Динамика численности и распределение снетка – формы европейской корюшки Osmerus eperlanus (Osmeridae) – и черноморско-каспийской тюльки Clupeonella cultriventris (Clupeidae) в Рыбинском водохранилище в период их совместного обитания
- Авторы: Герасимов Ю.В.1, Комарова А.С.1, Тарлева А.Ф.1, Соломатин Ю.И.1, Базаров М.И.1, Борисенко Э.С.2
-
Учреждения:
- Институт биологии внутренних вод РАН – ИБВВ РАН
- Институт проблем экологии и эволюции РАН – ИПЭЭ РАН
- Выпуск: Том 63, № 5 (2023)
- Страницы: 554-566
- Раздел: Статьи
- URL: https://ogarev-online.ru/0042-8752/article/view/135229
- DOI: https://doi.org/10.31857/S0042875223040082
- EDN: https://elibrary.ru/RNFPWK
- ID: 135229
Цитировать
Полный текст
Аннотация
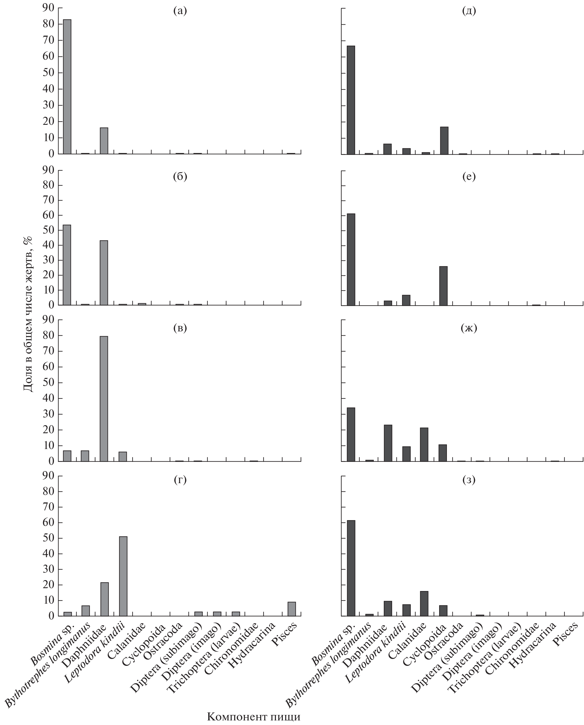
Обобщены данные за 23-летний период (2000–2022) по динамике численности и распределению снетка (форма европейской корюшки Osmerus eperlanus) и черноморско-каспийской тюльки Clupeonella cultriventris в Рыбинском водохранилище. Снеток доминировал в пелагиали водохранилища с 1950-х до середины 1990-х гг. В результате аномально низкого уровня воды в водохранилище в 1996 г. и аномального (для этого водоёма) в последующие годы прогрева воды вид в 2002 г. исчез из ихтиофауны водохранилища. Тюлька, вселившись в водохранилище в середине 1990-х гг., дала вспышку численности в начале 2000-х гг. (в период депрессивного состояния популяции снетка) и в настоящее время доминирует в пелагиали водохранилища. С начала 2000-х гг. отмечены два периода, когда снеток на фоне высокой численности тюльки встречался на большей части Рыбинского водохранилища. При высокой температуре воды в 2010 и 2021 гг. и низком её уровне в 2014 г. снеток опять исчезал. Для периодов совместного обитания тюльки и снетка отмечено значительное сходство в питании особей обоих видов размером до 80 мм. Снеток большего размера питался более крупным планктоном, а в летний период ещё и рыбой. В настоящее время основным лимитирующим фактором, негативно влияющим на восстановление популяции снетка в Рыбинском водохранилище, является аномальный прогрев водной толщи в отдельные годы.
Ключевые слова
Об авторах
Ю. В. Герасимов
Институт биологии внутренних вод РАН – ИБВВ РАН
Автор, ответственный за переписку.
Email: gu@ibiw.ru
Россия, Ярославская область, пос. Борок
А. С. Комарова
Институт биологии внутренних вод РАН – ИБВВ РАН
Email: gu@ibiw.ru
Россия, Ярославская область, пос. Борок
А. Ф. Тарлева
Институт биологии внутренних вод РАН – ИБВВ РАН
Email: gu@ibiw.ru
Россия, Ярославская область, пос. Борок
Ю. И. Соломатин
Институт биологии внутренних вод РАН – ИБВВ РАН
Email: gu@ibiw.ru
Россия, Ярославская область, пос. Борок
М. И. Базаров
Институт биологии внутренних вод РАН – ИБВВ РАН
Email: gu@ibiw.ru
Россия, Ярославская область, пос. Борок
Э. С. Борисенко
Институт проблем экологии и эволюции РАН – ИПЭЭ РАН
Email: gu@ibiw.ru
Россия, Москва
Список литературы
- Арнольд И.Н. 1925. Материалы по описанию рыболовства на Белом озере // Изв. Отд. прикл. ихтиологии и науч.-промысл. исследований. Т. 3. Вып. 1. С. 5–27.
- Буторин Н.В., Курдина Т.Н., Бакастов С.С. 1982. Температура воды и грунтов Рыбинского водохранилища. Л.: Наука, 221 с.
