Biology and Distribution of Stellate tadpole-goby Benthophilus stellatus and Don tadpole-goby B. durrelli (Teleostei: Gobiidae)
- Autores: Boldyrev V.S.1, Basko Y.V.1, Vipkhlo E.V.1
-
Afiliações:
- Volgograd Branch of the Russian Scientific Institute for Fisheries and Oceanography–VolgogradNIRO, Volgograd, Russia
- Edição: Volume 63, Nº 2 (2023)
- Páginas: 152-169
- Seção: Articles
- URL: https://ogarev-online.ru/0042-8752/article/view/135168
- DOI: https://doi.org/10.31857/S0042875223010010
- EDN: https://elibrary.ru/EXMTPC
- ID: 135168
Citar
Texto integral
Resumo
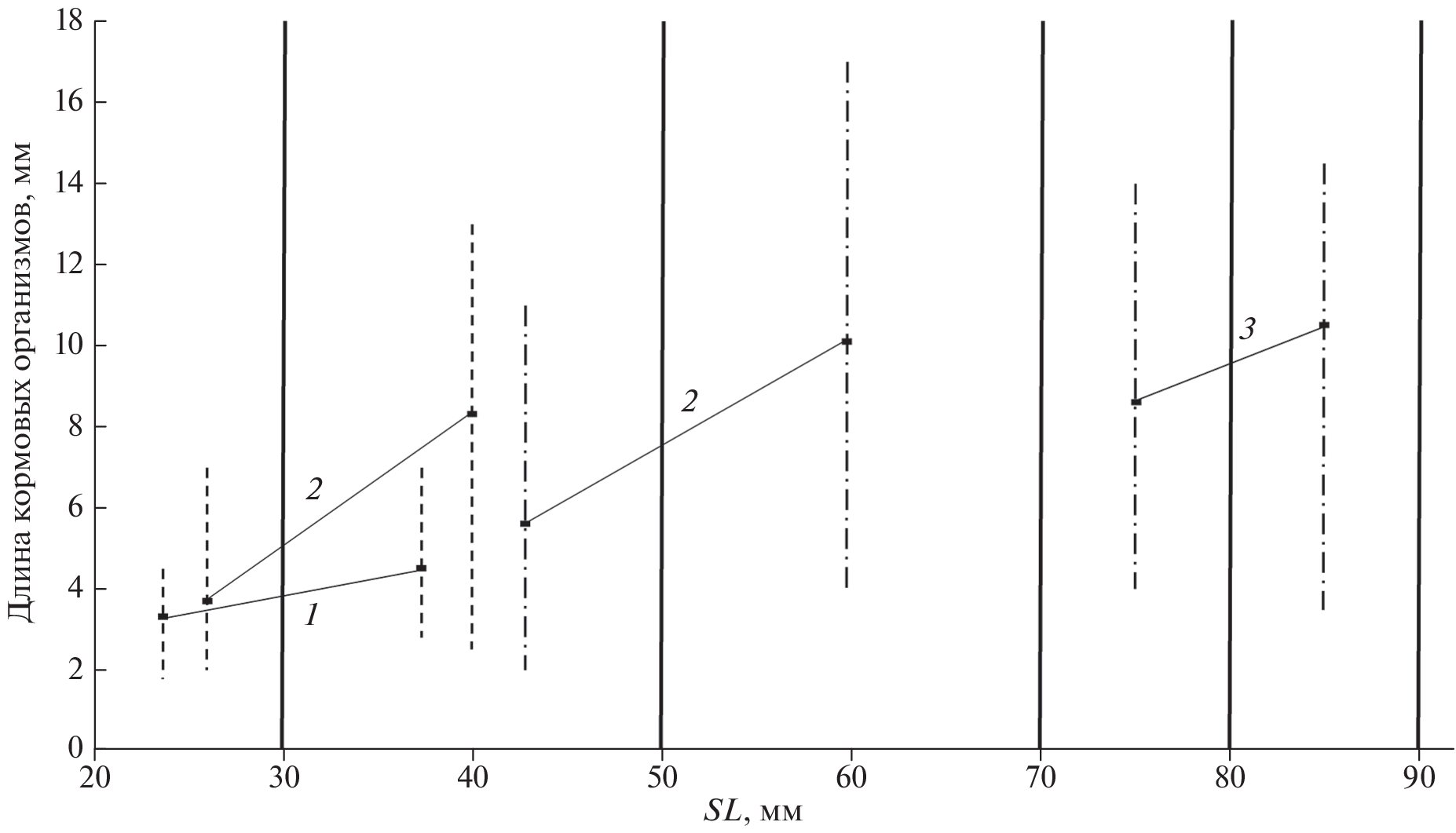
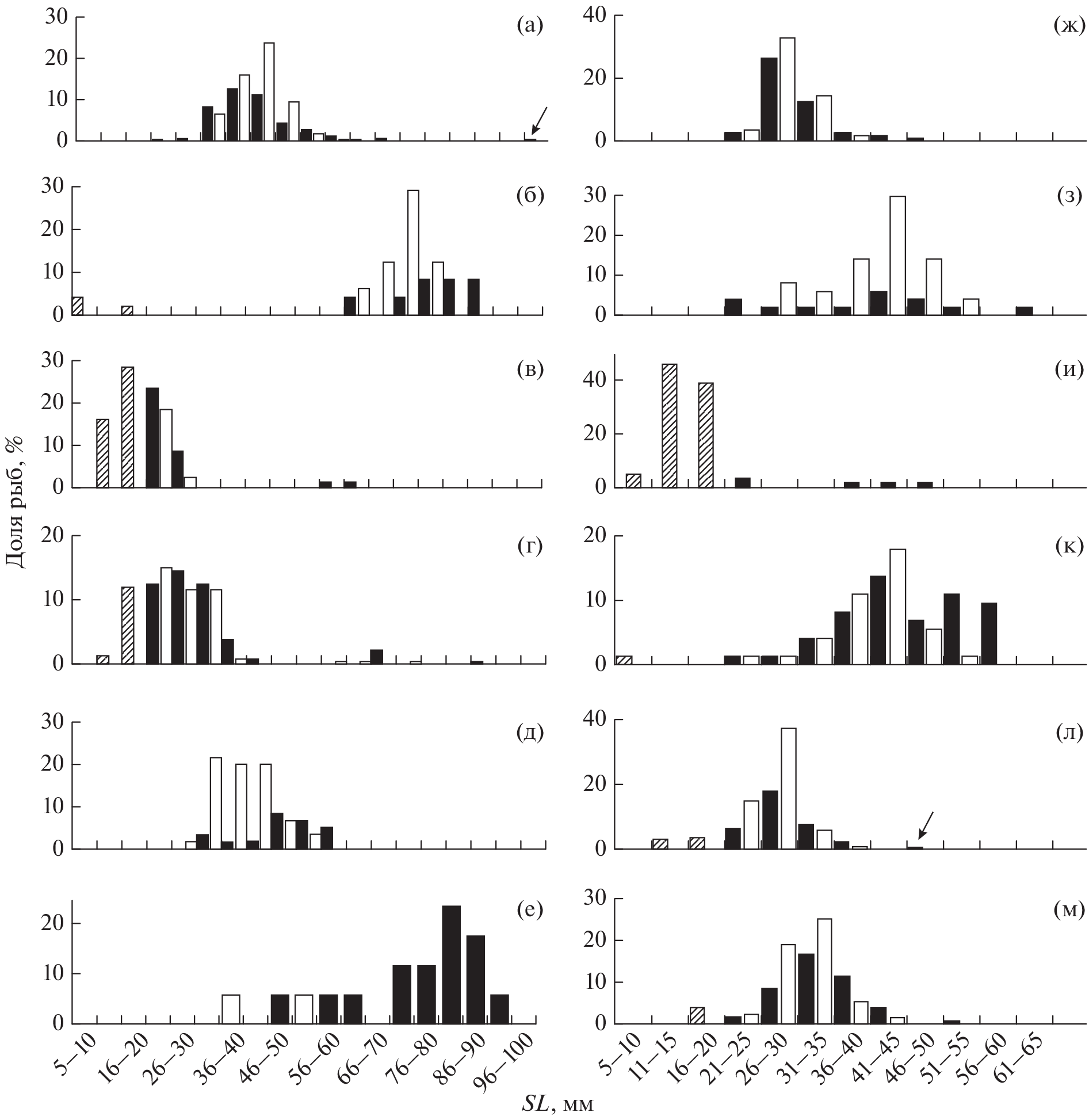
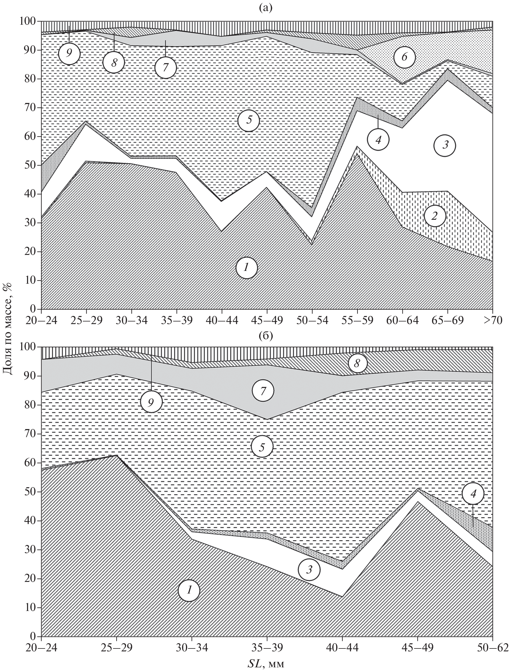
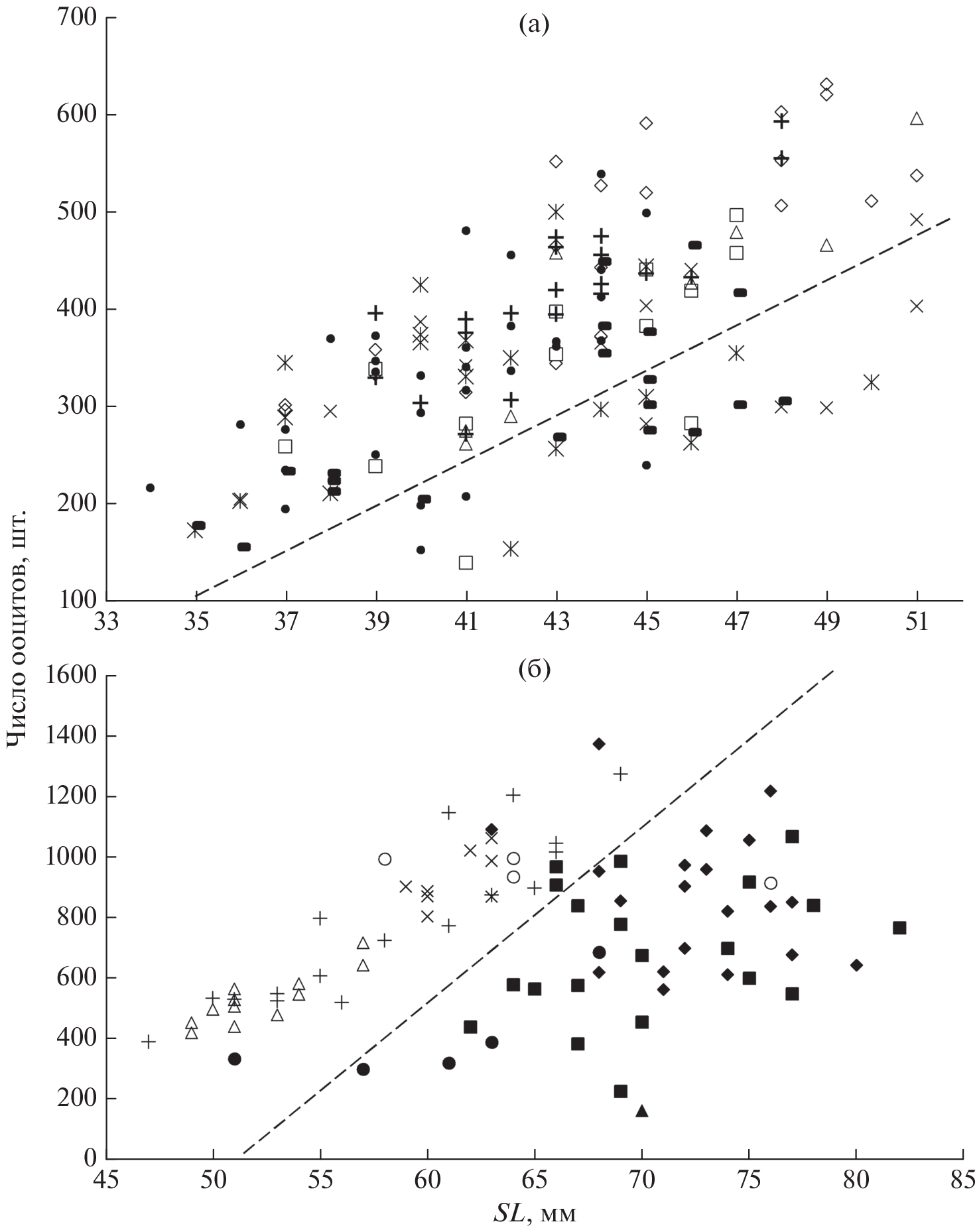
