Вкусовая привлекательность изомеров аминокислот для цихлидовых рыб (Cichlidae)
- Authors: Левина А.Д.1, Касумян А.О.1
-
Affiliations:
- Московский государственный университет
- Issue: Vol 64, No 1 (2024)
- Pages: 94-106
- Section: Articles
- URL: https://ogarev-online.ru/0042-8752/article/view/257289
- DOI: https://doi.org/10.31857/S0042875224010095
- EDN: https://elibrary.ru/HMRYNU
- ID: 257289
Cite item
Full Text
Abstract
Представлены результаты сравнения вкусовой привлекательности L-α- и D-α-изомеров аланина, аспарагиновой и глутаминовой кислот, триптофана, а также L-α- и L-β-изомеров аланина для мозамбикской Oreochromis mossambicus и нильской O. niloticus тиляпий, золотого меланохрома Melanochromis auratus, апельсинового неолампрологуса Neolamprologus leleupi и цихлазомы Хартвега Vieja hartwegi. Потребление агар-агаровых гранул с L-α- и D-α-изомерами аспарагиновой и глутаминовой кислот и триптофана различается у мозамбикской тиляпии и цихлазомы Хартвега, аланина и триптофана – у золотого меланохрома, аспарагиновой кислоты и триптофана – у апельсинового неолампрологуса, аспарагиновой кислоты – у нильской тиляпии. Вкусовая привлекательность L-α- и L-β-изомеров аланина достоверно разная у мозамбикской тиляпии, апельсинового неолампрологуса и цихлазомы Хартвега. Пищевое поведение, проявляемое цихлидами в ходе оросенсорного тестирования гранул, сходное и мало зависит от вкусовой привлекательности гранул. Все цихлиды совершают небольшое число отверганий и повторных схватываний гранул, большинство цихлид удерживают гранулы в ротовой полости многократно дольше по времени в опытах, завершающихся потреблением. Разные вкусовые свойства оптических и структурных изомеров аминокислот для исследованных цихлид указывают на видовую специфичность вкусовых предпочтений у рыб и свидетельствуют о том, что эти вещества являются важными химическими регуляторами трофических отношений в водных сообществах.
Full Text
Аминокислоты – одни из наиболее распространённых природных веществ. Они присутствуют во всех организмах, формируют белковые молекулы, регулируют многие физиологические функции, создают запаховые и вкусовые образы животных и растений (Olsén 1993; Aragão et al., 2004; Wu et al., 2013; Falco et al., 2020; Wu, 2021; Li et al., 2021а). В силу этих и ряда других особенностей аминокислоты широко используют в качестве адекватных раздражителей при изучении функциональных характеристик хемосенсорных систем рыб – обонятельной, вкусовой и общего химического чувства (Silver, Finger, 1984; Hara, 2007; Velez et al., 2007; Meredith, Kajiura, 2010; Yamamoto et al., 2013; Касумян, 2016). В большинстве исследований применяют L-α-изомеры аминокислот и значительно реже – аминокислоты с D-α-конфигурацией молекулы или β, а также иным положением аминогруппы. Вместе с тем многие D-α-изомеры и другие производные аминокислот также могут быть адекватными хемосенсорными стимулами, поскольку они встречаются в живых организмах, в том числе в объектах питания рыб (Corrigan, 1969; Felbeck, Wiley, 1987; Preston, 1987; Bruckner, Hausch, 1990; Li et al., 2021b). В хемосенсорных органах рыб найдены рецепторы, специфичные к взаимодействию с определёнными стереоизомерами аминокислот (Wegert, Caprio, 1991; Hara, 2007), причём D-α-изомеры некоторых аминокислот могут быть более эффективными раздражителями, чем соответствующие L-α-изомеры (Michell, Caprio, 1991). В составе ветвей вкусовых нервов, подходящих к вкусовым почкам, обнаружены нервные волокна, специфичные к D-α-изомерам (Michel, Caprio, 1991; Kohbara et al., 1992).
Наличие L-α- и D-α-изомеров и большого числа других производных, доступных в виде коммерческих препаратов, делает аминокислоты удобными для изучения хемосенсорных способностей рыб различать близкие по структуре вещества. Такие исследования осуществляют преимущественно методами электрофизиологии (Marui et al., 1983a, 1983b; Hara et al., 1993; Kohbara et al., 2002). Значительно реже исследования проводят с использованием поведенческих тестов, позволяющих сравнить вещества не только по интенсивности, но и по характеру вызываемых ими обонятельных или вкусовых ответов рыб (Sola, Tongiorgi, 1998; Kasumyan, Mouromtsev, 2020). Среди работ, выполненных поведенческими методами, крайне редки исследования, в специальные задачи которых входит сравнение вкусовых ответов рыб разных видов на сходные по структуре вещества. В связи с высокой видовой специфичностью вкусовых спектров особый интерес представляет сравнение вкусовых ответов на сходные вещества у близкородственных видов рыб (Kasumyan, Levina, 2023). Результаты таких исследований позволяют выяснить, ограничивается ли видовая специфичность вкусовых спектров лишь базовыми веществами или распространяется на изомеры, т. е. на вещества, одинаковые по атомному составу и молекулярной массе. Цель настоящего исследования – сравнить на примере цихлидовых рыб (Cichlidae) вкусовую привлекательность структурных (L-α, L-β) и оптических (L-α, D-α) изомеров аминокислот, различающихся соответственно по строению молекулы или по расположению атомов в пространстве, а также сравнить пищевое поведение, проявляемое рыбами при оросенсорном тестировании объектов, содержащих изомеры аминокислот.
МАТЕРИАЛ И МЕТОДИКА
Опыты выполнены на молоди мозамбикской тиляпии Oreochromis mossambicus (15 экз. абсолютной длиной 3.5–4.5 см), половозрелых особях нильской тиляпии O.niloticus (12 экз. 12.0–15.0 см) и цихлазомы Хартвега Vieja hartwegi (15 экз. 7.0–9.0 см), на близких к половой зрелости особях апельсинового неолампрологуса Neolamprologus leleupi (15 экз. 5.5–6.5 см) и золотого меланохрома Melanochromis auratus (15 экз. 6.0–7.0 см). Нильская и мозамбикская тиляпии предоставлены ООО Craft Tau Ltd. (Москва), остальные рыбы приобретены в аквариумной компании “Аква Лого” (Москва). После доставки в лабораторию рыб до начала опытов содержали в общих аквариумах (150–200 л) не менее двух недель при температуре воды 24°С и ежедневном кормлении живыми или свежезамороженными личинками Chironomidae.
