходно с таковым весной 2013 г. (рис. 6б). Основные скопления рыб были всё ещё сосредоточены в северной части района исследований. Склоновые рыбы концентрировались на глубинах > 400 м, а шельфовые рыбы уже сместились на участки с глубинами 50–200 м.
Рис. 8. Весеннее пространственное и батиметрическое распределение минтая Gadus chalcogrammus (а), трески G. macrocephalus (б), двухлинейной камбалы Lepidopsetta polyxystra (в), белобрюхого получешуйника Hemilepidotus jordani (г), многоиглого керчака Myoxocephalus polyacanthocephalus (д), широколобого шлемоносца Gymnocanthus detrisus (е) в тихоокеанских водах у северных Курильских островов в марте–апреле 2013 г.
Минтай был преимущественно сконцентрирован, видимо, севернее района исследований, в связи с чем был лишь краем оконтурен на границе области исследований (рис. 9а). Общий батиметрический диапазон обитания вида составлял в этот сезон года 50–450 м, вместе с тем концентрация рыб резко увеличивалась на изобатах 150–200 м. Треска распределялась широко вдоль всего побережья о-ва Парамушир, преобладая на южном выступе континентального склона (рис. 9б). Отдельные скопления рыб были сформированы на глубинах 50–350 м.
Двухлинейная камбала уже приближалась к побережью, формируя скопления в северной части исследуемого района и напротив Второго Курильского пролива на глубинах 50–250 м (рис. 9в). Несмотря на существенную вариативность распределения рыб в один и тот же сезон года, отчётливо заметно формирование в целом трёх пятен скоплений – северного, центрального и южного. Они были отмечены в зимние месяцы и весной 2013 г., что указывает на наличие трёх локальных участков зимне-весеннего концентрирования рыб.
Белобрюхий получешуйник сформировал одно скопление в северной части обследованного района на глубинах 50–200 м, преимущественно 100–150 м (рис. 9г). Такое же местоположение весеннего скопления было отмечено зимой 1987 г. (рис. 3г) и весной 2013 г. (рис. 8г), но в последнем случае оно было отмечено мористее, на изобатах 150–200 м. Многоиглый керчак характеризовался преимущественной концентрацией вблизи Первого Курильского пролива, в зоне прибрежного шельфа на глубинах 50–100 м, что контрастирует с холодной весной 2013 г., когда рыбы в массе ещё находились на склоне в диапазоне глубин 100–250 м (рис. 9д). Другой массовый представитель рогатковых – широколобый шлемоносец – формировал два скопления в северной части района: у Юго-Восточной Камчатки и у Второго Курильского пролива в пределах 50–200 м (рис. 9е). Если судить по батиметрическому распределению рыб, они осуществляли миграцию в прибрежную зону шельфа.
В конце весны 2021 г., уже в мае, общая ихтиомасса распределялась по всему району исследований в виде отдельных скоплений на северном склоне и на южном выступе континентального склона у п-ова Камчатка, а также в прибрежной зоне центральной части о-вов Парамушир и Онекотан (рис. 7а). Батиметрическое распределение имело весеннюю картину, когда основные скопления шельфовых рыб наблюдались во всей шельфовой зоне, распространяясь до глубины 200 м, а на северном участке склона концентрировались лишь склоновые рыбы.
Минтай существенным образом определил распределение общей ихтиомассы, повторив очертания всех скоплений в прибрежной зоне и на южном выступе континентального склона у о-ва Парамушир (рис. 10). При своём широком распространении взрослый минтай концентрировался на глубинах 50–200 м (рис. 10а). Его молодь образовала значительное скопление у Первого Курильского пролива, а также небольшое скопление рядом со взрослыми рыбами у центральной части о-ва Парамушир на глубинах 50–100 м. Если ориентироваться на средние майские значения температуры воды разных лет, то вышеуказанный диапазон глубин соответствовал минимальным значениям. Треска формировала единое с минтаем скопление у о-ва Онекотан в диапазоне глубин 50–250 м, а также вдоль о-ва Парамушир, вплоть до Первого Курильского пролива, где её концентрации отмечались всё ещё на значительных глубинах 250–300 м (рис. 10б). В целом в исследуемом году минтай подошёл к побережью явно раньше, чем треска.
Двухлинейная камбала образовывала скопления с высокой концентрацией в океанских водах у о-ва Онекотан в прибрежной зоне до 50 м, объединяясь с минтаем, треской и белобрюхим получешуйником (рис. 10в). У юго-восточной части о-ва Парамушир незначительные концентрации камбал отмечены на глубинах 100–150 м. Белобрюхий получешуйник находился вблизи берега, формируя прибрежные скопления как у о-ва Онекотан (вместе с остальными видами), так и у центральной части о-ва Парамушир на глубинах до 150 м, преимущественно в пределах 50–150 м (рис. 10г). Следует особо отметить прибрежное местообитание камбал и получешуйников весной, а также уже состоявшийся подход в эту зону минтая. На прибрежном шельфе концентрировались и другие массовые виды рогатковых – многоиглый керчак и широколобый шлемоносец (рис. 10д, 10е). Их скопления были приурочены непосредственно к побережью о-ва Парамушир, занимая преимущественно глубины 50–150 м. Керчаки, перемещаясь на шельф, всё ещё частично находились на склоне с глубинами 200–250 м.
В конце весны – начале лета 2006 г., в мае–июне, общая ихтиомасса распределялась между изобатами 100–150 м, преимущественно в южной части района исследований с увеличением концентраций в направлении Четвёртого Курильского пролива (рис. 7б). Температурный режим указывал на общее потепление воды в эти месяцы при наличии отчётливых пятен холода в прибрежной зоне шельфа до изобаты 100 м (200 м на севере), со средней температурой 1.73°C (рис. 7г). Отчётливо наблюдался холодный промежуточный слой, накрывающий нижнюю зону шельфа с глубинами 50–100 м. Напротив, наиболее близкая к берегу прибрежная полоса у о-ва Парамушир местами прогревалась до 3.0°C. Рыбы концентрировались в приграничной зоне свала глубин на участках с температурами в диапазоне 2.0–2.5°C.
Рис. 9. Весеннее пространственное и батиметрическое распределение минтая Gadus chalcogrammus (а), трески G. macrocephalus (б), двухлинейной камбалы Lepidopsetta polyxystra (в), белобрюхого получешуйника Hemilepidotus jordani (г), многоиглого керчака Myoxocephalus polyacanthocephalus (д), широколобого шлемоносца Gymnocanthus detrisus (е) в тихоокеанских водах у северных Курильских островов в марте–апреле 2015 г.
Рис. 10. Весеннее пространственное и батиметрическое распределение минтая Gadus chalcogrammus (а), трески G. macrocephalus (б), двухлинейной камбалы Lepidopsetta polyxystra (в), белобрюхого получешуйника Hemilepidotus jordani (г), многоиглого керчака Myoxocephalus polyacanthocephalus (д), широколобого шлемоносца Gymnocanthus detrisus (е) в тихоокеанских водах у северных Курильских островов в мае 2021 г.
Рис. 11. Весеннее пространственное и батиметрическое распределение минтая Gadus chalcogrammus (а), трески G. macrocephalus (б), двухлинейной камбалы Lepidopsetta polyxystra (в), белобрюхого получешуйника Hemilepidotus jordani (г), многоиглого керчака Myoxocephalus polyacanthocephalus (д), наваги Eleginus gracilis (е) в тихоокеанских водах у северных Курильских островов в мае–июне 2006 г.