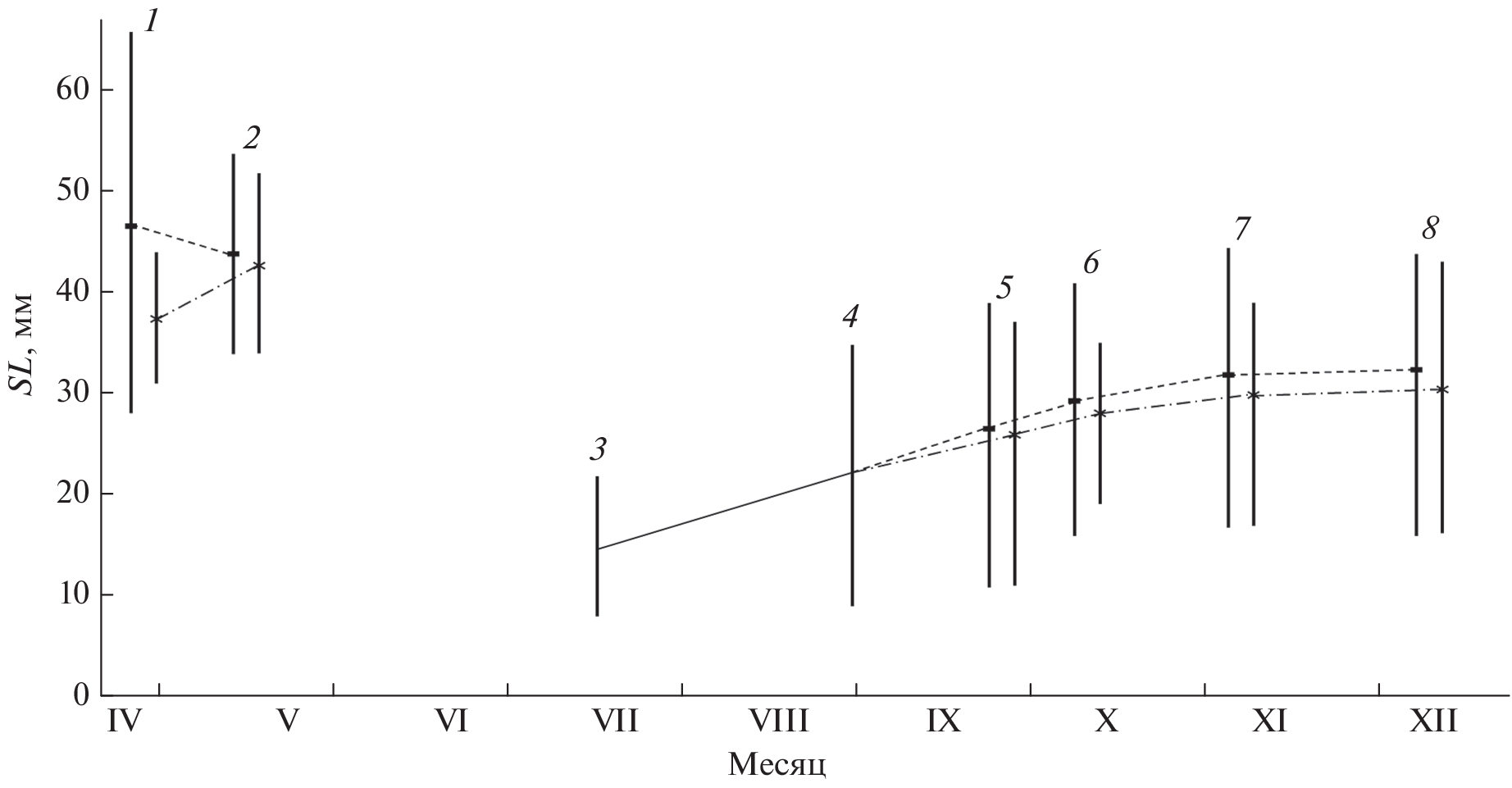
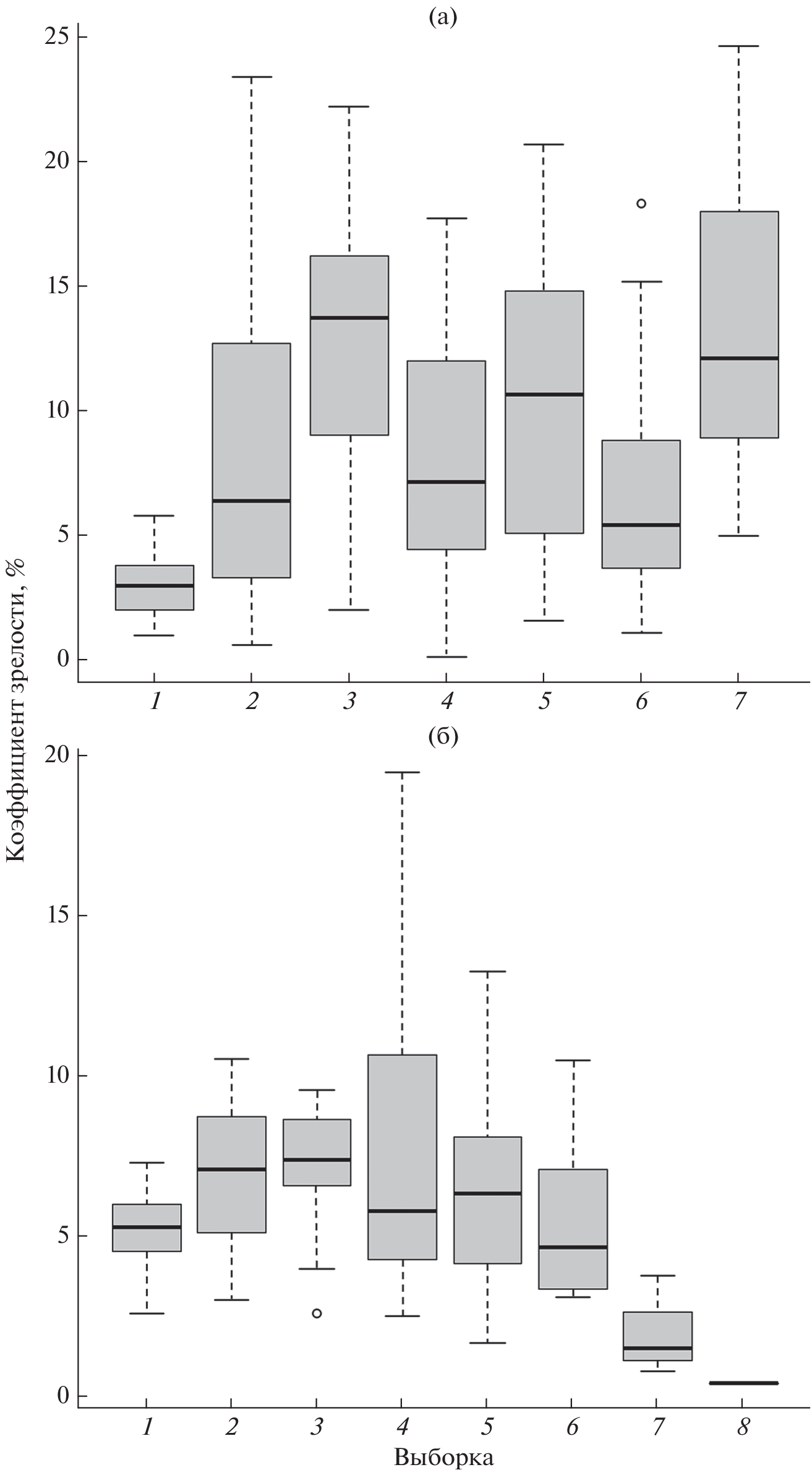
Size-age and sex population structure have been studied for the aboriginal stellate tadpole-goby Benthophilus stellatus and Don tadpole-goby B. durrelli in the Don River basin. The females of Don tadpole-goby mature at a body length of about 35 mm, stellate tadpole-goby females, at 50 mm. Most breeders of Don tadpole-goby (~74%) are characterized by one-time spawning, stellate tadpole-goby spawns three times. The duration of the breeding season is about 3.5 and 1.5 months, the individual absolute female fecundity is 0.2–0.6 and 1–3 thousand eggs, respectively. All breeders of Don tadpole-goby die after spawning in the second year of life, an insignificant part