Сравнение вкусовой рецепции и пищевого поведения у нильской тиляпии Oreochromis niloticus (Cichlidae) разного возраста
- Авторы: Касумян А.О.1, Левина А.Д.1
-
Учреждения:
- Московский государственный университет
- Выпуск: Том 63, № 4 (2023)
- Страницы: 462-471
- Раздел: Статьи
- URL: https://ogarev-online.ru/0042-8752/article/view/135216
- DOI: https://doi.org/10.31857/S0042875223030086
- EDN: https://elibrary.ru/BYCYPW
- ID: 135216
Цитировать
Полный текст
Аннотация
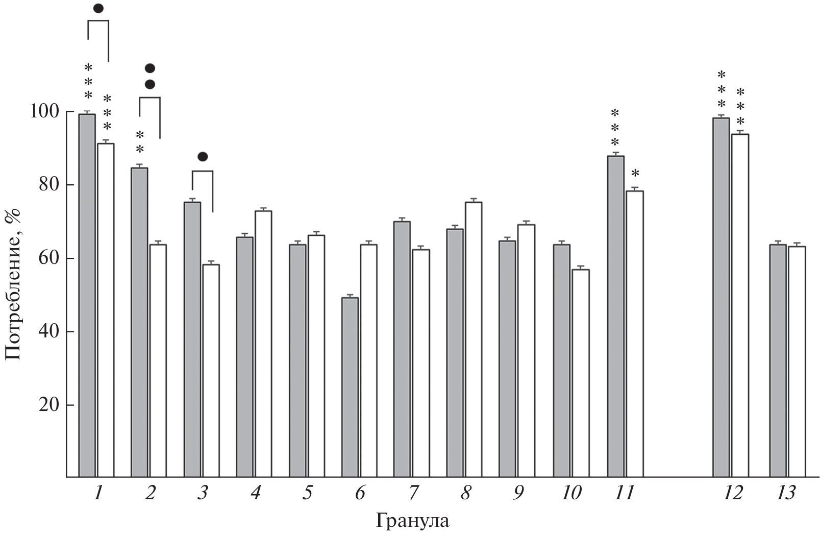
Сравнение вкусовых предпочтений особей двух возрастных групп нильской тиляпии Oreochromis niloticus не выявило существенных различий. Для ювенильных особей (возраст 1.5 мес, длина тела 6.5–7.0 см, масса 5–7 г) привлекательным вкусом обладают L-цистеин, L-лизин и лимонная кислота; для половозрелых особей (4 мес, 12–15 см, 45–50 г) – L-цистеин и лимонная кислота. Вкус других восьми L-аминокислот индифферентен для рыб обеих групп. На основании полученных данных и результатов других исследований предложена гипотетическая схема, согласно которой наиболее быстрые функциональные преобразования вкусовой рецепции у рыб происходят в онтогенезе после начала внешнего питания личинок и завершаются до наступления половой зрелости. Рыбы обеих возрастных групп крайне редко повторно схватывают гранулы с вкусовыми веществами, но ювенильные особи затрачивают значительно больше времени на их оросенсорную оценку – до 1.4–1.6 раза. Независимо от возраста рыб такая оценка требует больше времени, если тестирование гранул завершается их заглатыванием. Выявленные различия могут указывать на несформированность стереотипа пищевого поведения у ювенильных особей нильской тиляпии.
Ключевые слова
Об авторах
А. О. Касумян
Московский государственный университет
Email: alex_kasumyan@mail.ru
Россия, Москва
А. Д. Левина
Московский государственный университет
Автор, ответственный за переписку.
Email: alex_kasumyan@mail.ru
Россия, Москва
Список литературы
- Виноградская М.И., Касумян А.О. 2019. Вкусовая привлекательность водных организмов для нильской тиляпии Oreochromis niloticus (Cichlidae, Perciformes) // Вопр. ихтиологии. Т. 59. № 3. С. 318–328. https://doi.org/10.1134/S0042875219030226
- Девицина Г.В., Кажлаев А.А. 1992. Развитие хемосенсорных органов у сибирского осетра Acipenser baerii и севрюги A. stellatus // Там же. Т. 32. № 5. С. 167–175.