Минтай в пределах вышеуказанных скоплений образовывал основное своё скопление непосредственно в Четвёртом Курильском проливе, тяготея к бо́льшим глубинам, преимущественно 350–400 м, при температуре воды 3.5–4.0°C (рис. 11а). Вдоль побережья о-ва Парамушир минтай не смещался ближе изобаты 100 м, видимо, избегая низких температур. Треска имела сходное распределение вплоть до совпадения местоположения основного скопления вида с участком концентрирования минтая в проливе, при этом основная масса трески всё ещё придерживалась диапазона глубин 100–300 м (рис. 11б).
Двухлинейная камбала концентрировалась на глубине 100–150 м, хотя в меньших количествах она была широко распределена от 50 до 350 м (рис. 11в). Некоторое повышение плотности её скоплений наблюдалось на изобатах 250–300 м, причём всего одно основное скопление вида сформировалось в центральной части выступа склона у о-ва Парамушир. На этом же участке между изобатами 50–150 м отмечена крупная концентрация наиболее массового представителя рогатковых рыб – белобрюхого получешуйника (рис. 11г). Местоположение скоплений камбалы и получешуйника совпало с зоной наиболее низких температур, наблюдавшихся в этот период года. Многоиглый керчак в этом году концентрировался уже в прибрежной полосе на глубинах 50–100 м, возможно, и мелководнее, где исследования не проводили (рис. 11д). В холодной зоне прибрежной полосы предпочитала находиться и навага, которая придерживалась в начале лета удалённых от берега глубин 50–150 м (рис. 11е). Она формировала ряд отдельных скоплений, находящихся вдоль южной границы выступа склона у о-ва Парамушир.
Пространственное распределение рыб в мае–июне следующего 2007 г. подтвердило общую картину предыдущего года (рис. 7в). Общая ихтиомасса была распределена в целом сходным образом, образуя отдельные скопления вдоль всего склона между изобатами 100–300 м. При этом из-за отсутствия исследований в Четвёртом Курильском проливе основная концентрация рыб отмечена на южном выступе континентального склона у о-ва Парамушир, где частично находились общие зимовальные скопления рыб.
Минтай традиционно повторил картину общего распределения, вид был равномерно распределён по всему району исследований, формируя отдельные скопления вдоль всего побережья о-ва Парамушир в диапазоне глубин 200–250 м (рис. 12а). Распределение трески характеризовалось тем, что, как и в 2006 г., основное скопление вида обнаружилось вблизи Четвёртого Курильского пролива (рис. 12б). Кроме этого, треска сохраняла свои склоновые скопления, распределённые между глубинами 200 и 300 м у о-ва Парамушир. Двухлинейная камбала образовывала одно скопление на северном участке района исследований, небольшие концентрации рыб отмечены у Четвёртого Курильского пролива (рис. 12в). Несмотря на широкое распространение по всем глубинам, высокую концентрацию камбал всё ещё отмечали в пределах изобат 200–250 м. Белобрюхий получешуйник оказался наиболее близок к берегу, образуя скопление с существенной концентрацией вблизи Первого Курильского пролива, а также меньшее скопление на центральном участке выступа южного склона, которое наблюдалось и весной 2006 г. Максимальную концентрацию вида отмечали в диапазоне глубин 50–100 м. Вновь следует отметить, что получешуйник оказался среди первых рыб, в массе подошедших к побережью в мае–июне. Это согласуется с его наиболее поздним отходом от прибрежья в осенний период года, о чём будет сказано ниже. Видимо, следует отметить его бо́льшую, по сравнению с другими видами, эвритермность.
Многоиглый керчак был распределён широко вдоль всего побережья, массово находился ещё на склоне с глубинами 200–350 м, но при этом уже осуществлял продвижение в сторону нижнего шельфа на глубины 50–100 м (рис. 12д). Широколобый шлемоносец продемонстрировал своё основное скопление в центральной части южного выступа склона у о-ва Парамушир, аналогичное отмеченному весной 2021 г. (рис. 12е).
В осенний период распределение общей ихтиомассы, судя по имеющимся данным, имело в разные годы существенные различия (рис. 13). В октябре 1987 г. основная часть рыб концентрировалась в северной зоне, но отдельные их скопления отмечались на краю склона вдоль всего о-ва Парамушир. Осенью в океанских водах у о-ва Онекотан продолжало сохраняться многовидовое скопление рыб, образование которого было отмечено в летний период. В октябре 2009 г. рыбы концентрировались преимущественно на южном выступе склона у о-ва Парамушир и в значительно меньших количествах были представлены на северном участке района. В оба года батиметрический диапазон обитания шельфовых видов составлял преимущественно 100–300 м, глубже увеличивались концентрации склоновых рыб.
Рис. 12. Весеннее пространственное и батиметрическое распределение минтая Gadus chalcogrammus (а), трески G. macrocephalus (б), двухлинейной камбалы Lepidopsetta polyxystra (в), белобрюхого получешуйника Hemilepidotus jordani (г), многоиглого керчака Myoxocephalus polyacanthocephalus (д), широколобого шлемоносца Gymnocanthus detrisus (е) в тихоокеанских водах у северных Курильских островов в мае–июне 2007 г.
Рис. 13. Осеннее пространственное и батиметрическое распределение общей ихтиомассы в тихоокеанских водах у северных Курильских островов в октябре 1987 г. (а) и 2009 г. (б)
Осенью 1987 г. общая картина распределения рыб была обусловлена преимущественным доминированием минтая, как наиболее массового вида (рис. 14а). Отдельные скопления минтая формировались вдоль всего склона на глубинах 100–300 м. Постоянное скопление вида у о-ва Онекотан сохранялось и в этот период. Без доминантного вида биомасса демерсальных рыб концентрировалась преимущественно в северной части района исследований вблизи Юго-Восточной Камчатки, напоминая картину зимы 1987 г. Треска осенью формировала характерное скопление совместно с минтаем у о-ва Онекотан, в остальной части района существенные концентрации этого вида не отмечены (рис. 14б). Предпочитаемые треской глубины обитания составляли 100–250 м.
Ещё один представитель тресковых (Gadidae) – навага – концентрировалась у входа во Второй Курильский пролив на глубинах от мелководья до 100 (максимум 150) м (рис. 14в). Эта картина вполне соответствует биологии вида, нерестящегося зимой в самой прибрежной полосе моря во Втором Курильском проливе.
Двухлинейная камбала была широко распределена от самого прибрежья до глубины преимущественно 300 м (рис. 14г). Судя по батиметрическому распределению, вид осуществлял миграцию на зимовальные участки, главный из которых находился у Юго-Восточной Камчатки. Интересно прибрежное местоположение части рыб у Первого Курильского пролива, в прибрежной зоне о-ва Шумшу.
Белобрюхий получешуйник концентрировался вблизи Первого и Второго Курильских проливов, причём всё ещё на шельфе и приграничной склоновой зоне в пределах глубин до 150 м (рис. 14д). Отдельные скопления сохранялись в океанских водах у о-ва Онекотан, что, возможно, связано с более поздними по времени зимовальными миграциями вида. В основном рыбы находились в диапазоне глубин 50–200 м, хотя часть из них продвинулась уже до 300 м. Примерно такое же распределение было характерно осенью для многоиглого керчака (рис. 14е). Находясь на траверзе Первого Курильского пролива, керчак был распределён более широко, концентрируясь на глубинах 50–350 м.