Для опытов рыб размещали поодиночке в прямоугольные аквариумы (10 л) с непрозрачными, кроме передней, стенками, что предотвращало возможность зрительных контактов между соседними рыбами. Воду в каждом аквариуме аэрировали микрокомпрессорами А3Н-4 (“Киевское научно-производственное объединение реле и автоматики”, СССР), температуру воды (~ 24°С) поддерживали регулируемыми термонагревателями Aquael Easy Heater 25 W (Aquael, Польша). Искусственное освещение аквариумов отсутствовало. Рыб кормили живыми личинками хирономид один раз в сутки (~ 18:00) после завершения опытов, излишки корма удаляли через 15 мин после его внесения в аквариум.
До начала опытов в течение 2–3 сут рыб обучали схватывать подаваемых поштучно живых личинок хирономид, а затем подаваемые поштучно гранулы, вырезанные из агар-агарового 2%-ного геля Reanal, а также содержащие водный экстракт личинок хирономид (175 г/л) и 5 мкМ красителя Ponceau 4R (Chroma-Gesellschaft Schmidt Gmbh, Германия). Обучение завершали после того, как все рыбы подплывали и быстрым броском схватывали поданную гранулу в течение первых 2–3 с после падения её в воду. Игнорирование обученными рыбами поданной в аквариум гранулы происходило крайне редко.
В опытах рыбам поштучно подавали гранулы, содержащие вместе с красителем одно из девяти веществ: L-α- или D-α-аспарагиновую кислоту (0.01 М), L-α- или D-α-глутаминовую кислоту (0.01 М), L-α- или D-α-триптофан (0.01 М), либо L-α-, D-α- или L-β-аланин (0.1 М) (Sigma, США; Fluka, Швейцария). Подачу гранул с веществами чередовали с подачей контрольных гранул, а также с подачей гранул с экстрактом личинок хирономид для оценки пищевой мотивации опытных рыб. Вещества или экстракт личинок хирономид вместе с красителем вносили в горячий раствор агар-агара (60–70°С). Контрольные гранулы содержали только краситель. Агар-агаровый гель с экстрактом хранили при 5°С не более 3 сут, остальные – до двух недель при тех же условиях. Гранулы вырезали из геля тонкостенной трубкой из нержавеющей стали непосредственно перед внесением их в аквариум. Все гранулы имели длину 4 мм, диаметр гранул соответствовал размерам ротового отверстия рыб: 2.00 мм в опытах с нильской тиляпией и цихлазомой Хартвега, 1.35 мм – в опытах с золотым меланохромом и апельсиновым неолампрологусом, 0.95 мм – в опытах с мозамбикской тиляпией.
В каждом опыте регистрировали число схватываний рыбой внесённой в аквариум гранулы, продолжительность удержания гранулы после первого схватывания и в течение всего опыта, а также потребление гранулы – была ли она проглочена или отвергнута рыбой к концу опыта. Об отказе от потребления судили по прекращению повторных схватываний гранулы и потери рыбой интереса к ней. Каждый опыт продолжался ~ 1–2 мин. Если рыба не схватывала поданную гранулу или потребление гранулы невозможно было определить из-за её измельчения рыбой на мелкие фрагменты, опыт не учитывали. Несъеденную гранулу или её фрагменты удаляли из аквариума сразу после окончания опыта. Гранулы с разными веществами подавали рыбам в случайной последовательности, с каждой рыбой выполняли равное число опытов с каждым типом гранул. Интервал между опытами был не менее 10–15 мин. В течение дня каждая из рыб получала не более 30–35 гранул. Детальная процедура приготовления гранул и проведения опытов изложена ранее (Levina et al., 2021).
Опыты на разных видах рыб выполнены последовательными сессиями. Общее число выполненных опытов – 4956, из них на нильской тиляпии – 1394, мозамбикской тиляпии – 885, золотом меланохроме – 943, апельсиновом неолампрологусе – 840, цихлазоме Хартвега – 894. Для статистического анализа результатов использовали критерий χ2 (сравнение потребления гранул), U-критерий Манна–Уитни (сравнение по числу схватываний и продолжительности удержаний гранул). Вычисляли также индекс вкусовой привлекательности по формуле: Indpal = (R – C)/(R + C) × 100, где R – потребление гранул с веществом, %; C – потребление контрольных гранул, %.
РЕЗУЛЬТАТЫ
Фоновое поведение рыб
Нильская и мозамбикская тиляпии спокойно перемещаются по всему аквариуму, поданную гранулу схватывают коротким и быстрым броском в течение нескольких секунд после падения её в воду. Золотой меланохром предпочитает бо́льшую часть времени проводить неподвижно у задней стенки аквариума за обогревателем, неолампрологус также малоподвижен, чаще располагается у дна вблизи обогревателя. Меланохром и неолампрологус схватывают гранулу быстрым прицельным броском и обычно вновь возвращаются в исходную точку. Цихлазома Хартвега постоянно перемещается по аквариуму, может выпрыгивать из воды, поданную гранулу схватывает практически мгновенно.
Отвергания и повторные схватывания гранулы рыбы всех видов совершают редко, наименее характерны они для цихлазомы Хартвега, нильской тиляпии и апельсинового неолампрологуса. Контрольные гранулы наиболее охотно потребляют нильская тиляпия и цихлазома Хартвега, хуже – золотой меланохром и мозамбикская тиляпия, наименее охотно – апельсиновый неолампрологус. Потребление гранул с экстрактом личинок хирономид, используемых для поддержания у рыб выработанного навыка схватывать гранулы и для контроля пищевой мотивации, высокое у всех видов – 77–94%.
Реакция на гранулы с веществами
Нильская тиляпия. Потребление и другие параметры ответа рыб на гранулы с изомерами и на контрольные гранулы статистически не различаются, за исключением вкусовых ответов на D-α-аспарагиновую кислоту, вызывающую небольшое, но значимое снижение потребления и продолжительности удержания гранулы – в 1.2 раза. При сравнении L-α- и D-α-изомеров значимое различие обнаружено только для аспарагиновой кислоты – гранулы с L-α-изомером рыбы потребляют в 1.5 раза лучше (p < 0.01) (табл. 1, рис. 1).