of stellate tadpole-goby population lives up to three years. The food spectra, size and biotopic variability, the degree of food similarity, and the selectivity of food organisms in both species have been analyzed. The species are characterized by the similarity in feeding and high feeding flexibility. In the Tsimlyansk Reservoir, the main food objects for tadpole-gobies are mosquito larvae and the mollusk Lithoglyphus naticoides, in the lower reaches of the Don River, various crustaceans. We assume three species of tadpole-goby (Don, stellate tadpole-goby and Makhmudbekov tadpole-goby B. mahmudbejovi) inhabit currently in the Volga River reservoirs. Don tadpole-goby has also settled in the lower reaches of the Volga River. Apparently, its range includes the Black Sea, in addition to the native Sea of Azov and newly mastered Volga River basins.
Sobre autores
V. Boldyrev
Volgograd Branch of the Russian Scientific Institute for Fisheries and Oceanography–VolgogradNIRO, Volgograd, Russia
Email: neogobius@yahoo.com
Россия, Волгоград
Yu. Basko
Volgograd Branch of the Russian Scientific Institute for Fisheries and Oceanography–VolgogradNIRO, Volgograd, Russia
Email: neogobius@yahoo.com
Россия, Волгоград
E. Vipkhlo
Volgograd Branch of the Russian Scientific Institute for Fisheries and Oceanography–VolgogradNIRO, Volgograd, Russia
Autor responsável pela correspondência
Email: neogobius@yahoo.com
Россия, Волгоград
Bibliografia
- Александрова З.В., Семёнов А.Д., Ромова М.Г. и др. 1998. Режим кислорода и содержание биогенных веществ Азовского моря в многолетнем аспекте // Основные проблемы рыбного хозяйства и охраны рыбохозяйственных водоёмов Азово-Черноморского бассейна. Ростов н/Д.: Изд-во АзНИИРХ. С. 34–48.
- Вехов Д.А., Науменко А.Н., Горелов В.П. и др. 2014. Современное состояние и использование водных биоресурсов Цимлянского водохранилища (2009−2013 гг.) // Рыбохозяйственные исследования на водных объектах европейской части России. СПб.: Изд-во ГосНИОРХ. С. 116–145.
- Биология и промысловое значение рыбцов (Vimba) Европы. 1970. Вильнюс: Минтис, 516 с.
- Богачик Т.А. 1967. Морфологические адаптации челюстно-глоточного аппарата бычков (Gobiidae) // Вопр. ихтиологии. Т. 7. № 1 (42). С. 108–116.