В октябре 2009 г. был отмечен осенний отход рыб на зимовку в район южного выступа склона у о-ва Парамушир (рис. 13б). Для данного года и сезона была характерна двухпиковость батиметрического распределения общей ихтиомассы, выражающаяся в повышении концентраций в двух диапазонах глубин: 150–200 и 300–350 м. Минтай полностью повторил картину распределения общей ихтиомассы, сконцентрировавшись на юге района в широком диапазоне глубин (рис. 15а). Треска формировала основное своё локальное скопление в зоне 50–100 м, но повышенные концентрации вида были отмечены и на изобатах 150–200 м (рис. 15б). Прослеживалось осеннее перемещение двухлинейной камбалы, скопления которой растянулись широким фронтом вдоль всей полосы склона, находясь преимущественно в диапазоне глубин от 50 до 350 м, но местами достигая 450 м (рис. 15в). Белобрюхий получешуйник был единственным видом, скопление которого было отмечено в прибрежной полосе у южного побережья о-ва Парамушир (рис. 15г). Вид распределялся в основном на шельфе, от мелководья до глубины 150 м, оказавшись ближе к берегу, по сравнению с весенней картиной своего распределения. Многоиглый керчак начал смещаться на склон напротив Первого Курильского пролива, охватывая диапазон глубин 50–250 м (рис. 15д). Широколобый шлемоносец, напротив, преимущественно сместился на южный выступ склона у о-ва Парамушир, распределяясь на глубинах 100–300 м (рис. 15е). Предпочтение южного склона было характерной особенностью этого вида в районе исследований по данным разных сезонов и годов.
Рис. 14. Осеннее пространственное и батиметрическое распределение минтая Gadus chalcogrammus (а), трески G. macrocephalus (б), наваги Eleginus gracilis (в), двухлинейной камбалы Lepidopsetta polyxystra (г), белобрюхого получешуйника Hemilepidotus jordani (д), многоиглого керчака Myoxocephalus polyacanthocephalus (е) в тихоокеанских водах у северных Курильских островов в октябре 1987 г.
Обсуждение
Сравнительный анализ зимнего распределения общей ихтиомассы в районе северных Курильских островов показывает, что общую картину на протяжении января–марта можно представить последовательно, связав её с постепенной трансформацией гидрологической ситуа- ции в течение сезона. Если в январе рыбы явно концентрировались на северном участке, преимущественно к северу от 51° с. ш., то в феврале зимовальная зона смещается к югу, оставаясь в пределах склона, а в марте общая ихтиомасса распределяется широко вдоль всего тихоокеанского склона Северо-Курильской гряды. В первом квартале года неизменным остаётся обитание рыб на склоне, обычно на глубинах > 150 м, где придонная температура воды, судя по данным зимы 2002 г., держится на уровне > 1°C.
Зимний характер распределения минтая в разные месяцы варьировал от высокой концентрации рыб на склоне Юго-Восточной Камчатки (январь–февраль 1987 г.) до отдельного скопления у о-ва Онекотан (февраль–март 2002 г.) или более равномерного распределении по глубинам склона вдоль всего изучаемого района (в марте 2011 г.). Предпочитаемый видом батиметрический диапазон составлял от 200 до 500 м, средняя температура придонного слоя воды на участках обитания рыб варьировала от 0.7 до 3.0°C.
Местоположение зимних скоплений трески тоже не отличалось ежегодным постоянством. Её скопления формировались как на северном, так и на южном, а иногда и на центральном по отношению к о-ву Парамушир участках, при этом рыбы всё же предпочитали находиться в пределах глубин 100–300 м. В целом треска в зимний период отмечалась в широком диапазоне глубин от самого прибрежья до 500 м. Средняя температура воды на предпочитаемых видом глубинах составляла 0.5–1.7°C.
Двухлинейная камбала в своём зимнем распределении показала существенные различия по годам. Несмотря на в целом биполярное расположение скоплений: одно скопление обнаруживалось непосредственно у Юго-Восточной Камчатки, второе – на выступающем участке склона у о-ва Парамушир, они не были стабильными и с окончанием зимовального периода распадались на меньшие скопления внутри вышеобозначенных участков. При этом оптимальные глубины зимнего обитания камбалы стабильно составляли 100–200 (максимум 300) м, а общий диапазон встречаемости оказывался существенно шире и занимал 50–450 м. Предпочитаемая температура воды на этих участках укладывалась в пределы, характерные для трески.
Среди рогатковых в течение трёх лет рассмотрено многолетнее зимнее распределение доминирующего белобрюхого получешуйника. Картина формирования скоплений вида повторяла общую ситуацию: в начале года образовывались плотные скопления на одном участке, в последующем наблюдался ряд следующих вдоль побережья пятен скоплений. Батиметрический диапазон был стабилен и охватывал преимущественно глубины 100–200 (максимум 250) м при общей встречаемости от нижнего шельфа до глубины 500 м.
Непостоянство местоположения скоплений рыб на протяжении первого квартала года является, очевидно, характерным для их зимнего распределения в Северо-Курильском районе. Это можно увидеть в том числе и на примере чёрного палтуса – вида, проводящего бóльшую часть своей жизни на склоне. При существенных изменениях мест концентрирования рыб вдоль склона сохранялось неизменным лишь общее батиметрическое предпочтение палтуса, который распределялся преимущественно от глубины 300 до 500 м и более. Температура воды на этих глубинах достигала примерного диапазона 2.0–3.5°C. Как было показано ранее, массовые виды рыб склона, такие как пятнистый скат, малоглазый макрурус, белополосый ликод, формируют свои основные скопления также глубже 450 м при температуре воды свыше 3°C, что подтверждается данными других авторов (Токранов, Орлов, 2002; Орлов и др., 2007; Orlov, Tokranov, 2008).
Рис. 15. Осеннее пространственное и батиметрическое распределение минтая Gadus chalcogrammus (а), трески G. macrocephalus (б), двухлинейной камбалы Lepidopsetta polyxystra (в), белобрюхого получешуйника Hemilepidotus jordani (г), многоиглого керчака Myoxocephalus polyacanthocephalus (д), широколобого шлемоносца Gymnocanthus detrisus (е) в тихоокеанских водах у северных Курильских островов в октябре 2009 г.
С весенним потеплением рыбы перемещаются несколько ближе к зоне шельфа, чему препятствуют, по всей видимости, воды холодного промежуточного слоя океана. Следует отметить, что для минтая, трески и северной двухлинейной камбалы март и апрель являются временем размножения, поэтому весеннее распределение взрослых рыб представляется характерным именно для их нерестовых скоплений (Перцева-Остроумова, 1961; Швецов, 1975; Антонов, 1991; Полтев, 1996).
Весенне-раннелетний период характеризовался присутствием скоплений всех основных массовых видов в зоне верхних участков склона с постепенным продвижением в зону шельфа до глубины 50 м и, вероятно, меньше. Несмотря на наличие холодного промежуточного слоя воды в диапазоне глубин 50–100 м, весеннее формирование скоплений многих видов распространялось и на эту зону крайне низких температур. В то же время распределение рыб в общем диапазоне глубин 50–300 м явно типично для весны – начала лета – периода, представляющего собой время нереста и начального этапа нагула многих из видов. Характерным является формирование многовидовых скоплений минтая, трески, двухлинейной камбалы и некоторых рогатковых видов в океанских водах вблизи о-ва Онекотан, а также на склонах в Четвёртом Курильском проливе.