- Касумян А.О. 2011. Функциональное развитие хемосенсорных систем в онтогенезе рыб // Онтогенез. Т. 42. № 3. С. 205–213.
- Касумян А.О., Виноградская М.И. 2019. Вкусовая привлекательность желчных веществ для рыб // Вопр. ихтиологии. Т. 59. № 4. С. 473–482. https://doi.org/10.1134/S0042875219040118
- Касумян А.О., Кажлаев А.А. 1993. Поведенческие ответы ранней молоди сибирского осетра Acipenser baerii и севрюги A. stellatus (Acipenseridae) на вещества, вызывающие основные типы вкусовых ощущений // Там же. Т. 33. № 3. С. 427–436.
- Касумян А.О., Прокопова О.М. 2001. Вкусовые предпочтения и динамика вкусового поведенческого ответа у линя Tinca tinca (Cyprinidae) // Там же. Т. 41. № 5. С. 670–685.
- Касумян А.О., Сидоров С.С. 2001. Вкусовая чувствительность молоди озерного гольца Salvelinus namaycush (Salmonidae) // Вопр. рыболовства. Прилож. 1. С. 121–125.
- Касумян А.О., Сидоров С.С. 2005. Вкусовые предпочтения кумжи Salmo trutta трех географически изолированных популяций // Вопр. ихтиологии. Т. 45. № 1. С. 117–130.
- Касумян А.О., Сидоров С.С., Пащенко Н.И., Немчинов А.В. 1992. Экстраоральная и интраоральная вкусовая чувствительность молоди русского осетра Acipenser gueldenstaedtii к аминокислотам // ДАН СССР. Т. 322. № 1. С. 193–195.
- Певзнер Р.А. 1985. Ультраструктурная организация вкусовых рецепторов костно-хрящевых рыб. III. Личинки в период желточного питания // Цитология. Т. 27. № 11. С. 1240–1246.
- Appelbaum S. 1980. Versuche zur Geschmacksperzeption einiger Süßwasserfische im larvalen und adulten Stadium // Arch. Fischereiwiss. V. 31. № 2. P. 105–114.
- Atkinson C.J.L., Martin K.J., Fraser G.J., Collin S.P. 2016. Morphology and distribution of taste papillae and oral denticles in the developing oropharyngeal cavity of the bamboo shark, Chiloscyllium punctatum // Biol. Open. V. 5. № 12. P. 1759–1769. https://doi.org/10.1242/bio.022327
- Clements K.D., Raubenheimer D. 2006. Feeding and nutrition // The physiology of fishes. Boca Raton: CRC Press. P. 47–82.
- Døving K.B., Kasumyan A. 2008. Chemoreception // Fish Larval Physiology. Boca Raton: CRC Press. P. 331–394. https://doi.org/10.1201/9780429061608-15
- Elsheikh E.H., Nasr E.S., Gamal A.M. 2012. Ultrastructure and distribution of the taste buds in the buccal cavity in relation to the food and feeding habit of a herbivorous fish: Oreochromis niloticus // Tissue Cell. V. 44. № 3. P. 164–169. https://doi.org/10.1016/j.tice.2012.02.002
- Finger T.E., Drake S.K., Kotrschal K. et al. 1991. Postlarval growth of the peripheral gustatory system in the channel catfish, Ictalurus punctatus // J. Comp. Neurol. V. 314. № 1. P. 55–66. https://doi.org/10.1002/cne.903140106
- Forestell C.A., Mennella J.A. 2015. The ontogeny of taste perception and preference throughout childhood // Handbook of olfaction and gustation. Hoboken: John Wiley and Sons, Inc. P. 795–827. https://doi.org/10.1002/9781118971758.ch36
- Getachew T. 1987. A study on an herbivorous fish, Oreochromis niloticus L., diet and its quality in two Ethiopian Rift Valley lakes, Awasa and Zwai // J. Fish. Biol. V. 30. № 4. P. 39–449. https://doi.org/10.1111/j.1095-8649.1987.tb05767.x
- Getachew T. 1993. The composition and nutritional status of the diet of Oreochromis niloticus L. in Lake Chamo, Ethiopia // Ibid. V. 42. № 6. P. 865–874. https://doi.org/10.1111/j.1095-8649.1993.tb00396.x
- Getachew T., Fernando C.H. 1989. The food habits of an herbivorous fish (Oreochromis niloticus Linn.) in Lake Awasa, Ethiopia // Hydrobiologia. V. 174. № 3. P. 195–200. https://doi.org/10.1007/BF00008157
- Hansen A., Reutter K., Zeiske E. 2002. Taste bud development in the zebrafish, Danio rerio // Dev. Dyn. V. 223. № 4. P. 483–496. https://doi.org/10.1002/dvdy.10074
- He J.-Y., Tian L.-X., Lemme A. et al., 2013. Methionine and lysine requirements for maintenance and efficiency of utilization for growth of two sizes of tilapia (Oreochromis niloticus) // Aquacult. Nutr. V. 19. № 4. P. 629–640. https://doi.org/10.1111/anu.12012
- Hughes R.N. 1997. Diet selection // Behavioural ecology of teleost fishes. Oxford: Oxford Univ. Press. P. 134–162.