- Богуцкая Н.Г., Болдырев В.С., Насека А.М. 2004. Бычки Neogobiinae (Teleostei, Gobiidae) в экосистемах Евразии и североамериканских Великих озёр // Биологические инвазии в водных и наземных экосистемах. М.: Т-во науч. изд. КМК. С. 297–320.
- Болдырев В.С. 2002. Видовой состав бычков (Gobiidae) в Волгоградском и Цимлянском водохранилищах // Рыбохозяйственные исследования в бассейне Волго-Донского междуречья на современном этапе. СПб.: Квинта Северо-Запад. С. 98–105.
- Болдырев В.С. 2007. Роль бычков (Gobiidae) в питании хищных рыб Цимлянского и Волгоградского водохранилищ // Матер. Междунар. науч.-практ. конф. “Состояние, охрана, воспроизводство и устойчивое использование биологических ресурсов внутренних водоемов”. Волгоград: Изд-во Волгоград. отд. ГосНИОРХ. С. 28–35.
- Болдырев В.С. 2021. Особенности биологии налима Lota lota (Gadidae) нижнего течения Волги // Вопр. ихтиологии. Т. 61. № 4. С. 423–431. https://doi.org/10.31857/S0042875221040019
- Болдырев В.С., Вехов Д.А., Хоружая В.В. и др. 2021. Ихтиофауна Цимлянского водохранилища // Вопр. ихтиологии. Т. 61. № 1. С. 36–45. https://doi.org/10.31857/S0042875221010057
- Васильева Е.Д. 1983. Остеологический анализ некоторых каспийских пуголовок в связи с систематикой рода Benthophilus (Gobiidae) // Вопр. ихтиологии. Т. 23. № 4. С. 544–556.
- Гавлена Ф.К. 1973. Звёздчатая пуголовка в Куйбышевском водохранилище // Вопр. ихтиологии. Т. 13. № 1 (78). С. 174–175.
- Григорчик А.П. 2019. Морфометрическая характеристика пуголовки звёздчатой Benthophilus stellatus (Sauvage, 1874) из реки Днепр (Беларусь) // Изв. НАН Беларуси. Сер. биол. наук. Т. 64. № 4. С. 492–498. https://doi.org/10.29235/1029-8940-2019-64-4-492-49
- Дренски П. 1951. Рибите в България. София: Изд-во Бълг. АН, 270 с.
- Ермолин В.П. 1980. Питание и степень использования рыбами кормовых ресурсов водохранилища // Тр. Саратов. отд. ГосНИОРХ. Т. 18. С. 63–77.
- Ермолин В.П. 1984. Экология питания рыб и пути повышения рыбопродуктивности Саратовского водохранилища: Автореф. дис. … канд. биол. наук. Л.: ГосНИОРХ, 24 с.
- Желтенкова М.В. 1964. Межвидовые и внутривидовые взаимоотношения бентосоядных рыб Азовского моря // Вопр. ихтиологии. Т. 4. № 3 (32). С. 545–561.
- Иванков В.Н. 2001. Репродуктивная биология рыб. Владивосток: Изд-во ДВГУ, 224 с.
- Иванчев В.П., Иванчева Е.Ю. 2010. Круглоротые и рыбы Рязанской области и прилежащих территорий. Рязань: НП “Голос губернии”, 292 с.
- Ивлев В.С. 1955. Экспериментальная экология питания рыб. М.: Пищепромиздат, 252 с.
- Ильин Б.С. 1927а. Биология азовских пуголовок (Benthophilus, Pisces, Gobiidae) // Изв. Гос. ин-та опытн. агрономии. Т. 5. № 4. С. 308–309.
- Ильин Б.С. 1927б. Определитель бычков (Fam. Gobiidae) Азовского и Чёрного морей // Тр. Азово-Черном. науч.-промысл. экспедиции. № 2. С. 128–143.
- Иоффе Ц.И. 1968. Обзор выполненных работ по акклиматизации кормовых беспозвоночных для рыб в водохранилищах // Изв. ГосНИОРХ. Т. 67. С. 7–29.
- Калинина Э.М. 1976. Размножение и развитие черноморско-азовских бычков. Киев: Наук. думка, 120 с.
- Касьянов A.Н., Клевакин А.А. 2011. Звёздчатая пуголовка Benthophilus stellatus (Sauvage, 1874) Чебоксарского водохранилища // Рос. журн. биол. инвазий. Т. 4. № 3. С. 2–6.
- Киналев Н.М. 1937. Питание бычков в Северном Каспии // Зоол. журн. Т. 16. Вып. 4. С. 755–772.
- Клевакин А.А. 2003. Звёздчатая пуголовка Benthophilus stellatus (Sauvage, 1874) – новый вид рыб отряда окунеобразных (Perciformes) Чебоксарского водохранилища // Тез. докл. междунар. конф. “Экологические проблемы крупных рек – 3”: Тольятти: Изд-во ИЭВБ РАН. С. 120.