Осенний период характеризовался уже близостью зимовки, с усиливающимся концентрированием всех скоплений рыб в зоне континентального склона. Исходя из общей картины сезонного распределения, можно предположить следующую очерёдность осенних перемещений массовых промысловых видов – минтай, треска, двухлинейная камбала, белобрюхий получешуйник. В целом в осенний период общий диапазон глубин обитания шельфовых видов расположен в пределах 100–300 м.
Таким образом, сезонный характер пространственного распределения рыб в океанских водах Северо-Курильского района в значительной мере определяется на протяжении всего года субарктической структурой водных масс и специфическим рельефом морского дна на тихоокеанском шельфе и склоне островов. Имеющиеся данные указывают на формирование многовидовых плотных зимовальных скоплений рыб в холодный период года на склоне Юго-Восточной Камчатки. Дальнейшее их продвижение севернее 52° с. ш., видимо, не происходит по причине значительного сужения зоны свала глубин. Вместе с тем следует отметить, что непосредственно вдоль всего склона у о-ва Парамушир, в особенности на южном выступе склона, также могут наблюдаться зимние локальные скопления рыб. В тёплый период года, с постепенным перемещением рыб на юг в приостровные воды, образуются крупные скопления трески, минтая, камбал и рогатковых бычков вблизи о-ва Онекотан и на склонах в Четвёртом Курильском проливе. При этом вдоль о-ва Парамушир происходит смещение скоплений рыб в сторону нижних участков шельфа. Исходя из особенностей распределения рыб в переходные сезоны года (весной и осенью), в наиболее тёплый летний период года, во время активного нагула, по всей видимости, происходит освоение и зоны собственно прибрежья, относимого к внутреннему шельфу.
Осуществление батиметрических перемещений рыб в ходе их сезонных миграций, преимущественно в зоне нижнего шельфа и континентального склона, подтверждается сведениями о позиционировании судов на ярусном промысле трески в тихоокеанских водах у северных Курильских о-вов.
Анализ расположения судов с различным промысловым оборудованием (для разных промысловых объектов) показал, что в дальневосточных морях ярусный лов относится к наиболее специа- лизированным видам промысла, который традиционно применяют к одному массовому шельфовому объекту – тихоокеанской треске, а также к макрурусам, палтусам и скатам (Золотов, 2021). В ходе ярусного лова трески её среднемесячная доля в уловах составляла 86.3–100%, в среднем – 94.4% (табл. 2). Анализ результатов тех лет, в которые проводили научные траловые учётные съёмки, показал, что в эти годы наблюдалась характерная сезонная картина локализации промысловых судов ярусного лова.
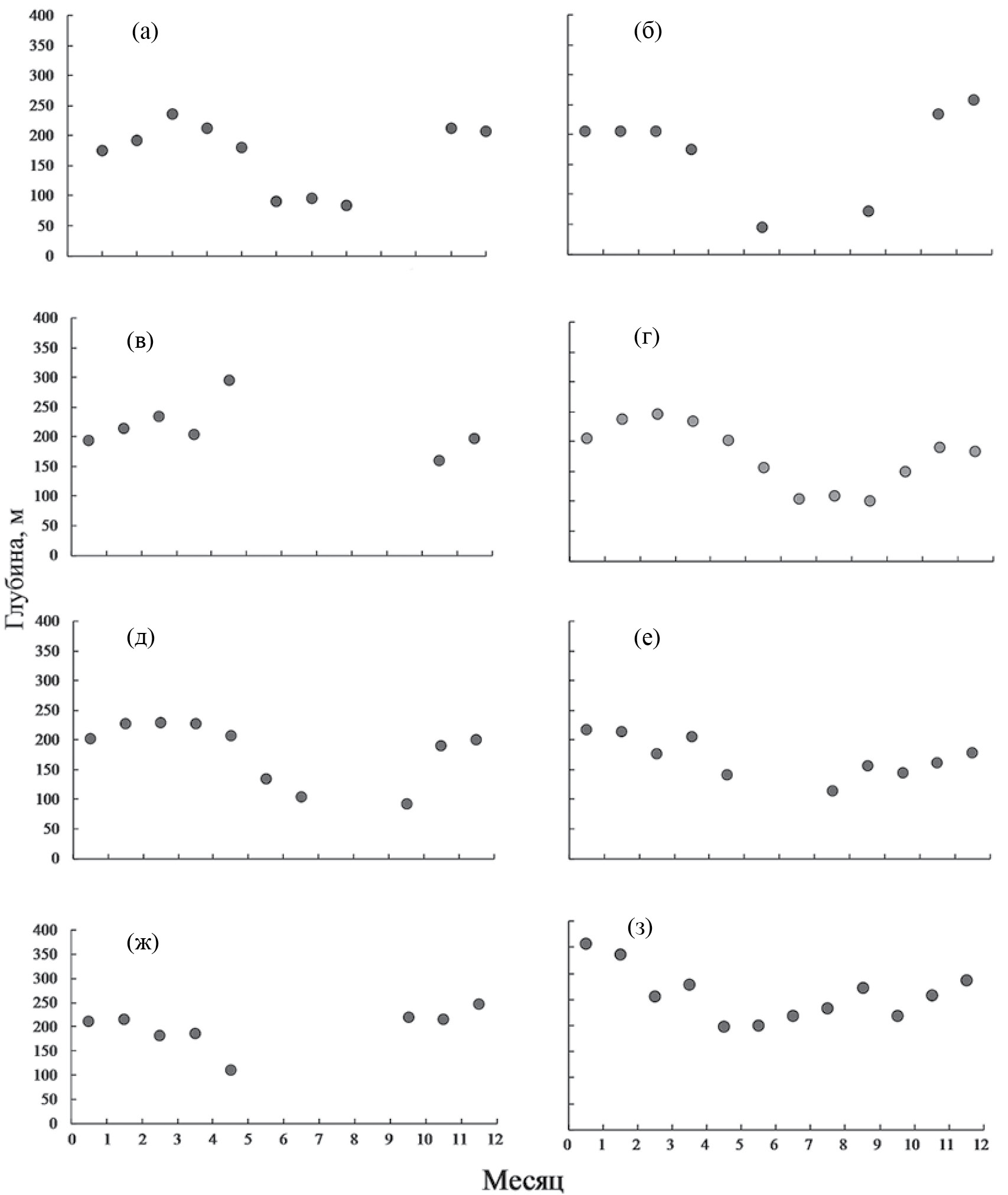
В 2006–2007 гг. средняя глубина ярусного промысла трески мало различалась своей сезонной вариабельностью (рис. 16). В 2006 г. максимальная средняя глубина промысла приходилась на март (237.6 м), а в 2007 г. в декабре суда уходили на участки с глубинами 257 м. Минимальная средняя глубина лова была отмечена в июне – до 45 м. В 2009 г. промысел трески осуществляли только в холодный период года на глубинах со средними значениями от 159.4 до 295.7 м.