Таблица 1. Потребление гранул (М ± m) с изомерами аминокислот нильской Oreochromis niloticus и мозамбикской O. mossambicus тиляпиями, золотым меланохромом Melanochromis auratus, апельсиновым неолампрологусом Neolamprologus leleupi и цихлазомой Хартвега Vieja hartwegi
Изомер | Концентрация, М | Oreochromis niloticus | Oreochromis mossambicus | Melanochromis auratus | Neolamprologus leleupi | Vieja hartwegi | |||||
C | n | C | n | C | n | C | n | C | n | ||
L-α-аспарагиновая кислота | 0.01 | 75.0 ± 5.1 | 72 | 47.1 ± 6.1 | 68 | 27.1 ± 5.4* | 70 | 10.8 ± 3.9** | 65 | 68.1 ± 5.7 | 69 |
D-α-аспарагиновая кислота | 0.01 | 50.7 ± 5.9 | 73 | 21.7 ± 5.0* | 69 | 31.4 ± 5.6 | 70 | 25.0 ± 5.3 | 68 | 79.4 ± 4.9** | 68 |
L-α-глутаминовая кислота | 0.01 | 68.9 ± 5.4 | 74 | 49.3 ± 6.1 | 69 | 41.9 ± 5.8 | 74 | 19.1 ± 5.0 | 63 | 68.6 ± 6.0 | 70 |
D-α-глутаминовая кислота | 0.01 | 67.6 ± 5.5 | 74 | 19.4 ± 4.9*** | 67 | 52.0 ± 5.9 | 75 | 12.3 ± 4.1** | 65 | 86.4 ± 4.3*** | 66 |
L-α-триптофан | 0.01 | 62.1 ± 5.7 | 74 | 51.4 ± 6.2 | 70 | 42.9 ± 6.1 | 70 | 16.4 ± 4.6* | 67 | 66.7 ± 5.7 | 69 |
D-α-триптофан | 0.01 | 62.7 ± 5.6 | 75 | 23.2 ± 5.2* | 69 | 21.4 ± 5.0** | 70 | 31.8 ± 5.9 | 63 | 77.9 ± 5.1** | 68 |
L-α-аланин | 0.10 | 63.5 ± 5.6 | 74 | 58.0 ± 6.0 | 69 | 68.0 ± 5.5** | 75 | 27.4 ± 5.7 | 62 | 66.7 ± 5.7 | 69 |
D-α-аланин | 0.10 | 59.5 ± 5.7 | 74 | 40.3 ± 6.1 | 67 | 64.9 ± 5.6* | 74 | 31.2 ± 6.0 | 61 | 64.7 ± 5.8 | 69 |
L-β-аланин | 0.10 | 58.9 ± 5.8 | 73 | 31.8 ± 5.8 | 66 | 46.7 ± 5.8 | 75 | 12.5 ± 3.5** | 64 | 42.0 ± 6.0* | 69 |
Экстракт Chironomidae | 175.00 | 93.6 ± 1.3*** | 374 | 84.7 ± 3.2*** | 131 | 86.2 ± 2.9*** | 145 | 77.3 ± 3.7*** | 128 | 77.1 ± 3.6* | 140 |
Контроль | 63.0 ± 2.6 | 357 | 41.4 ± 4.2 | 140 | 46.9 ± 4.2 | 145 | 34.6 ± 4.1 | 134 | 58.4 ± 4.2 | 137 | |
Примечание. C – потребление гранул, %; n – число опытов, M ± m – среднее значение показателя и его ошибка; концентрация экстракта Chironomidae приведена в г/л; отличия от контроля достоверны при р: * < 0.05, ** < 0.01, *** < 0.001.
Рис. 1. Параметры вкусового ответа на гранулы с изомерами аминокислот и экстрактом Chironomidae у нильской Oreochromis niloticus и мозамбикской O. mossambicus тиляпий, золотого меланохрома Melanochromis auratus, апельсинового неолампрологуса Neolamprologus leleupi и цихлазомы Хартвега Vieja hartwegi: а – число схватываний гранулы; б, в – продолжительность удержания гранулы после первого схватывания (б) и в течение всего опыта (в). Тип гранул: 1–3 (0.1 М): 1 – L-α-аланин, 2 – D-α-аланин, 3 – L-β-аланин; 4–9 (0.01 М): 4 – L-α-аспарагиновая кислота, 5 – D-α-аспарагиновая кислота, 6 – L-α-глутаминовая кислота, 7 – D-α-глутаминовая кислота, 8 – L-α-триптофан, 9 – D-α-триптофан; 10 – экстракт Chironomidae (175 г/л), 11 – контроль; () – ошибка средней; отличия потребления гранул с веществами от контроля достоверны при р: * < 0.05, ** < 0.01, *** < 0.001.
Мозамбикская тиляпия. D-α-изомеры триптофана, аспарагиновой и глутаминовой кислот значимо снижают потребление гранул, по сравнению с контролем, все остальные вещества влияние на потребление гранул не оказывают. Гранулы с D-α-глутаминовой кислотой рыбы удерживают более короткое время, чем контрольные (в 1.7–1.8 раза). Гранулы с D-α- изомерами всех аминокислот рыбы потребляют достоверно хуже, чем гранулы с L-α-изомерами. Удержание в ротовой полости гранул с D-α- аспарагиновой и D-α-глутаминовой кислотами занимает значимо менее продолжительное время, чем удержание гранул с L-α-изомерами. Гранулы с L-β-аланином достоверно менее привлекательны, рыбы их удерживают в ротовой полости менее продолжительное время, чем гранулы с L-α-аланином (табл. 1, рис. 1).
Золотой меланохром. Присутствие L-α- аланина и L-β-аланина в составе гранул вызывает невысокое, но значимое повышение их потребления, D-α-триптофан снижает потребление гранул (в два раза). Гранулы с остальными веществами рыбы потребляют столь же охотно, что и контрольные. Потребление гранул с D-α-изомерами аланина и триптофана значимо ниже, чем гранул с L-α-изомерами этих аминокислот. Удержание гранул с D-α-изомером аланина менее длительное, чем гранул с L-α-аланином (в 1.3 раза) (табл. 1, рис. 1).
Апельсиновый неолампрологус. Гранулы с D-α-глутаминовой кислотой, с L-α-аспарагиновой кислотой, L-α-триптофаном и с L-β-аланином рыбы потребляют хуже, чем контрольные гранулы, но другие параметры ответа сходны с ответами на контрольные гранулы. Потребление гранул с L-α-изомерами аспарагиновой кислоты и триптофана хуже, чем гранул с D-α-изомерами этих аминокислот, потребление гранул с L-β-аланином хуже, чем гранул L-α-аланином (табл. 1, рис. 1).
Цихлазома Хартвега. D-α-изомеры глутаминовой и аспарагиновой кислот и триптофана повышают, а L-β-аланин снижает потребление гранул, по сравнению с контролем. Потребление гранул с L-α-глутаминовой кислотой хуже, чем с её D-α-изомером, а гранул с L-β-аланином – хуже, чем с L-α-аланином. Другие параметры ответа на гранулы с веществами сходны с ответами на контрольные гранулы (табл. 1, рис. 1).