- Hughes S.G. 1991. Response of first-feeding spring chinook salmon to four potential chemical modifiers of feed intake // Prog. Fish. Cult. V. 53. № 1. P. 15–17. https://doi.org/10.1577/1548-8640(1991)053<0015:CRO-FFS>2.3.CO;2
- Hughes S.G. 1993. Single-feeding response of chinook salmon fry to potential feed intake modifiers // Ibid. V. 55. № 1. P. 40–42. https://doi.org/10.1577/1548-8640(1993)055<0040:SFRO-CS>2.3.CO;2
- Iwai T. 1980. Sensory anatomy and feeding of fish larvae // Proc. conf. «Fish behavior and its use in the capture and culture of fishes». V. 5. Manila: ICLARM. P. 124–145.
- Kapsimali M., Barlow L.A. 2013. Developing a sense of taste // Semin. Cell Dev. Biol. V. 24. № 3. P. 200–209. https://doi.org/10.1016/j.semcdb.2012.11.002
- Kasumyan A.O. 1992. Development of olfactory and taste responses to chemical signals in acipenserid fishes // Chemical signals in vertebrates VI. Boston: Springer. P. 135–139. https://doi.org/10.1007/978-1-4757-9655-1_22
- Kasumyan A. 2018. Olfaction and gustation in Acipenseridae, with special references to the Siberian sturgeon, Acipenser baerii // The Siberian sturgeon (Acipenser baerii, Brandt, 1869). V. 1. Biology. Cham: Springer. P. 173–205. https://doi.org/10.1007/978-3-319-61664-3_10
- Kawamura G., Washiyama N. 1989. Ontogenetic changes in behavior and sense organ morphogenesis in largemouth bass and Tilapia nilotica // Trans. Am. Fish. Soc. V. 118. № 2. P. 203–213. https://doi.org/10.1577/1548-8659(1989)118<0203:OCIBAS>2.3.CO;2
- Keast A. 1978. Trophic and spatial interrelationships in the fish species of an Ontario temperate lake // Environ. Biol. Fish. V. 3. № 1. P. 7–31. https://doi.org/10.1007/BF00006306
- Khallaf E.A., Alne-na-ei A.A. 1987. Feeding ecology of Oreochromis niloticus (Linnaeus) and Tilapia zillii (Gervias) in a Nile canal // Hydrobiologia. V. 146. № 1. P. 57–62. https://doi.org/10.1007/BF00007577
- Levina A.D., Mikhailova E.S., Kasumyan A.O. 2021. Taste preferences and feeding behavior in the facultative herbivore fish, Nile tilapia Oreochromis niloticus // J. Fish Biol. V. 98. № 5. P. 1385–1400. https://doi.org/10.1111/jfb.14675
- Linnér J., Brännäs E. 1994. Behavioral response to commercial food of different sizes and self-initiated food size selection by Arctic char // Trans. Am. Fish. Soc. V. 123. № 3. P. 416–422. https://doi.org/10.1577/1548-8659(1994)123%3C0416:BR-TCFO%3E2.3.CO;2
- Mennella J.A., Reed D.R, Roberts K.M. et al. 2014. Age-related differences in bitter taste and efficacy of bitter blockers // PLoS ONE. V. 9. № 7. Article e103107. https://doi.org/10.1371/journal.pone.0103107
- Moriarty D.J.W., Moriarty C.M. 1973. Quantitative estimation of the daily ingestion of phytoplankton by Tilapia nilotica and Haplochromis nigripinnis in Lake George, Uganda // J. Zool. V. 171. № 1. P. 15–23. https://doi.org/10.1111/j.1469-7998.1973.tb07513.x
