Study of Correlations and Genetic Associations of Body Measurements in Female Reindeer (Rangifer tarandus) of the Nenets Breed
- Authors: Svishcheva G.R.1,2, Semina M.T.1, Konorov E.A.1, Nikolaeva E.A.1, Kashtanov S.N.1, Laishev K.A.1,3, Yuzhakov A.A.1,3, Stolpovsky Y.A.1
-
Affiliations:
- Vavilov Institute of General Genetics, Russian Academy of Sciences
- Federal Research Center, Institute of Cytology and Genetics, Siberian Branch of the Russian Academy of Sciences
- St. Petersburg Federal Research Center, Russian Academy of Sciences
- Issue: Vol 143, No 5 (2023)
- Pages: 454-465
- Section: Articles
- Submitted: 17.10.2023
- Published: 01.09.2023
- URL: https://ogarev-online.ru/0042-1324/article/view/138955
- DOI: https://doi.org/10.31857/S0042132423050095
- EDN: https://elibrary.ru/QWUNEY
- ID: 138955
Cite item
Full Text
Abstract
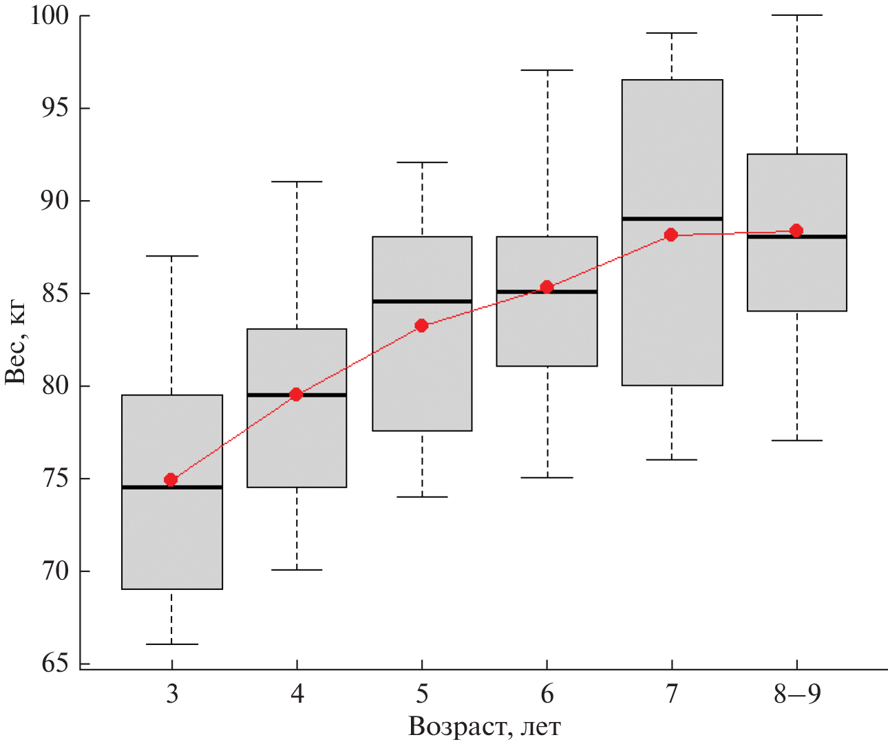
The breeding potential of reindeer husbandry is determined by competent work with genetic resources; therefore, the study of the phenotypic traits of reindeer must be carried out in combination with the study of the features of their gene pools. In this work, we analysed the correlations and genetic associations of phenotypic traits in 98 female reindeer (Rangifer tarandus) of the Nenets breed aged from 3 to 9 years in a comparative aspect according to the main body measurements and physique indexes calculated from these measurements. A panel of 16 microsatellite loci (BMS1788, RT30, RT1, RT9, C143, RT7, OHEQ, FCB193, RT6, C217, RT24, C32, BMS745 NVHRT16, T40 and C276) was used for analysis. The search for associations between the genotype and phenotype of reindeer was performed using regression analysis; only for three phenotypic traits, height at the withers, chest depth and the index of prolixity, non-zero heritability was revealed. Using correlation analysis, it was found that the live weight of adult females, taking into account age and genetic relationship, has a high positive correlation with the height at the withers (r ≈ 0.70), chest girth (r ≈ 0.79) and chest depth (r ≈ 0.73).
Keywords
About the authors
G. R. Svishcheva
Vavilov Institute of General Genetics, Russian Academy of Sciences; Federal Research Center, Institute of Cytology and Genetics,Siberian Branch of the Russian Academy of Sciences
Author for correspondence.
Email: gulsvi@mail.ru
Russia, Moscow; Russia, Novosibirsk
M. T. Semina
Vavilov Institute of General Genetics, Russian Academy of Sciences
Email: stolpovsky@mail.ru
Russia, Moscow
E. A. Konorov
Vavilov Institute of General Genetics, Russian Academy of Sciences
Email: stolpovsky@mail.ru
Russia, Moscow
E. A. Nikolaeva
Vavilov Institute of General Genetics, Russian Academy of Sciences
Email: stolpovsky@mail.ru
Russia, Moscow
S. N. Kashtanov
Vavilov Institute of General Genetics, Russian Academy of Sciences
Email: stolpovsky@mail.ru
Russia, Moscow
K. A. Laishev
Vavilov Institute of General Genetics, Russian Academy of Sciences; St. Petersburg Federal Research Center, Russian Academy of Sciences
Email: stolpovsky@mail.ru
Russia, Moscow; Russia, St. Petersburg
A. A. Yuzhakov
Vavilov Institute of General Genetics, Russian Academy of Sciences; St. Petersburg Federal Research Center, Russian Academy of Sciences
Author for correspondence.