Оросенсорное тестирование при заглатывании и отвергании гранул
Оросенсорное тестирование гранул различается в опытах, завершающихся проглатыванием гранулы (ПГ-опыты), и в опытах, в которых гранула в итоге отвергается (ОГ-опыты). Различие между этими двумя возможными вариантами опытов по числу схватываний гранулы не больше, чем в 1.2–1.4 раза. У цихлазомы Хартвега достоверные различия найдены для шести типов гранул, у мозамбикской тиляпии и золотого меланохрома соответственно у одного и двух типов гранул, у нильской тиляпии и апельсинового неолампрологуса такие различия отсутствуют (рис. 2а).
Различия между ПГ- и ОГ-опытами выражены сильнее при сравнении продолжительности удержания рыбами гранулы после первого схватывания и в течение всего опыта. У тиляпий нильской, мозамбикской и золотого меланохрома высокодостоверные различия (p < 0.001) выявлены для всех типов гранул, у цихлазомы Хартвега – для 10 типов гранул из 11. У мозамбикской тиляпии и золотого меланохрома эти различия достигают соответственно 4–7 и 6–16 раз, у нильской тиляпии и цихлазомы Хартвега – до двух раз (рис. 2б, 2в).
Рис. 2. Параметры вкусового ответа в опытах, завершившихся потреблением (n) и отверганием (n) гранул c изомерами аминокислот и экстрактом Chironomidae у нильской Oreochromis niloticus и мозамбикской O. mossambicus тиляпий, золотого меланохрома Melanochromis auratus, апельсинового неолампрологуса Neolamprologus leleupi и цихлазомы Хартвега Vieja hartwegi: а – число схватываний гранулы; б, в – продолжительность удержания гранулы после первого схватывания (б) и в течение всего опыта (в); различия в парах опытов достоверны при р: * < 0.05, ** < 0.01, *** < 0.001. Ост. обозначения см. на рис. 1.
ОБСУЖДЕНИЕ
Выполненное исследование показывает, что оптические (L-α-, D-α-) и структурные (α-, β-) изомеры аминокислот обладают разными вкусовыми качествами для цихлидовых рыб. Вкусовая привлекательность L-α- и D-α-энантиомеров у трёх из четырёх протестированных аминокислот достоверно различается для мозамбикской тиляпии и цихлазомы Хартвега (у обоих видов – аспарагиновая и глутаминовая кислоты, триптофан), у двух аминокислот – для золотого меланохрома (аланин, триптофан) и апельсинового неолампрологуса (аспарагиновая кислота, триптофан) и у одной аминокислоты – для нильской тиляпии (аспарагиновая кислота). Энантиомеры аспарагиновой кислоты и триптофана имеют разную вкусовую привлекательность для четырёх видов цихлидовых рыб из пяти – соответственно для нильской и мозамбикской тиляпий, апельсинового неолампрологуса и цихлазомы Хартвега; и для мозамбикской тиляпии, золотого меланохрома, апельсинового неолампрологуса и цихлазомы Хартвега. Между L-α- и D-α-глутаминовыми кислотами такие различия выявлены только у мозамбикской тиляпии и цихлазомы Хартвега, между L-α- и D-α-изомерами аланина – только у золотого меланохрома. Вкусовая привлекательность L-α- и L-β-форм аминокислот достоверно разная для трёх видов цихлидовых рыб – мозамбикской тиляпии, апельсинового неолампрологуса и цихлазомы Хартвега (табл. 2, рис. 3). Полученные результаты показывают, что вещества, одинаковые по атомному составу и молекулярной массе, но различающиеся по строению (структурная изомерия) или по расположению атомов в пространстве (оптическая изомерия), имеют для цихлидовых рыб разные вкусовые свойства. Способность различать вкус изомеров аминокислот ранее была продемонстрирована на примере отдельных аминокислот лишь для некоторых видов рыб – трёхиглой колюшки Gasterosteus aculeatus и мраморного гурами Trichopodus trichopterus (Касумян, Михайлова, 2017; Kasumyan, Mouromtsev, 2020).
Таблица 2. Соотношение вкусовой привлекательности изомеров аминокислот для рыб разных видов
Изомер | Oreochromis niloticus | Oreochromis mossambicus | Melanochromis auratus | Neolamprologus leleupi | Vieja hartwegi | Gasterosteus aculeatus | Trichopodus trichopterus |
L-α-Ala : D-α-Ala | = | = | > | = | = | > | > |
L-α-Asp : D-α-Asp | > | > | = | < | < | ||
L-α-Glu : D-α-Glu | = | > | = | = | < | = | |
L-α-Trp : D-α-Trp | = | > | > | < | < | ||
L-α-Ala : L-β-Ala | = | > | = | > | > | > | > |
Примечание. Ala – аланин, Asp – аспарагиновая кислота, Glu – глутаминовая кислота, Trp – триптофан; “>”, “<” – соответственно более высокая и более низкая вкусовая привлекательность L-α-изомера или L-α-Ala; “=” – отсутствие различий между вкусовой привлекательностью L-α- и D-α-изомеров или между L-α-Ala и L-β-Ala. Для трёхиглой колюшки Gasterosteus aculeatus и мраморного гурами Trichopodus trichopterus использованы сведения соответственно по: Касумян, Михайлова, 2017; Kasumyan, Mouromtsev, 2020.
Рис. 3. Индекс вкусовой привлекательности изомеров аминокислот для нильской Oreochromis niloticus и мозамбикской O. mossambicus тиляпий, золотого меланохрома Melanochromis auratus, апельсинового неолампрологуса Neolamprologus leleupi и цихлазомы Хартвега Vieja hartwegi. Различия потребления гранул с разными веществами достоверны при р: ● < 0.05, ●● < 0.01, ●●● < 0.001; ост. обозначения см. на рис. 1.
Потребление цихлидовыми рыбами гранул достоверно лучше для L-α-изомеров в шести случаях, для D-α-изомеров – в пяти случаях, в остальных девяти случаях различия отсутствуют (табл. 2). Сходное соотношение потребления гранул с изомерами аминокислот получено для трёхиглой колюшки и мраморного гурами (Касумян, Михайлова, 2017; Kasumyan, Mouromtsev, 2020).