- Morrison C.M., Miyake T., Wright J.R., Jr. 2001. Histological study of the development of the embryo and early larva of Oreochromis niloticus (Pisces: Cichlidae) // J. Morphol. V. 247. № 2. P. 172–195. https://doi.org/10.1002/1097-4687(200102)247:2<172::AI-D-JMOR1011>3.0.CO;2-H
- Northcutt R.G. 2005. Taste bud development in the channel catfish // J. Comp. Neurol. V. 482. № 1. P. 1–16. https://doi.org/10.1002/cne.20425
- Pavlidis P., Gouveris H., Anogeianaki A. et al. 2013. Age-related changes in electrogustometry thresholds, tongue tip vascularization, density, and form of the fungiform papillae in humans // Chem. Senses. V. 38. № 1. P. 35–43. https://doi.org/10.1093/chemse/bjs076
- Philippart J.-Cl., Ruwet J.-Cl. 1982. Ecology and distribution of tilapias // Proc. conf. “The biology and culture of tilapias”. V. 7. Manila: ICLARM. P. 15–59.
- Ringler N.H. 1994. Fish foraging: adaptations and patterns // Advances in fish biology. Delhi: Hindustan Publ. Corp. P. 33–59.
- Rønnestad I., Yúfera M., Ueberschär B. et al. 2013. Feeding behaviour and digestive physiology in larval fish: current knowledge, and gaps and bottlenecks in research // Rev. Aquacult. V. 5. № s1. P. S59–S98. https://doi.org/10.1111/raq.12010
- Sataeva V.V., Kasumyan A.O. 2022. Orosensory preferences and feeding behavior of Cladistia: a comparison of gray bichir Polypterus senegalus and saddle bichir P. endlicherii (Polypteridae) // J. Ichthyol. V. 62. № 7. P. 1501–1520. https://doi.org/10.1134/S003294522204021X
- Smith I.P., Metcalfe N.B., Huntingford F.A. 1995. The effects of food pellet dimensions on feeding responses by Atlantic salmon (Salmo salar L.) in a marine net pen // Aquaculture. V. 130. № 2–3. P. 167–175. https://doi.org/10.1016/0044-8486(94)00207-5
- Steiner J.E. 1979. Human facial expression in response to taste and smell stimulation // Adv. Child Dev. Behav. V. 13. P. 257–295. https://doi.org/10.1016/S0065-2407(08)60349-3
- Stradmeyer L., Metcalfe N.B., Thorpe J.E. 1988. Effect of food pellet shape and texture on the feeding response of juvenile Atlantic salmon // Aquaculture. V. 73. № 1–4. P. 217–228. https://doi.org/10.1016/0044-8486(88)90056-7
- Temple E.C., Laing D.G., Hutchinson I., Jinks A.L. 2002. Temporal perception of sweetness by adults and children using computerized time-intensity measures // Chem. Senses. V. 27. № 8. P. 729–737. https://doi.org/10.1093/chemse/27.8.729
- Trewavas E. 1983. Tilapiine fishes of the genera Sarotherodon, Oreochromis and Danakilia // Brit. Mus. Nat. Hist. Publ. № 878. 583 p. https://doi.org/10.5962/bhl.title.123198
- Xie S., Zhang L., Wang D. 2003. Effects of several organic acids on the feeding behavior of Tilapia nilotica // J. Appl. Ichthyol. V. 19. № 4. P. 255–257. https://doi.org/10.1046/j.1439-0426.2003.00451.x
Дополнительные файлы