В 2011 г. на промысле ярусом наблюдались перемещения судов от сезона к сезону по участкам c диапазоном средних глубин 100–250 м. Следует отметить существенное сходство батиметрического распределения трески и мест её основных скоплений, определённых по учётной траловой съёмке в марте 2011 г., с пространственным расположением судов, которые занимались ярусным промыслом объекта в районе в это же время. Следует отметить максимальное приближение работающих судов к побережью в июне–августе. Исходя из общегодовой картины динамики расположения судов, можно сказать, что сезонные перемещения треска в районе исследований осуществляла преимущественно в диапазоне глубин, верхняя граница которых отделяла зону пологого склона от зоны резкого свала.
В 2013 г. суда-ярусоловы осуществляли те же перемещения, что и в 2011 г., между участками с диапазоном средних глубин 92–230 м. В марте–апреле, когда основные скопления трески, по данным учётной траловой съёмки, находились в зоне глубин 150–250 м, суда предпочитали осуществлять лов на глубине в среднем 229 м. Можно полагать, что местоположение промысловых судов с ярусным оборудованием вполне соответствовало пространственному распределению основных скоплений вида.
В 2015 г. диапазон глубин промысла трески находился в пределах 114–217 м. Максимальная глубина наблюдалась в марте, а минимальная приходилась на август. В марте–апреле, когда скопления трески в ходе учётной съёмки наблюдались на глубинах 150–200 м, суда концентрировались на средней изобате промысла 191 м.
В 2021 г. весь летний период ярусный промысел не проводили. Вместе с тем общий диапазон глубин, на которых осуществляли промысел, находился в пределах 110–247 м.
В целом прослеживаются закономерные изменения глубин промысла трески судами ярусного флота от холодного к тёплому периоду года, которые обусловлены периодическими миграционными перемещениями рыб в связи с особенностями их пространственного распределения на этапах зимовки, размножения и нагула.
Основным видом промысла минтая в районе исследований является разноглубинный траловый лов, которым изымается до 99% всего годового улова вида. Изменение по месяцам местоположения судов, оснащённых разноглубинным тралом, показывает, что в холодный период года средняя глубина обитания рыб составляет 357 м, а к лету эта величина снижается до 197 м (рис. 16з). Представленные величины несколько занижены, учитывая значительное число случаев подачи неверных координат лова с указанием точек вблизи мест сдачи выловленной продукции.
Таблица 2. Статистика промысла (ярусного лова) трески в январе–декабре 2011 г., т
Месяц | Треска Gadus macrocephalus | Палтус белокорый Hippoglossus stenolepis | Минтай Gadus chalcogrammus | Камбалы (Pleuronectidae) | Керчаки (Cottidae) | Скаты (Arhynchobatidae) | Терпуги (Hexagrammidae) | Окуни морские рода Sebastes | Всего | Доля трески,٪ |
Январь | 125.103 | 0.350 | 4.953 | 0.345 | 5.466 | 8.091 | 0.540 | 144.848 | 86.3 | |
Февраль | 232.598 | 0.835 | 3.093 | 0.300 | 6.731 | 5.637 | 0.038 | 0.005 | 249.237 | 93.3 |
Март | 175.870 | 0.693 | 176.563 | 99.6 | ||||||
Апрель | 290.491 | 2.420 | 292.911 | 99.2 | ||||||
Май | 46.033 | 46.033 | 100 | |||||||
Июнь | 122.735 | 3.200 | 125.935 | 97.5 | ||||||
Июль | 199.425 | 27.498 | 226.923 | 87.9 | ||||||
Август | 22.233 | 22.233 | 100 | |||||||
Сентябрь | 16.272 | 16.272 | 100 | |||||||
Октябрь | 0.999 | 0.999 | 100 | |||||||
Ноябрь | 85.349 | 85.349 | 100 | |||||||
Декабрь | 366.538 | 3.017 | 7.864 | 3.194 | 15.241 | 0.034 | 395.888 | 92.6 | ||
Итого | 1683.646 | 7.315 | 15.910 | 0.645 | 15.391 | 59.667 | 0.612 | 0.005 | 1783.191 | 94.4 |
Доля,% | 94.4 | 0.4 | 0.9 | <0.1 | 0.9 | 3.3 | <0.1 | <0.1 | 100 |
Основным видом лова камбал, преимущественно северной двухлинейной, является снюрреводный промысел, в ходе которого добывается в среднем 95.3% годового вылова объекта. Однако большинство прибрежных судов снюрреводного лова, по всей видимости, подают информацию, указывая как координаты промысла координаты точек вблизи мест сдачи выловленной продукции у г. Северо-Курильск, что не позволяет проследить изменения мест нахождения промысловых скоплений рыб.
В итоге сезонная схема перемещений рыб в районе исследований показывает периодические движения рыб по направлению от шельфа к склону и обратно. Перемещения с северо-востока на юго-запад (и обратно) вдоль склона Северо-Курильских островов и Юго-Восточной Камчатки, как следует предполагать, осуществляются в переходные сезоны года. Есть отдельные зимовальные участки на юге и севере района исследований, от которых рыбы совершают весенние миграции в прибрежную зону островов через первоначальное распространение вдоль свала глубин. Осенью движение осуществляется в обратную сторону. Верхние участки континентального склона сохраняют свою значимость на протяжении всех сезонов года, что, видимо, объясняется оптимальными по своему термическому режиму условиями среды в этой промежуточной зоне, находящейся между тёплыми типично склоновыми водами и холодными водами шельфа.
Насколько полученные данные соответствуют уже опубликованной информации по биологии рыб в исследуемом районе? Последовательный анализ по массовым промысловым видам рыб, которых исследовали наиболее интенсивно, показывает следующую картину.
Минтай Северо-Курильского района относится к восточнокамчатской популяции вида, ареал которой первоначально распространялся на воды у Юго-Восточной Камчатки и северных Курильских островов (Золотов, Антонов, 1986; Антонов, 1991). Вместе с тем локальные нерестилища минтая отмечались не только в вышеуказанном районе, но формировались также севернее данного популяционного ареала – в Авачинском, Кроноцком и Камчатском заливах п-ова Камчатка. Морфометрический анализ показывал, что в ходе нагульных миграций вида рыбы восточнокамчатской популяции в существенных количествах присутствовали в Кроноцком заливе и в водах у Юго-Западной Камчатки. Популяционный статус минтая вышеуказанных заливов остаётся неясным, но в настоящее время отдельные исследователи стали относить его к восточнокамчатской популяции, смещая центр популяционного воспроизводства в глубоководные каньоны Авачинского и Кроноцкого заливов, а также считая воды у Северо-Курильских о-вов и зону Камчатского залива периферией группировки (Буслов, 2008; Варкентин, Саушкина, 2022).
Ранние ихтиопланктонные съёмки показывали, что, сформировавшись в конце марта в водах у Юго-Восточной Камчатки, центр размножения минтая постепенно смещался в приостровные воды Курильской гряды (Антонов, 1991). Пик нереста приходился на третью декаду апреля, рыбы нерестились преимущественно на глубинах 50–170 м при температуре воды ниже 0.5°C, вплоть до отрицательных значений.
Данные настоящего исследования по весеннему распределению взрослого минтая несколько расширяют известные диапазоны глубин и температур обитания и размножения вида, особенно в начальный период нереста – в марте–апреле. Массовые скопления минтая в это время находились на глубинах 100–300 м, смещаясь на участки с изобатами 50–200 м лишь ближе к концу размножения, в мае. Температура воды в зоне обитания минтая была явно выше 0.5°C ввиду преимущественного присутствия рыб на островном склоне в зоне изотерм 1.5–2.5°C. С выходом рыб на шельф, наблюдающимся в мае, температура обитания вида заметно понижалась и, действительно, могла достигать отрицательных значений.