В электрофизиологических экспериментах амплитуда ответов обычно выше на L-α-, чем на D-α-изомеры, – у канального сома Ictalurus punctatus (аланин, треонин, аргинин, серин), японского угря Anguilla japonica (аланин, аргинин, серин), амурского чебачка Pseudorasbora parva (аланин, пролин), радужной форели Oncorhynchus mykiss (аланин, аргинин), карпа Cyprinus carpio (аланин, цистеин, серин), ариопсиса-кошки Ariopsis felis (аланин, гистидин, аргинин, пролин), мраморного морского окунька Sebastiscus marmoratus (аланин, пролин, валин), японского угрехвостого сома Plotosus japonicus (аланин, пролин) (Caprio, 1975; Yoshii et al., 1979; Kiyohara et al., 1981; Marui et al., 1983a, 1983b; Michel et al., 1993; Kohbara et al., 2002; Caprio et al., 2015). Однако встречаются и обратные примеры, когда амплитуда ответов на изомеры D-α выше, чем на L-α, например у ариопсиса-кошки (метио- нин) и мраморного морского окунька (триптофан) (Michel et al., 1993; Kohbara et al., 2002).
Таким образом, результаты поведенческого и электрофизиологического тестирований хорошо согласуются между собой и свидетельствуют о том, что L-α- и D-α-изомеры аминокислот являются разными раздражителями для вкусовых рецепторов и стимулируют у рыб разные по интенсивности и характеру ответы. Это соответствует представлениям о наличии у рыб специализированных вкусовых рецепторов не только для разных аминокислот, но и для разных стереоизомеров (Wegert, Caprio, 1991; Michel et al., 1993; Hara, 2007). Стереоизомеры аминокислот имеют разные вкусовые качества и для других позвоночных (Iwasaki et al., 1985). Для человека D-α-изомеры многих аминокислот ощущаются сладкими, тогда как их L-α-изомеры могут быть горькими (триптофан, гистидин). У других аминокислот горькими ощущаются D-α-изомеры (пролин), а L-α- и D-α-изомеры воспринимаются одинаково сладкими (аланин) или обладающими близким вкусом – сладковатым (серин) или кисловатым (аспарагиновая и глутаминовая кислоты) (Schiffman, Sennewald, 1981; Kawai et al., 2012).
Соотношение вкусовых качеств L-α- и L-β-форм аминокислот в целом у рыб сходное. Для большинства цихлидовых рыб (для трёх видов из пяти) L-α-изомер аланина намного более привлекателен по вкусу, чем L-β-форма. Такие же результаты получены при сравнении вкусовой привлекательности L-α- и L-β-форм аланина для трёхиглой колюшки и мраморного гурами (табл. 2). При электрофизиологических испытаниях L-α-аланин вызывает более сильные ответы во вкусовых нервах, чем его L-β-форма у исследованных рыб – канального сома, японского угря, амурского чебачка, радужной форели, карпа, африканского клариевого сома Clarias gariepinus (Caprio, 1975; Yoshii et al., 1979; Kiyohara et al., 1981; Marui et al., 1983a, 1983b; Tiancheng, Yiming, 1994). Однако для радужной форели эффективность L-α- и L-β-форм аланина в поведенческом тесте оказалась сходной (Jones, 1990). Интересно, что, в отличие от аланина, L-α-лейцин и L-β-лейцин (изолейцин) различаются по вкусовой привлекательности слабо – для большинства рыб они имеют индифферентный вкус (Касумян, 2016).
Вкусовые предпочтения, проявляемые разными цихлидовыми рыбами к изомерам аминокислот, не совпадают (табл. 2). Для цихлазомы Хартвега, в отличие от других цихлид, вкусовая привлекательность L-α-изомеров почти всех аминокислот ниже, чем у D-α-изомеров, тогда как для мозамбикской тиляпии L-α-изомеры почти всех аминокислот имеют более привлекательный вкус, чем D-α-изомеры. Для близкородственной нильской тиляпии изомеры всех аминокислот, за исключением аспарагиновой кислоты, обладают сходными вкусовыми свойствами. Это даёт основание предполагать, что цихлидам присуща видовая специфичность вкусовых предпочтений, выявленная ранее у рыб других семейств (Касумян, Исаева, 2023; Kasumyan, Levina, 2023). Чтобы обосновать это предположение, требуются исследования с использованием более широкого спектра вкусовых веществ и числа сравниваемых видов цихлид.
Необходимо отметить стабильность вкусовых предпочтений рыб – свойство, важное при проведении сравнительных исследований. Потребление и другие параметры ответа мозамбикской тиляпии на гранулы с аминокислотами, экстрактом хирономид и контрольные гранулы в разных сериях экспериментов близки (рис. 4). Ранее на примере нильской тиляпии было показано сходство вкусовых ответов на гранулы с аминокислотами у ювенильных и половозрелых рыб, что также важно при сравнительных исследованиях, поскольку совпадение опытных рыб по возрасту не всегда удаётся соблюсти (Касумян, Левина, 2023).
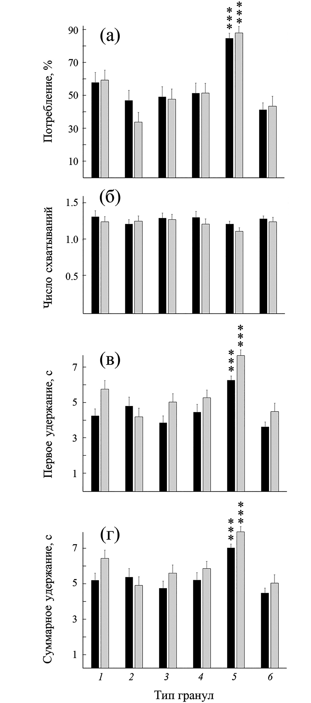
Рис. 4. Параметры вкусового ответа на гранулы с аминокислотами и экстрактом Chironomidae у мозамбикской тиляпии Oreochromis mossambicus по результатам настоящего исследования (■) и сведениям по: Kasumyan, Levina, 2023 (): а – потребление гранул, б – число схватываний гранулы; в, г – продолжительность удержания гранулы после первого схватывания (в) и в течение всего опыта (г). Тип гранул: 1 – L-α-аланин (0.1 М), 2 – L-α-аспарагиновая кислота (0.01 М), 3 – L-α-глутаминовая кислота (0.01 М), 4 – L-α-триптофан (0.1 М), 5 – экстракт Chironomidae (175 г/л), 6 – контроль; ост. обозначения см. на рис. 1.
Пищевое поведение, проявляемое цихлидами в ходе тестирования гранул, сходно и мало зависит от вкусовой привлекательности гранул. Все цихлиды совершают небольшое число отверганий и повторных схватываний тестируемой гранулы, что, возможно, связано с социальным образом жизни. Как известно, у социальных рыб партнёры по группе могут перехватывать пищевой объект при подобных манипуляциях (Gill, Hart, 1996). Средняя продолжительность удержания гранулы в ротовой полости варьирует у большинства цихлид в диапазоне 4–6 с. Апельсиновый неолампрологус удерживает гранулу около 3–4 с, тогда как золотому меланохрому для заглатывания или окончательного отказа от потребления гранулы требуется значительно больше времени – до 9–10 с, а для некоторых гранул (экстракт хирономид) – до 13 с.