- Васильев Л.И. 1950. Формирование ихтиофауны Рыбинского водохранилища. Сообщение I. Изменение видового состава ихтиофауны Верхней Волги в первые годы после образования водохранилища // Тр. биол. ст. “Борок”. Вып. 1. С. 236–255.
- Васильев Л.И. 1955. Некоторые особенности формирования промысловой ихтиофауны Рыбинского водохранилища за период 1941–1952 гг. // Там же. Вып. 2. С. 142–168.
- Герасимов Ю.В., Стрельников А.С., Иванова М.Н. 2013. Динамика структурных показателей популяции судака Stizostedion lucioperca (Percidae) Рыбинского водохранилища за период 1954–2010 гг. // Вопр. ихтиологии. Т. 53. № 1. С. 57–68. https://doi.org/10.7868/S0042875213010050
- Герасимов Ю.В., Иванова М.Н., Свирская А.Н. 2018а. Многолетние изменения роли местных и инвазийных видов рыб в питании хищных рыб Рыбинского водохранилища // Там же. Т. 58. № 5. С. 507–522. https://doi.org/10.1134/S0042875218040045
- Герасимов Ю.В., Малин М.И., Базаров М.И. и др. 2018б. Распределение и структура рыбного населения в водохранилищах Волжского каскада в 1980-е и 2010-е гг. // Тр. ИБВВ РАН. Вып. 82 (85). С. 82–106. https://doi.org/10.24411/0320-3557-2018-10014
- Иванова М.Н. 1982. Популяционная изменчивость пресноводных корюшек. Рыбинск: Изд-во ИБВВ АН СССР, 145 с.
- Иванова М.Н., Лапкин В.В. 1982. Влияние температуры на жизнедеятельность и распределение пресноводной корюшки в водоемах // Биология внутр. вод. Информ. бюл. № 55. С. 37–41.
- Карабанов Д.П. 2013. Генетические адаптации черноморско-каспийской тюльки Clupeonella cultriventris (Nordmann, 1840) (Actinopterygii: Clupeidae). Воронеж: Науч. книга, 179 с.
- Кияшко В.И., Халько Н.А., Лазарева В.И. 2007. О суточном ритме и элективности питания тюльки Clupeonella cultriventris (Nordmann, 1840) в Рыбинском водохранилище // Вопр. ихтиологии. Т. 47. № 3. С. 389–398.
- Кияшко В.И., Карабанов Д.П., Яковлев В.Н., Слынько Ю.В. 2012. Становление и развитие популяции черноморско-каспийской тюльки Clupeonella cultriventris (Clupeidae) в Рыбинском водохранилище // Там же. Т. 52. № 5. С. 571–580.
- Лазарева В.И., Минеева Н.М., Жданова С.М. 2012. Пространственное распределение планктона в водохранилищах Верхней и Средней Волги в годы с различными термическими условиями // Поволж. экол. журн. № 4. С. 394–407.
- Литвинов А.С., Законнова А.В. 2012. Термический режим Рыбинского водохранилища при глобальном потеплении // Метеорология и гидрология. № 9. С. 91–96.
- Поддубный А.Г. 1971. Экологическая топография популяций рыб в водохранилищах. Л.: Наука, 312 с.
- Правдин И.Ф. 1966. Руководство по изучению рыб (преимущественно пресноводных). М.: Пищ. пром-сть, 376 с.
- Романова Г.П. 1958. Питание сеголетков судака в Рыбинском водохранилище // Тр. биол. ст. “Борок”. Вып. 3. С. 273–303.
- Рыбы Рыбинского водохранилища: популяционная динамика и экология. 2015. Ярославль: Филигрань, 418 с.
- Степанов М.В., Кияшко В.И. 2008. Роль тюльки (Clupeonella cultriventris (Nordman)) в питании хищных рыб Рыбинского водохранилища // Биология внутр. вод. № 4. С. 86–89.
- Юданов К.И., Калихман И.Л., Теслер В.Д. 1984. Руководство по проведению гидроакустических съемок. М.: Изд-во ВНИРО, 124 с.
- Barbiero R.P., Tuchman B.L., Tuchman M.L. 2004. Changes in the crustacean communities of Lakes Michigan, Huron, and Erie following the invasion of the predatory cladoceran Bythotrephes longimanus // Can. J. Fish. Aquat. Sci. V. 61. № 11. P. 2111–2125. https://doi.org/10.1139/f04-149
- Herzig A. 1995. Leptodora kindti: efficient predator and preferred prey item in Neusiedler See, Austria // Hydrobiologia. V. 307. № 1–3. P. 273–282. https://doi.org/10.1007/BF00032021
- Parker-Stetter S.L., Rudstam L.G., Sullivan P.J., Warner D.M. 2009. Standard operating procedures for fisheries acoustic surveys in the Great Lakes. Ann Arbor: Great Lakes Fish. Com., 170 p.
- Simmonds J., MacLennan D. 2005. Fisheries acoustics. Theory and practice. Oxford: Blackwell, 437 p. https://doi.org/10.1002/9780470995303
Дополнительные файлы