Общая схема внутригодового перемещения минтая в пределах вод Юго-Восточной Камчатки и северных Курильских островов ранее была рассмотрена по результатам работы на японских промысловых судах тралового лова в 1990-х гг. (Буслов, 2001; Орлов, 2010; Промысел биоресурсов…, 2013). Было показано, что в период массового нереста в апреле–мае рыбы формировали скопления на шельфе и в верхней части континентального склона как у Юго-Восточной Камчатки, так и у о-вов Парамушир и Шумшу. В июне–октябре, во время активного нагула, рыбы смещались в южном направлении и равномерно рассредоточились по всей акватории с глубинами 200–400 м. Отмечено, что осенью минтай формирует скопления с повышенными концентрациями у юго-восточного побережья Камчатки, у центральной части о-ва Парамушир и у Четвёртого Курильского пролива (Орлов, 2010). В ноябре–декабре минтай концентрируется на свале в вышеуказанном диапазоне глубин. Эта схема в целом соответствует представлениям о сезонном распределении вида, составленном по итогам настоящего исследования, и также указывает на большую значимость зоны внешнего шельфа и верхней части континентального склона в жизненном цикле минтая данной популяции.
Рис. 16. Средняя глубина (●) ярусного промысла трески Gadus macrocephalus в разные месяцы в тихоокеанской подзоне Северо-Курильской зоны в 2006 (а), 2007 (б), 2009 (в), 2011 (г), 2013 (д), 2015 (е), 2021 (ж) гг. и тралового разноглубинного промысла минтая G. chalcogrammus в 2011 г. (з).
Исследования распределения и миграций тихоокеанской трески в океанских водах Северных Курил ранее были выполнены также в рамках сбора информации на японских промысловых судах в 1990-х гг. (Полтев, 1997; Орлов, 2010; Тихоокеанская треска …, 2013). Отмечено, что в разные сезоны года в указанном районе формируются два довольно стабильных по своему местоположению скопления трески – у Южной Камчатки и на юге от о-ва Парамушир – преимущественно на глубинах 100–250 м при температуре –0.5 … 4.5°C. В период массового нереста, в марте, рыбы держались на сходной глубине (140–270 м) при температуре –0.8 … 0.6°C. В летний период рыбы расширяли нагульный ареал в юго-западном направлении вплоть до зоны крупного гайота к югу от группы о-вов Онекотан – Шиашкотан. Исходя из постоянства основных мест обнаружения промысловых скоплений, считали, что треска не совершает значимых миграций за пределы района, что позволяет принимать её за местную популяционную группировку (Полтев, 1997; Орлов, 2010). В целом наши данные не противоречат результатам ранее проведённых исследований. Характер сезонного распределения вида формировался в условиях ежегодно меняющихся условий среды, но предпочитаемые диапазоны глубин и температур оказались достаточно близки, что указывает на их достоверность.
Что касается наваги, то имеющаяся информация по её сезонному распределению несколько не соответствует полученным данным. Ранее исследователи указывали, что после нереста в марте–апреле рыбы остаются возле берега на глубинах < 40 м (Сафронов, 1986). По данным настоящего исследования, уже в феврале скопление наваги было обнаружено на глубинах 100–150 м, т. е. в постнерестовый период локализация рыб на склоне наблюдается явно раньше. Осенью общее распределение наваги в целом охватывало всё прибрежье от м. Лопатка до юга о-ва Парамушир (Орлов, 2010; Орлов и др., 2011). Однако, несомненно, образуются и локальные скопления, которые были обнаружены, в том числе осенью, напротив о-ва Парамушир.
Северная двухлинейная камбала, обитающая в районе тихоокеанского побережья северных Курильских островов и Юго-Восточной Камчатки, была объединена в единую популяционную группировку также согласно местоположению локальных скоплений, пространственно связанных между собой (Бирюков, 2008; Промысел биоресурсов…, 2013). В тёплый период года скопления камбал были отмечены на глубинах 50–150 м при преимущественной температуре 0–1.6°C, а с похолоданием рыбы перемещались на глубины 150–260 м, где пределы варьирования температуры воды уменьшались до 0–0.7°C. По другой информации, зимой камбалы придерживались зоны свала глубин 225–350 м, летом – 100–175 м (Золотов и др., 2012). Нерест в основном отмечали в феврале–апреле на участках зимовальных скоплений либо в непосредственной близости от них. В целом в районе исследований были выделены, так же как у трески, северное (Юго-Восточная Камчатка) и южное (о. Парамушир) скопления, но между ними могло присутствовать и так называемое срединное скопление, что создавало картину непрерывного распределения рыб в районе (Бирюков, 2008; Орлов, 2010; Золотов и др., 2012). Характерным для данной популяции камбал считали отсутствие значимых сезонных перемещений рыб во вдольбереговом направлении. Наши исследования продемонстрировали сильную вариабельность в сезонном распределении камбал, но присутствие двух–трёх отдельных её зимовальных скоплений также было выявлено. В нагульный период года характерным явлением оказывалась высокая концентрация рыб в прибрежье о-ва Онекотан, о чём в предыдущих публикациях не упоминалось.
Характерное сезонное распределение рыб семейства рогатковых в районе северных Курильских островов уже было рассмотрено для некоторых видов ранее (Токранов, Орлов, 2012, 2013). Несмотря на мнение, что многоиглый керчак совершает сезонные перемещения у островов, средние глубины поимки вида с февраля по декабрь принимаются практически одинаковыми – 172–254 м (Токранов, Орлов, 2013). Явной тенденции в изменении батиметрического диапазона встречаемости многоиглого керчака обнаружено не было. Это противоречит полученным в ходе настоящего исследования данным, которые указывают на чёткое смещение скоплений вида на участки верхнего шельфа к тёплому периоду года с последующей миграцией на склон с приходом похолодания. Подобные же особенности сезонного распределения характерны для двух массовых видов шлемоносцев – узколобого и широколобого, а также белобрюхого получешуйника. По сведениям литературы, оба вида шлемоносцев на протяжении всего года обитают на глубинах 80–200 м, лишь зимой смещаясь на 200–250 м (Токранов, Орлов, 2012). Для белобрюхого получешуйника были описаны довольно значительные сезонные вертикальные миграции, в том числе связанные с прибрежным нерестом (Токранов, 1986). В значительной мере сходная картина была отмечена по результатам рассмотренных траловых учётных съёмок. Однако данные настоящей работы демонстрируют, что общая картина распределения массовых видов рыб в районе исследований не столь однозначна, приведённые сведения по траловым учётным съёмкам оказались более разнообразными, свидетельствуя о динамичности формирования скоплений видов у островов в разные годы и сезоны при периодическом изменении батиметрического диапазона обитания рыб, преимущественно в пределах нижней зоны шельфа и верхних участков континентального склона. Вместе с тем основные черты распределения минтая, трески и двухлинейной камбалы, отмеченные в районе исследований ранее, подтверждаются новой информацией и свидетельствуют в пользу явного популяционного статуса группировок, которые населяют воды у северных Курильских островов и Юго-Восточной Камчатки и формируют сезонные скопления в пределах локального географического ареала.