Поведение, проявляемое при оросенсорном тестировании пищи, скорее всего, имеет отношение к образу жизни цихлид, стратегии их пищевого поведения и к питанию. В пище золотого меланохрома доминируют сине-зелёные, зелёные и диатомовые водоросли, образующие водорослевые обрастания камней и скал (Ribbink et al., 1983; Reinthal, 1990; Froese, Pauly, 2022). Планктонные и бентосные животные могут присутствовать в пище меланохрома, но, по-видимому, как сопутствующие организмы. Неолампрологус, проявляющий территориальность, а в аквариумных условиях – агрессивность, питается в природе преимущественно креветками (Limnocaridina latipes – до 80% массы потреблённой пищи). Своих жертв неолампрологус схватывает в дневное время поштучно быстрыми бросками (Konings, 1991, 2005; Yuma, 1994, 1998; Smith, 2008). Нельзя исключать, что именно характер кормовых объектов (прикреплённые растения, подвижные животные), образ жизни и условия питания рыб (освещённость, прозрачность воды, наличие укрытий, территориальность, агрессивность и др.) определяют специфические черты поведения тестирования гранул у цихлид.
Американская цихлида – цихлазома Хартвега, питающаяся детритом и скрытыми в нём донными беспозвоночными, совершает большее число повторных схватываний перед заглатыванием гранулы, что отличает цихлазому от всех остальных исследованных нами цихлид, но характерно для некоторых других рыб (Касумян, Исаева, 2023). Интересной особенностью пищевого поведения неолампрологуса является отсутствие различий в тестировании гранул в ПГ- и ОГ- опытах (рис. 3). Это отличает неолампрологуса не только от других цихлид, но и от большинства ранее исследованных видов рыб (Виноградская и др., 2017; Касумян, Исаева, 2023). Остальные цихлиды, особенно меланохром, затрачивают на удержание гранул в ПГ-опытах многократно больше времени, чем в ОГ-опытах. Возможно, определение оросенсорных качеств или внутриротовая обработка водорослей, которыми питается меланохром, требует больше времени, чем тестирование пищи у других рыб. Для более строгих утверждений необходимо использование большего числа вкусовых веществ и видов рыб.
Таким образом, выполненное исследование показывает, что структурные и оптические изомеры аминокислот обладают для цихлидовых рыб разными вкусовыми свойствами. Поскольку эти вещества широко распространены в животных и растениях, а вкусовые предпочтения к этим веществам у рыб различаются, можно считать, что изомеры аминокислот являются важными химическими регуляторами трофических отношений в водных сообществах. В связи со взрывным симпатрическим видообразованием и появлением пучков видов-эндемиков цихлид в Великих Африканских озёрах и в некоторых других изолированных водоёмах, дальнейшее изучение вкусовых предпочтений у цихлидовых рыб представляет больший интерес (Brawand et al., 2014; Ronco et al., 2021; Wagner, 2021). Сосуществование многочисленных эндемичных цихлид достигается благодаря презиготической изоляции, в основном за счёт разных зрительных предпочтений, регулирующих выбор и взаимоотношения между зрелыми самками и самцами; различиям в их акустических и обонятельных коммуникациях; расхождению рыб разных видов по репродуктивному и иным формам поведения, по предпочитаемым биотопам и объектам питания (Blais et al., 2007; Hofmann et al., 2009; Danley et al., 2012; Burress, 2015; DeLorenzo et al., 2022). Вкусовые предпочтения у рыб, несмотря на онтогенетическую устойчивость к действию различных абиотических и биотических факторов, способны к относительно быстрым эволюционным изменениям (Kasumyan, 2019; Kasumyan, Levina, 2023). Поскольку именно вкусовая рецепция является основным сенсорным механизмом, определяющим селективность питания разных видов рыб, сравнительные исследования вкусовых предпочтений у цихлид, особенно принадлежащих к одной эндемичной группе, представляют особый интерес. Такие исследования позволят понять, в какой мере вкусовая рецепция обеспечивает трофическую дивергенцию у симпатрических видов рыб, насколько сходными или различающимся могут быть вкусовые предпочтения у близкородственных рыб одной или разных трофических категорий.
БЛАГОДАРНОСТИ
Авторы искренне благодарны Л.Р. Тауфику (ООО Craft Tau Ltd.) за предоставление нильской и мозамбикской тиляпий для опытов, Е.А. Марусову (МГУ) за высказанные замечания к тексту статьи, А.А. Кажлаеву (МГУ) за содержание рыб и Л.С. Алексеевой (МГУ) за помощь в оформлении статьи.
ФИНАНСИРОВАНИЕ РАБОТЫ
Исследование выполнено за счёт гранта Российского научного фонда № 22-24-00125.
About the authors
А. Д. Левина
Московский государственный университет
Author for correspondence.
Email: alex_kasumyan@mail.ru
Russian Federation, Москва
А. О. Касумян
Московский государственный университет
Email: alex_kasumyan@mail.ru
Russian Federation, Москва
References
- Виноградская М.И., Михайлова Е.С., Касумян А.О. 2017. Вкусовые предпочтения, оросенсорное тестирование и генерация звуков при питании у жемчужного гурами Trichopodus leerii (Osphronemidae) // Вопр. ихтиологии. Т. 57. № 3. С. 324–337. https://doi.org/10.7868/S004287521703016X
- Касумян A.O. 2016. Вкусовая привлекательность и физико-химические и биологические свойства свободных аминокислот (на примере рыб) // Журн. эволюц. биохимии и физиологии. Т. 52. № 4. С. 245–254.
- Касумян А.О., Исаева О.М. 2023. Вкусовые предпочтения карповых рыб (Cyprinidae). Сравнительное исследование // Вопр. ихтиологии. Т. 63. № 1. С. 81–109. https://doi.org/10.31857/S0042875223010071
- Касумян А.О., Левина А.Д. 2023. Сравнение вкусовой рецепции и пищевого поведения у нильской тиляпии Oreochromis niloticus (Cichlidae) разного возраста // Там же. Т. 63. № 4. С. 462–471. https://doi.org/10.31857/S0042875223030086
- Касумян А.О., Михайлова Е.С. 2017. Вкусовая привлекательность стереоизомеров и других производных аминокислот для рыб // Журн. эволюц. биохимии и физиологии. Т. 53. № 4. С. 282–287.