- Коблицкая А.Ф. 1966. Определитель молоди рыб дельты Волги. М.: Наука, 166 с.
- Кодухова Ю.В., Боровикова Е.А., Карабанов Д.П. 2016. Первая находка звёздчатой пуголовки Benthophilus stellatus (Sauvage, 1874) (Actinopterygii: Gobiidae) в Рыбинском водохранилище // Биология внутр. вод. № 4. С. 94–96.
- Костюченко В.А. 1960. Питание бычка-кругляка и использование им кормовой базы Азовского моря // Тр. АзНИИРХ. Т. 1. № 1. С. 341–360.
- Кудерский Л.А., Гончаренко К.С., Дрозжина К.С. и др. 1995. Звёздчатая пуголовка в водохранилищах волжского каскада // Результаты работ по акклиматизации водных организмов. СПб.: Изд-во ГосНИОРХ. С. 136–146.
- Куликова Н.И., Фандеева В.Н. 1975. О порционности икрометания бычка-кругляка (Gobius melanostomus Pallas) // Тр. ВНИРО. Т. 96. Вып. 4. С.18–27.
- Майский В.Н. 1955. Питание и кормовая база судака в Азовском море // Тр. ВНИРО. Т. 31. Вып. 1. С. 337–355.
- Макеева А.П., Павлов Д.С., Павлов Д.А. 2011. Атлас молоди пресноводных рыб России. М.: Т-во науч. изд. КМК, 383 с.
- Манило Л.Г. 2011. Пуголовка азовская, Benthophilus magistri (Gobiidae, Perciformes) — редкий вид в ихтиофауне Украины // Збірник праць Зоологічного музею. № 42. С. 92–99.
- Методическое пособие по изучению питания и пищевых отношений рыб в естественных условиях. 1974. М.: Наука, 254 с.
- Мовчан Ю.В., Манило Л.Г., Смирнов А.И. и др. 2003. Каталог коллекций зоологического музея ННПМ НАН Украины. Круглоротые и рыбы. Киев: Изд-во Зоомузея ННПМ НАНУ, 241 с.
- Насека А.М., Болдырев В.С., Сподарева В.В. и др. 2012. Каталог фондовой коллекции Зоологического института РАН. Класс лучепёрые рыбы (Actinopterygii). Отряд окунеобразные (Perciformes), подотряд бычковидные (Gobioidei). Семейство бычковые (Gobiidae) черноморско-каспийского бассейна // Исследования фауны морей. Т. 73 (81). СПб.: Т-во науч. изд. КМК, 123 с.
- Овен Л.С. 1976. Особенности оогенеза и характер нереста морских рыб. Киев: Наук. думка, 132 с.
- Рагимов Д.Б. 1981. Распространение и численность бычковых (Gobiidae) в Северном Каспии // Вопр. ихтиологии. Т. 21. № 2 (127). С. 223–231.
- Рагимов Д.Б. 1985. Материалы по размножению некоторых каспийских видов пуголовок рода Benthophilus Eichwald (Gobiidae) // Вопр. ихтиологии. Т. 25. № 2. С. 242‒247.
- Ращеперин В.К. 1964. Особенности порционного икрометания бычка-кругляка Азовского моря и численность его молоди // Труды молодых ученых. М.: Пищепромиздат. С. 70–74.
- Рейх Е.М. 1976. Питание молоди некоторых азовоморских бычков // Биологические ресурсы Азовского моря. Ростов н/Д: Изд-во РГУ. С. 26–34.
- Решетников Ю.С., Попова О.А. 2015. О методиках полевых ихтиологических исследований и точности полученных результатов // Тр. ВНИРО. Т. 156. С. 114–131.
- Решетников Ю.С., Попова О.А., Кияшко В.И. и др. 2016. Обыкновенный ёрш Gymnocеphalus cernuus (Linnaeus, 1758). М.: Т-во науч. изд. КМК, 279 с.
- Романеску В. 2015. Первая находка Benthophilus durrelli Boldyrev et Bogutskaya, 2004 (Perciformes: Gobiidae) в реке Днестр // Чтения памяти Л.Л. Попа. Тирасполь: Изд-во ПГУ. С. 102–108.
- Семенов Д.Ю. 2011. Данные о морфологии и биологии звёздчатой пуголовки Benthophilus stellatus (Perciformes, Gobiidae) // Пробл. регион. экологии. № 1. С. 73–77.
- Смирнов А.И. 1986. Фауна Украины. Т. 8. Рыбы. Вып. 5. Киев: Наук. думка, 313 с.
- Солодовников С.В. 1930. Риби, зібрані Донецькою Науковою Експедицією (р. 1927) // Труди Донецької Наукової Експедиції. № 1. Харків: Пролетарий. С. 33–40.