Заключение
Субарктическая структура водных масс вдоль тихоокеанского побережья Северо-Курильских о-вов в значительной мере определяет консервативность вертикальной (батиметрической) структурированности сезонных скоплений рыб. При этом динамичность потоков течений в приостровной области с бóльшим количеством проливов, видимо, приводит к существенной изменчивости местоположения скоплений рыб во вдольбереговом направлении в межгодовом и сезонном аспектах.
Общий цикл сезонных пространственных перемещений рыб в районе можно охарактеризовать следующим образом. В осенне-зимний период года, с похолоданием, ядро общей ихтиомассы перемещается в направлении верхнего склона Юго-Восточной Камчатки и южного выступа склона у о-ва Парамушир. В весенне-летний период, с потеплением, происходит динамичное смещение рыб вдоль склона на юг с выходом на меньшие глубины в зону шельфа. В это время рыбы распределяются вдоль всего побережья Северо-Курильских о-вов, образуя отдельные скопления не только на шельфе и верхних участках склона у о-вов Парамушир и Онекотан, но и на склонах Четвёртого Курильского пролива, и на склоне подводных гайотов у вышеуказанных островов. Батиметрический диапазон обитания рыб в целом изменяется от глубин 100–450 м в холодный период года до зоны 50–250 м в тёплый нагульный период. Места сезонных скоплений разных видов варьируют по годам, что, вероятно, обусловлено сильной изменчивостью условий среды обитания, определяемой сложным рельефом дна и высокой динамичностью вод вблизи островов.
About the authors
Сен Ток Ким
Сахалинский филиал Всероссийского научно-исследовательского института рыбного хозяйства и океанографии
Author for correspondence.
Email: n.kim@sakhniro.ru
Russian Federation, Южно-Сахалинск
References
- Антонов Н. П. 1991. Биология и динамика численности восточнокамчатского минтая: Автореф. дис. … канд. биол. наук. Владивосток: ТИНРО, 23 с.
- Биологические ресурсы Тихого океана. 1986. М.: Наука, 568 с.
- Бирюков И. А. 2008. Сезонное распределение, промысел и состояние запасов северной двухлинейной камбалы (Lepidopsetta polyxystra) тихоокеанского побережья северных Курильских островов и юго-восточной оконечности Камчатки // Тр. СахНИРО. Т. 10. С. 77–98.
- Богданов К. Т., Мороз В. В. 2000. Структура, динамика и гидролого-акустические характеристики вод проливов Курильской гряды. Владивосток: Дальнаука, 152 с.
- Борец Л. А. 2000. Аннотированный список рыб дальневосточных морей. Владивосток: Изд-во ТИНРО-центр, 192 с.
- Буслов А. В. 2001. Новые данные о распределении и миграциях минтая в тихоокеанских водах северных Курильских островов и юго-восточной Камчатки // Изв. ТИНРО. Т. 128. С. 1–13.
- Буслов А. В. 2008. Минтай восточного побережья Камчатки: современное состояние запасов и рекомендации по рациональной эксплуатации // Там же. Т. 152. С. 3–17.
- Вакульская Н. М., Дубина В. А., Плотников В. В. 2019. Вихревая структура Восточно-Камчатского течения по спутниковым наблюдениям // Физика геосфер. Вып. 1. Владивосток: Изд-во ТОИ ДВО РАН. С. 73–81. https://doi.org/10.35976/POI.2019.47.98.007
- Варкентин А. И., Саушкина Д. Я. 2022. О некоторых вопросах воспроизводства минтая в тихоокеанских водах, прилегающих к Камчатке и северным Курильским островам в 2013–2022 гг. // Тр. ВНИРО. Т. 189. С. 105–119. htpps://doi.org/10.36038/2307–3497–2022–189–105–119
- Власова Г. А., Деменок М. Н. 2013. Сезонная изменчивость циркуляции вод в верхнем квазиоднородном слое на акватории Южных Курил под влиянием синоптических процессов // Вестн. ДВО РАН. № 6. С. 90–100.
- Гидрометеорология и гидрохимия морей. 1998. Т. IX. Охотское море. Вып. 1. Гидрометеорологические условия. СПб.: Гидрометеоиздат, 342 с.
- Дудник Ю. И. 2000. Некоторые итоги специализированного лова и промысловый потенциал донных и придонных рыб на материковом склоне Охотского, Берингова морей и прилежащих районов Тихого океана в 1992–1997 гг. // Промыслово-биологические исследования рыб в тихоокеанских водах Курильских островов и прилежащих районах Охотского и Берингова морей в 1992–1998 гг. М.: Изд-во ВНИРО. С. 41–45.
- Дудник Ю. И., Орлов A. M., Ким Сен Ток, Тарасюк С. Н. 1995. Сырьевые ресурсы рыб материкового склона северных Курильских островов // Рыб. хоз-во. № 1. С. 24–28.
- Золотов А. О. 2021. Современный специализированный промысел морских рыб в западной части Берингова моря // Изв. ТИНРО. Т. 201. № 1. С. 76–101. https://doi.org/10.26428/1606–9919–2021–201–76–101
- Золотов О. Г., Антонов Н. П. 1986. О популяционной структуре восточнокамчатского минтая // Тресковые дальневосточных морей. Владивосток: Изд-во ТИНРО. С. 43–50.
- Золотов А. О., Дубинина А. Ю. 2013. Современное состояние запасов камбал тихоокеанского шельфа Камчатки и Северных Курил и проблемы регулирования их промысла // Тр. СахНИРО. Т. 14. С. 17–35.
- Золотов А. О., Дубинина А. Ю., Мельник Д. Я. 2012. Распределение и сезонные миграции северной двухлинейной камбалы Lepidopsetta polyxystra Orr et Matarese (2000) на тихоокеанском шельфе Камчатки и Северных Курил // Исслед. вод. биол. ресурсов Камчатки и сев.-зап. части Тихого океана. № 26. С. 53–68.
- Золотов А. О., Золотов О. Г., Спирин И. Ю. 2015. Многолетняя динамика биомассы и современный промысел северного одноперого терпуга Pleurogrammus monopterygius в тихоокеанских водах Камчатки и Курильских островов // Изв. ТИНРО. Т. 181. С. 3–22. https://doi.org/10.26428/1606–9919–2015–181–3–22
- Золотов А. О., Антонов Н. П., Мазникова О. А. 2020. Ресурсы трески Курильских островов: запасы и современный промысел // Рыб. хоз-во. № 4. С. 44–51. https://doi.org/10.37663/0131–6184–2020–4–44–51
- Ким Сен Ток. 2019. Многолетняя динамика запасов рыб в тихоокеанских водах северных Курильских островов по данным 1987–2015 гг. // Исслед. вод. биол. ресурсов Камчатки и сев.-зап. части Тихого океана. № 55. С. 174–187. https://doi.org/10.15853/2072–8212.2019.55.174–187
- Ким Сен Ток. 2022. Термический режим вод Японского, Охотского морей и Тихого океана, прилегающих к о. Сахалин и Курильским островам // Океанология. Т. 62. № 5. С. 690–704. https://doi.org/10.31857/S0030157422050173
- Линдберг Г. У., Красюкова З. В. 1975. Рыбы Японского моря и сопредельных частей Охотского и Желтого морей. Ч. 4. Л.: Наука, 464 с.