- Aragão C., Conceição L.E.C., Dinis M.T., Fyhn H.-J. 2004. Amino acid pools of rotifers and Artemia under different conditions: nutritional implications for fish larvae // Aquaculture. V. 234. № 1–4. P. 429–445. https://doi.org/10.1016/j.aquaculture.2004.01.025
- Blais J., Rico C., van Oosterhout C. et al. 2007. MHC adaptive divergence between closely related and sympatric African cichlids // PLоS One. V. 2. № 8. Article e734. https://doi.org/10.1371/journal.pone.0000734
- Brawand D., Wagner C.E., Li Y.I. et al. 2014. The genomic substrate for adaptive radiation in African cichlid fish // Nature. V. 513. № 7518. P. 375–381. https://doi.org/10.1038/nature13726
- Bruckner H., Hausch M. 1990. D-amino acids in food: detection and nutritional aspects // Chirality and biological activity. N.Y.: Alan R. Liss, Inc. P. 129–136.
- Burress E.D. 2015. Cichlid fishes as models of ecological diversification: patterns, mechanisms, and consequences // Hydrobiologia. V. 748. № 1. P. 7–27. https://doi.org/10.1007/s10750-014-1960-z
- Caprio J. 1975. High sensitivity of catfish taste receptors to amino acids // Comp. Biochem. Physiol. Pt. A. Physiol. V. 52. № 1. P. 247–251. https://doi.org/10.1016/s0300-9629(75)80160-5
- Caprio J., Shimohara M., Marui T. et al. 2015. Amino acid specificity of fibers of the facial/trigeminal complex innervating the maxillary barbel in the Japanese sea catfish, Plotosus japonicus // Physiol. Behav. V. 152. Pt. A. P. 288–294.
- http://doi.org/10.1016/j.physbeh.2015.10.011
- Corrigan J.J. 1969. D-amino acids in animals // Science. V. 164. № 3876. P. 142–149. https://doi.org/10.1126/science.164.3876.142
- Danley P.D., Husemann M., Chetta J. 2012. Acoustic diversity in Lake Malawi’s rock-dwelling cichlids // Environ. Biol. Fish. V. 93. № 1. P. 23–30. https://doi.org/10.1007/s10641-011-9886-z
- DeLorenzo L., DeBrock V., Carmona Baez A. et al. 2022. Morphometric and genetic description of trophic adaptations in cichlid fishes // Biology. V. 11. № 8. Article 1165. https://doi.org/10.3390/biology11081165
- Falco F., Stincone P., Cammarata M., Brandelli A. 2020. Amino acids as the main energy source in fish tissues // Aquac. Fish. Stud. V. 3. № 1. P. 1–11. https://doi.org/10.31038/AFS.2020223
- Felbeck H., Wiley D. 1987. Free D-amino acids in the tissues in marine bivalves // Biol. Bull. V. 173. № 1. P. 252–259. https://doi.org/10.2307/1541877
- Froese R., Pauly D. (eds.). 2022. FishBase. World Wide Web electronic publication. (www.fishbase.org. Version 08/2022).
- Gill A.B., Hart P.J.B. 1996. Unequal competition between three-spined stickleback, Gasterosteus aculeatus L., encountering sequential prey // Anim. Behav. V. 51. № 3. P. 689–698. https://doi.org/10.1006/anbe.1996.0072
- Hara T.J. 2007. Gustation // Sensory systems neuroscience. N.Y.: Acad. Press. P. 45–96. https://doi.org/10.1016/S1546-5098(06)25002-7
- Hara T.J., Sveinsson T., Evans R.E., Klaprat D.A. 1993. Morphological and functional characteristics of the olfactory and gustatory organs of three Salvelinus species // Can. J. Zool. V. 71. № 2. P. 414–423. https://doi.org/10.1139/Z93-058
- Hofmann C.M., O’Quin K.E., Marshall N.J. et al. 2009. The eyes have it: regulatory and structural changes both underlie cichlid visual pigment diversity // PLoS Biol. V. 7. № 12. Article e1000266. https://doi.org/10.1371/journal.pbio.1000266
- Iwasaki K., Kasahara T., Sato M. 1985. Gustatory effectiveness of amino acids in mice: behavioral and neurophysiological studies // Physiol. Behav. V. 34. № 4. P. 531–542. https://doi.org/10.1016/0031-9384(85)90045-9
- Jones K.A. 1990. Chemical requirements of feeding in rainbow trout, Oncorhynchus mykiss (Walbaum); palatability studies on amino acids, amides, amines, alcohols, aldehydes, saccharides, and other compounds // J. Fish Biol. V. 37. № 3. P. 413–423. https://doi.org/10.1111/J.1095-8649.1990.TB05872.X
- Kasumyan A.O. 2019. The taste system in fishes and the effects of environmental variables // Ibid. V. 95. № 1. P. 155–178. https://doi.org/10.1111/jfb.13940
- Kasumyan A., Levina A. 2023. Are the taste preferences similar in closely related fish of the same trophic category? A case of Nile and Mozambique tilapias // Rev. Fish Biol. Fish. V. 33. P. 1371–1386. https://doi.org/10.1007/s11160-023-09763-w
- Kasumyan A.O., Mouromtsev G.E. 2020. The teleost fish, blue gourami Trichopodus trichopterus, distinguishes the taste of chemically similar substances // Sci. Rep. V. 10. Article 7487. https://doi.org/10.1038/s41598-020-64556-6
- Kawai M., Sekine-Hayakawa Y., Okiyama A., Ninomiya Y. 2012. Gustatory sensation of L- and D-amino acids in humans // Amino Acids. V. 43. № 6. P. 2349–2358. https://doi.org/10.1007/s00726-012-1315-x
- Kiyohara S., Yamashita S., Harada S. 1981. High sensitivity of minnow gustatory receptors to amino acids // Physiol. Behav. V. 26. № 6. P. 1103–1108. https://doi.org/10.1016/0031-9384(81)90215-8
- Kohbara J., Michel W., Caprio J. 1992. Responses of single facial taste fibres in the channel catfish, Ictalurus punctatus, to amino acids // J. Neurophysiol. V. 68. № 4. P. 1012–1026. https://doi.org/10.1152/jn.1992.68.4.1012
- Kohbara J., Oohara K., Masuda T. et al. 2002. Gustatory receptor responses in marbled rockfish Sebastiscus marmoratus // Fish. Sci. V. 68. № 4. P. 862–871. https://doi.org/10.1046/j.1444-2906.2002.00504.x
- Konings A. 1991. Neolamprologus mustax (Poll, 1978) // The cichlids yearbook. V. 1. P. 15.
- Konings A. 2005. Guide to Tanganyika cichlids. El Paso: Cichlid Press, 192 p.