- Спановская В.Д., Григораш В.А. 1976. К методике определения плодовитости единовременно и порционно икромечущих рыб // Типовые методики исследований продуктивности видов рыб в пределах их ареалов. Ч. 2. Вильнюс: Мокслас. С. 54–75.
- Студеникина Е.И., Толоконникова Л.И., Воловик С.П. и др. 1998. Характеристика донных сообществ в современный период // Основные проблемы рыбного хозяйства и охраны рыбохозяйственных водоёмов Азово-Черноморского бассейна. Ростов н/Д.: Изд-во АзНИИРХ. С. 67–77.
- Трифонов Г.П. 1955. Биология размножения азовских бычков // Тр. Карадаг. биостанции. № 13. С. 5–45.
- Ульман Э.Ж. 1970. Бычки Каховского водохранилища и их биологическое значение // Автореф. дис. … канд. биол. наук. Ростов н/Д.: РГУ, 20 с.
- Шакирова Ф.М., Северов Ю.А., Латыпова В.З. 2015. Современный состав чужеродных видов рыб Куйбышевского водохранилища и возможности проникновения новых представителей в экосистему водоёма // Рос. журн. биол. инвазий. Т. 8. № 3. С. 77–98.
- Шандиков Г.О., Гончаров Г.Л. 2008. Редкие виды рыб бассейна Северского Донца северо-восточной Украины // Вестн. Харьков. нац. ун-та. Сер. биол. Вып. 8. № 828. С. 65–90.
- Шашуловский В.А., Ермолин В.П. 2005. Состав ихтиофауны Волгоградского водохранилища // Вопр. ихтиологии. Т. 45. № 3. С. 324–330.
- Шемонаев Е.В., Кириленко Е.В. 2011. Данные о морфологии и биологии пуголовки звёздчатой Benthophilus stellatus (Sauvage, 1874) Куйбышевского водохранилища // Вестн. СамГУ. № 5 (86). С. 182–186.
- Шорыгин А.А. 1952. Питание и пищевые взаимоотношения рыб Каспийского моря. М.: Пищепромиздат, 268 с.
- Bănărescu P. 1964. Fauna Republicii Populare Române, Pisces−Osteichthyes. V. 13. Bucureşti: Acad. R.P. Române, 959 p.
- Boldyrev V.S., Bogutskaya N.G. 2004. A description of two new species of tadpole-gobies (Teleostei: Gobiidae: Benthophilus) // Zoosyst. Rossica. V. 13. № 1. P. 129–135.
- Boldyrev V.S., Bogutskaya N.G. 2007. Revision of the tadpole-gobies of the genus Benthophilus (Teleostei: Gobiidae) // Ichthyol. Explor. Freshwat. V. 18. № 1. P. 31–96.
- Karabanov D.P., Bekker E.I., Pavlov D.D. et al. 2022. New Sets of Primers for DNA Identification of Non-Indigenous Fish Species in the Volga-Kama Basin (European Russia) // Water. V. 14. № 3. Article 437. https://doi.org/10.3390/w14030437
- Kottelat M., Freyhof J. 2007. Handbook of European freshwater fishes. Cornol; Berlin: Kottelat and Freyhof, 646 p.
- Kovačić M., Esmaeili H.R., Zarei U.K. et al. 2021. A new species of tadpole-goby, Benthophilus persicus sp. nov. (Teleostei: Gobiidae) from the southern Caspian Sea // Zoo-taxa. V. 4980. № 1. P. 45–63. https://doi.org/10.11646/zootaxa.4980.1.3
- Miller P.J. 1986. Gobiidae // Fishes of the North-eastern Atlantic and the Mediterranean. V. 3. Paris: UNESCO. P. 1019–1085.
- Patimar R., Qaranjiki A., Bahalkeh A. 2019. Life history traits of the Caspian stellate tadpole-goby Benthophilus leobergius Berg, 1949 (Teleostei: Gobiidae) from the southeastern Caspian Sea, Iran // Iran. J. Ichthyol. V. 6. № 4. P. 254–263. https://doi.org/10.22034/iji.v6i4.361
- Rizevsky V., Leschenko A., Ermolaeva I. et al. 2013. First record of the Ponto-Caspian stellate tadpole-goby Benthophilus stellatus (Sauvage, 1874) from the Dnieper River, Belarus // Bioinvasions Rec. V. 2. № 2. P. 159–161. https://doi.org/10.3391/BIR.2013.2.2.12
- Sindilariu P., Freyhof J. 2003. Food overlap of benthic fishes in the Danube Delta, with special respect to two invasive gobiids (Teleostei: Gobiidae, Percidae, Cyprinidae) // Lauterbornia. № 46. P.149-157.
- The freshwater fishes of Europe. 2004. V. 8/II. Gobiidae. 2. Weibelsheim: AULA-Verlag, 478 p.
Arquivos suplementares



