- Линдберг Г. У., Красюкова З. В. 1987. Рыбы Японского моря и сопредельных частей Охотского и Желтого морей. Ч. 5. Л.: Наука, 526 с.
- Линдберг Г. У., Федоров В. В. 1993. Рыбы Японского моря и сопредельных частей Охотского и Желтого морей. Ч. 6. СПб.: Наука, 272 с.
- Кошель С. М., Мусин О. Р. 2001. Методы цифрового моделирования: кригинг и радиальная интерполяция // Информ. бюл. ГИС-Ассоциации. № 2 (29)–3 (30). С. 23–24.
- Орлов А. М. 1998. Демерсальная ихтиофауна тихоокеанских вод северных Курильских островов и Юго-Восточной Камчатки // Биология моря. Т. 24. № 3. С. 146–160.
- Орлов А. М. 2004. Ихтиоцены нижнего шельфа и верхней батиали тихоокеанских вод северных Курильских островов и юго-восточного побережья Камчатки: Автореф. дис. … докт. биол. наук. М.: ВНИРО, 49 с.
- Орлов А. М. 2010. Количественное распределение демерсального нектона тихоокеанских вод северных Курильских островов и Юго-Восточной Камчатки. М.: Изд-во ВНИРО, 335 с.
- Орлов А. М., Абрамов А. А., Токранов А. М. 2007. Некоторые черты биологии малоглазого Albatrossia pectoralis и пепельного Coryphaenoides cinereus макрурусов в тихоокеанских водах северных Курильских островов и Юго-Восточной Камчатки // Докл. VII Междунар. науч. конф. “Сохранение биоразнообразия Камчатки и прилегающих морей”. Петропавловск-Камчатский: Камчатпресс. С. 120–148.
- Орлов А. М., Сабиров Р. М., Токранов А. М. 2011. Некоторые особенности распределения и биологии наваги Eleginus gracilis в тихоокеанских водах северных Курильских островов и Юго-Восточной Камчатки // Уч. зап. Казан. ун-та. Сер. Естеств. науки. Т. 153. Кн. 2. С. 274–291.
- Парин Н. В., Евсеенко С. А., Васильева Е. Д. 2014. Рыбы морей России: аннотированный каталог. М.: Т-во науч. изд. КМК, 733 с.
- Перцева-Остроумова Т.А. 1961. Размножение и развитие дальневосточных камбал. М.: Изд-во АН СССР, 485 с.
- Полтев Ю. Н. 1996. Некоторые особенности распределения тихоокеанской трески в районе океанских вод Юго-Восточной Камчатки и Северных Курил // Матер. науч. конф. “Рыбохозяйственные исследования океана”. Владивосток: Изд-во Дальрыбвтуз. С. 195–196.
- Полтев Ю. Н. 1997. Особенности пространственного распределения тихоокеанской трески Gadus macrocephalus в водах восточного побережья северных Курильских островов и южной оконечности Камчатки // Вопр. ихтиологии. Т. 47. № 6. С. 769–782.
- Промысел биоресурсов в водах Курильской гряды: современная структура, динамика и основные элементы. 2013. Южно-Сахалинск: Изд-во СахНИРО, 264 с.
- Сафронов С. Н. 1986. Тихоокеанская навага // Биологические ресурсы Тихого океана. М.: Наука. С. 201–212.
- Супранович Т. И. 1969. Гидрология проливов Курильской островной дуги. Л.: Гидрометеоиздат, 240 с.
- Таранец А. Я. 1937. Краткий определитель рыб советского Дальнего Востока и прилежащих вод // Изв. ТИНРО. Т. 11. 200 с.
- Тарасюк С. Н., Бирюков И. А., Володин А. В. и др. 2000. Анализ результатов экспериментального тралового промысла рыб материкового склона северных Курильских островов // Промыслово-биологические исследования рыб в тихоокеанских водах Курильских островов и прилежащих районах Охотского и Берингова морей в 1992–1998 гг. М.: Изд-во ВНИРО. С. 64–71.
- Тепнин О. Б. 2022. Изменчивость гидрологических условий в местах нереста восточнокамчатского минтая (Gadus chalcogrammus) в 2012–2022 гг. // Исслед. вод. биол. ресурсов Камчатки и сев.-зап. части Тихого океана. № 66. С. 79–93. https://doi.org/10.15853/2072–8212.2022.66.79–93
- Тихоокеанская треска дальневосточных вод России. 2013. М.: Изд-во ВНИРО, 320 с.
- Токранов А. М. 1986. Керчаки и получешуйные бычки // Биологические ресурсы Тихого океана. М.: Наука. С. 319–328.
- Токранов А. М., Орлов А. М. 2002. Распределение и некоторые черты биологии бурополосого Lycodes brunneofasciatus и белолинейного L. albolineatus ликодов (Zoarcidae) в тихоокеанских водах северных Курильских островов и Юго-Восточной Камчатки // Вопр. ихтиологии. Т. 42. № 5. С. 605–616.
- Токранов А. М., Орлов А. М. 2012. Особенности распределения и экологии двух видов рогатковых рыб рода Gymnocanthus (Cottidae) в тихоокеанских водах северных Курильских островов и Юго-Восточной Камчатки // Там же. Т. 52. № 6. С. 658–671.
- Токранов А. М., Орлов А. М. 2013. Особенности распределения, экология и динамика уловов многоиглого керчака Myoxocephalus polyacanthocephalus (Cottidae) в тихоокеанских водах северных Курильских островов и Юго-Восточной Камчатки // Биол. журн. Армении. Т. 65. Вып. 4. С. 44–52.
- Федоров В. В. 2000. Видовой состав, распределение и глубины обитания видов рыбообразных и рыб северных Курильских островов // Промыслово-биологические исследования рыб в тихоокеанских водах Курильских островов и прилежащих районах Охотского и Берингова морей в 1992–1998 гг. М.: Изд-во ВНИРО. С. 7–41.
- Федоров В. В., Черешнев И. А., Назаркин М. В. и др. 2003. Каталог морских и пресноводных рыб северной части Охотского моря. Владивосток: Дальнаука, 204 с.
- Храпченков Ф. Ф. 1989. Гидрологическая структура и распределение энергии вихрей Камчатского течения // Метеорология и гидрология. № 1. С. 65–71.
- Швецов Ф. Г. 1975. Основные черты биологии и состояние запасов двухлинейной камбалы охотоморского побережья островов Парамушир и Шумшу: Автореф. дис. … канд. биол. наук. Владивосток: ТИНРО, 22 с.
- Шейко Б. А., Федоров В. В. 2000. Класс Cephalaspidomorphi – Миноги. Класс Chondrichthyes – Хрящевые рыбы. Класс Holocephali – Цельноголовые. Класс Osteichthyes – Костные рыбы // Каталог позвоночных животных Камчатки и сопредельных морских акваторий. Петропавловск-Камчатский: Камчат. печат. двор. С. 7–69.
- Amaoka K., Nakaya K., Yabe M. 1995. The fishes of northern Japan. Sapporo: North Jpn. Pac. Ocean Center. 390 p.
- Orlov A. M., Tokranov A. M. 2008. Some ecological and biological features of giant and popeye grenadiers in the Pacific waters off the northern Kuril Islands and southeastern Kamchatka // Grenadiers of the world oceans: biology, stock assessment, and fisheries. Bethesda: Am. Fish. Soc. P. 225–260.
Supplementary files


