Email: alyuzhakov@yandex.ru
Russia, Moscow; Russia, St. Petersburg
Yu. A. Stolpovsky
Vavilov Institute of General Genetics, Russian Academy of Sciences
Author for correspondence.
Email: stolpovsky@mail.ru
Russia, Moscow
References
- Деряженцев В., Шифнер К. Наследственность и коррелятивные связи некоторых хозяйственно-полезных признаков северных оленей / Науч. тр. Магадан. зон. НИИСХ Северо-Востока. 1978. Вып. 7. С. 4–11.
- Дьяченко Н. Рекомендации по племенной работе в северном оленеводстве. Норильск: НИИСХ Крайнего Севера, 1970. 82 с.
- Мухачев А. Морфологические особенности и мясная продуктивность северных оленей Полярного Урала: Дис. … канд. биол. наук. М.: ВСХИЗО, 1968. 240 с.
- Рожков Ю., Проняев А. Коэффициент сходства между популяциями по количественным признакам и генотипам // С.-х. биол. 1992. № 6. 26–35.
- Семина М., Каштанов С., Бабаян О. и др. Анализ генетического разнообразия и популяционной структуры ненецкой аборигенной породы северных оленей на основе микросателлитных маркеров // Генетика. 2022. Т. 58 (8). С. 954–966.
- Югай В. Экстерьерные особенности северных оленей в условиях Ямала // Аграр. вестн. Урала. 2009. № 10 (64). С. 48–51.
- Южаков А. О наследуемости и повторяемости живой массы у северных оленей // Сиб. вестн. с.-х. науки. 2003. № 3 (149). С. 165–168.
- Южаков А., Романенко Т., Лайшев К. Феногеографическая изменчивость северных оленей ненецкой породы // Изв. СПб. гос. аграр. ун-та. 2017. № 2 (47). С. 115–122.
- Adamack A.T., Gruber B. PopGenReport: simplifying basic population genetic analyses in R // Meth. Ecol. Evol. 2014. V. 5 (4). P. 384–387.
- Agapow P.M., Burt A. Indices of multilocus linkage disequilibrium // Mol. Ecol. Notes. 2001. V. 1 (1–2). P. 101–102.
- Belonogova N.M., Svishcheva G.R., Axenovich T.I. FREGAT: an R package for region-based association analysis // Bioinformatics. 2016. V. 32 (15). P. 2392–2393. https://doi.org/10.1093/bioinformatics/btw160
- Dodokhov V., Pavlova N., Rumyantseva T., Kalashnikov L. Genetic characteristics of the even breed of deer in Yakutia // IOP Conference Series: Earth and Environmental Science / Int. sci. and technol. conf. “Earth science”. Vladivostok, Russian Federation, 08–10 December, 2020. Vladivostok: IOP Publishing Ltd, 2021. V. 666 (2). Art. 032063.
- Goudet J. HIERFSTAT, a package for R to compute and test hierarchical F-statistics // Mol. Ecol. Notes. 2005. V. 5 (1). P. 184–186.
- Gruber B., Adamack A.T. Landgenreport: a new R function to simplify landscape genetic analysis using resistance surface layers // Mol. Ecol. Res. 2015. V. 15 (5). P. 1172–1178.
- Holand H., Kvalnes T., Røed K. H. et al. Stabilizing selection and adaptive evolution in a combination of two traits in an arctic ungulate // Evolution. 2020. V. 74 (1). P. 103–115.
- Jombart T. adegenet: a R package for the multivariate analysis of genetic markers // Bioinformatics. 2008. V. 24 (11). P. 1403–1405.
- Kamvar Z.N., Tabima J.F., Grünwald N.J. Poppr: an R package for genetic analysis of populations with clonal, partially clonal, and/or sexual reproduction // Peer J. 2014. V. 2. P. e281.
- Muuttoranta K., Holand Ø., Røed K.H. et al. Genetic and environmental effects affecting the variation in birth date and birth weight of reindeer calves // Rangifer. 2013. V. 33 (1). P. 25–35.
- Muuttoranta K., Holand Ø., Røed K.H. et al. Genetic variation in meat production related traits in reindeer (Rangifer t. tarandus) // Rangifer. 2014. V. 34 (1). P. 21–36.
- Muuttoranta K., Nieminen M., Mäki-Tanila A. Estimating maternal effects on growth of reindeer (Rangifer t. tarandus) // Proc. of the 9th World congress on genetics applied to livestock production, Leipzig, Germany, 1st–6th August, 2010. 2010. 4 p.
- Paradis E. Pegas: an R package for population genetics with an integrated-modular approach // Bioinformatics. 2010. V. 26 (3). P. 419–420.
- Stolpovsky Y.A., Babayan O., Kashtanov S. et al. Genetic evaluation of the breeds of reindeer (Rangifer tarandus) and their wild ancestor using a new panel of STR markers // Russ. J. Genet. 2020. V. 56 (12). P. 1469–1483.
- Svishcheva G., Babayan O., Sipko T. et al. Genetic differentiation between coexisting wild and domestic reindeer (Rangifer tarandus L. 1758) in Northern Eurasia // Genet. Res. 2022. V. 3 (6). P. 1–14.
- Wilson A.J., Kruuk L.E., Coltman D.W. Ontogenetic patterns in heritable variation for body size: using random regression models in a wild ungulate population // Am. Nat. 2005.V. 166 (6). P. E177–E192.
Supplementary files