- Levina A.D., Mikhailova E.S., Kasumyan A.O. 2021. Taste preferences and feeding behavior in the facultative herbivore fish, Nile tilapia Oreochromis niloticus // J. Fish Biol. V. 98. № 5. P. 1385–1400. https://doi.org/10.1111/jfb.14675
- Li X., Zheng S., Wu G. 2021a. Nutrition and functions of amino acids in fish // Amino acids in nutrition and health. Cham: Springer. P. 133–168. https://doi.org/10.1007/978-3-030-54462-1_8
- Li X., Han T., Zheng S., Wu G. 2021b. Nutrition and functions of amino acids in aquatic crustaceans // Ibid. P. 169–198. https://doi.org/10.1007/978-3-030-54462-1_9
- Marui T., Evans R.E., Zielinski B., Hara T.J. 1983a. Gustatory responses of the rainbow trout (Salmo gairdneri) palate to amino acids and derivatives // J. Comp. Physiol. V. 153. № 4. P. 423–433. https://doi.org/10.1007/BF00612597
- Marui T., Harada S., Kasahara Y. 1983b. Gustatory specificity for amino acids in the facial taste system of the carp, Cyprinus carpio L. // Ibid. V. 153. № 3. P. 299–308. https://doi.org/10.1007/BF00612584
- Meredith T.L., Kajiura S.M. 2010. Olfactory morphology and physiology of elasmobranchs // J. Exp. Biol. V. 213. № 20. P. 3449–3456. https://doi.org/10.1242/jeb.045849
- Michel W., Caprio J. 1991. Responses of single facial taste fibres in the sea catfish, Arius felis, to amino acids // J. Neurophysiol. V. 66. № 1. P. 247–260. https://doi.org/10.1152/jn.1991.66.1.247
- Michel W.C., Kohbara J., Caprio J. 1993. Amino acid receptor sites in the facial taste system of the sea catfish Arius felis // J. Comp. Physiol. A. V. 172. № 2. P. 129–138. https://doi.org/10.1007/BF00189391
- Olsén K.H. 1993. Emission rate of amino acids and ammonia and their role in olfactory preference behaviour of juvenile Arctic charr, Salvelinus alpinus (L.) // J. Fish Biol. V. 28. № 3. P. 255–265. https://doi.org/10.1111/j.1095-8649.1986.tb05163.x
- Preston R.L. 1987. Occurrence of D-amino acids in higher organisms: a survey of the distribution of D-amino acids in marine invertebrates // Comp. Biochem. Physiol. Pt. B. Comp. Physiol. V. 87. № 1. P. 55–62. https://doi.org/10.1016/0305-0491(87)90470-6
- Reinthal P.N. 1990. The feeding habits of a group of herbivorous rock-dwelling cichlid fishes (Cichlidae: Perciformes) from Lake Malawi, Africa // Environ. Biol. Fish. V. 27. № 3. P. 215–233. https://doi.org/10.1007/BF00001674
- Ribbink A.J., Marsh B.A., Marsh A.C. et al. 1983. A preliminary survey of the cichlid fishes of rocky habitats in Lake Malawi // S. Afr. J. Zool. V. 18. № 3. P. 149–310. https://doi.org/10.1080/02541858.1983.11447831
- Ronco F., Matschiner M., Böhne A. et al. 2021. Drivers and dynamics of a massive adaptive radiation in cichlid fishes // Nature. V. 589. № 7840. P. 76–81. https://doi.org/10.1038/s41586-020-2930-4
- Schiffman S.S., Sennewald K., Cagnon J. 1981. Comparison of taste qualities and thresholds of D- and L-amino acids // Physiol. Behav. V. 27. № 1. P. 51–57. https://doi.org/10.1016/0031-9384(81)90298-5
- Silver W.L., Finger T.E. 1984. Electrophysiological examination of a non-olfactory, non-gustatory chemosense in the searobin, Prionotus carolinus // J. Comp. Physiol. A. V. 154. № 2. P. 167–174. https://doi.org/10.1007/BF00604982
- Smith M.P. 2008. Lake Tanganyika cichlids. Hauppauge: Barron’s Educational Ser., 96 p.
- Sola C., Tongiorgi P. 1998. Behavioural responses of glass eels of Anguilla anguilla to non-protein amino acids // J. Fish Biol. V. 53. № 6. P. 1253–1262. https://doi.org/10.1111/j.1095-8649.1998.tb00246.x
- Tiancheng L., Yiming H. 1994. Gustation and taste organ in the barbel of the African catfish // Acta Hydrobiol. Sinica. V. 18. № 4. P. 316–326.
- Velez Z., Hubbard P.C., Hardege J.D. et al. 2007. The contribution of amino acids to the odour of a prey species in the Senegalese sole (Solea senegalensis) // Aquaculture. V. 265. № 1–4. P. 336–342. https://doi.org/10.1016/j.aquaculture.2007.02.029
- Wagner C.E. 2021. Ecological opportunity, genetic variation, and the origins of African cichlid radiations // The behavior, ecology and evolution of cichlid fishes. Dordrecht: Springer. P. 79–105. https://doi.org/10.1007/978-94-024-2080-7_3
- Wegert S., Caprio J. 1991. Receptor sites for amino acids in the facial taste system of the channel catfish // J. Comp. Physiol. A. V. 168. № 2. P. 201–211. https://doi.org/10.1007/BF00218412
- Wu G. 2021. Amino acids: biochemistry and nutrition. Boca Raton: CRC Press, 816 p.
- Wu G, Wu Z., Dai Z. et al. 2013. Dietary requirements of “nutritionally nonessential amino acids” by animals and humans // Amino Acids. V. 44. № 4. P. 1107–1113. https://doi.org/10.1007/s00726-012-1444-2
- Yamamoto Y., Shibata H., Ueda H. 2013. Olfactory homing of chum salmon to stable compositions of amino acids in natal stream water // Zool. Sci. V. 30. № 8. P. 607–612. https://doi.org/10.2108/zsj.30.607
- Yoshii K., Kamo N., Kurihara K., Kobatake Y. 1979. Gustatory responses of eel palatine receptors to amino acids and carboxylic acids // J. Gen. Physiol. V. 74. № 3. P. 301–317. https://doi.org/10.1085/jgp.74.3.301
- Yuma M. 1994. Food habits and foraging behaviour of benthivorous cichlid fishes in Lake Tanganyika // Environ. Biol. Fish. V. 39. № 2. P. 173–182. https://doi.org/10.1007/BF00004935
- Yuma M. 1998. Food resources of shrimp-eating cichlid fishes in Lake Tanganyika // Ibid. V. 52. № 1–3. P. 371–378. https://doi.org/10.1023/A:1007370204240
Supplementary files






