Disturbance in Expression of Lactate Transporters in Brain Cells under Acute Toxic Effect of Beta-Amyloid In Vitro and In Vivo
- Authors: Gorina Y.V.1, Kharitonova E.V.1, Khilazheva E.D.1, Semenova A.A.1, Morgun A.V.2, Komleva Y.K.1,3, Lopatina O.L.2, Salmina A.B.1,4
-
Affiliations:
- Research Institute of Molecular Medicine and Pathobiochemistry, Voino-Yasenetsky Krasnoyarsk State Medical University
- Department of Outpatient Pediatrics and Propaedeutics of Childhood Diseases with a Postgraduate Course, Voino-Yasenetsky Krasnoyarsk State Medical University
- Center for Collective Use Molecular and Cellular Technologies, Voino-Yasenetsky Krasnoyarsk State Medical University
- Laboratory of Neurobiology and Tissue Engineering, Brain Institute, Scientific Center of Neurology
- Issue: Vol 65, No 1 (2023)
- Pages: 64-81
- Section: Articles
- URL: https://ogarev-online.ru/0041-3771/article/view/140069
- DOI: https://doi.org/10.31857/S0041377123010042
- EDN: https://elibrary.ru/GOTNXZ
- ID: 140069
Cite item
Full Text
Abstract
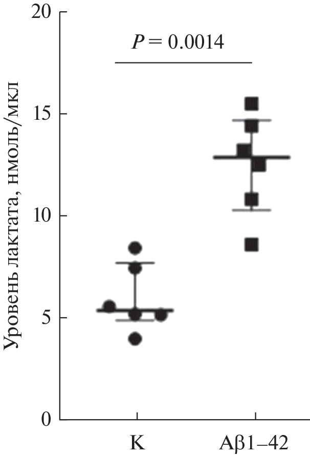
Decreased energy metabolism in the brain correlates with cognitive impairment in Alzheimer’s disease. Accumulating experimental data indicate that lactate transporters and monocarboxylate transporters (MCTs) are directly involved in cerebral energy metabolism. However, to date, changes in lactate levels and MCT content in Alzheimer’s disease remain unclear. The aim of the study was to study the content of lactate and of its transporters – MCT1 and MCT2 in cells of neuronal, astroglial and endothelial nature under acute toxic effects of beta-amyloid (Aβ1–42) in vitro and in vivo. Under conditions of acute toxic action of Aβ1–42 in vivo, a significant (P ≤ 0.05) decrease in the level of lactate in the hippocampal tissue and an increase (P ≤ 0.05) in the dialysate were found. At the same time, a low (P ≤ 0.05) levels of MCT1 and MCT2 was set. In vitro, significantly high (P ≤ 0.05) production of lactate by astrocytes was revealed, coupled with low (P ≤ 0.05) level of MCT2 on neurons. Thus, it was found that Aβ1–42 causes a decrease in the level of lactate in the hippocampal tissue and an increase in its level in dialysate in vivo, which correlates with the impaired level of MCT1 and MCT2. This indicates a violation of energy metabolism due to the acute toxic effect of Aβ1–42. At the same time, the revealed increase in the production of lactate by astrocytes in vitro may indicate the inclusion of a compensatory mechanism aimed at maintaining the astrocyte-neuronal interaction.
Keywords
About the authors
Ya. V. Gorina
Research Institute of Molecular Medicine and Pathobiochemistry, Voino-Yasenetsky Krasnoyarsk State Medical University
Author for correspondence.
Email: yana_20@bk.ru
Russia, 660022, Krasnoyarsk
E. V. Kharitonova
Research Institute of Molecular Medicine and Pathobiochemistry, Voino-Yasenetsky Krasnoyarsk State Medical University
Email: yana_20@bk.ru
Russia, 660022, Krasnoyarsk
E. D. Khilazheva
Research Institute of Molecular Medicine and Pathobiochemistry, Voino-Yasenetsky Krasnoyarsk State Medical University
Email: yana_20@bk.ru
Russia, 660022, Krasnoyarsk
A. A. Semenova
Research Institute of Molecular Medicine and Pathobiochemistry, Voino-Yasenetsky Krasnoyarsk State Medical University
Email: yana_20@bk.ru
Russia, 660022, Krasnoyarsk
A. V. Morgun
Department of Outpatient Pediatrics and Propaedeutics of Childhood Diseases with a Postgraduate Course,Voino-Yasenetsky Krasnoyarsk State Medical University
Email: yana_20@bk.ru
Russia, 660022, Krasnoyarsk
Yu. K. Komleva
Research Institute of Molecular Medicine and Pathobiochemistry, Voino-Yasenetsky Krasnoyarsk State Medical University; Center for Collective Use Molecular and Cellular Technologies, Voino-Yasenetsky Krasnoyarsk State Medical University
Email: yana_20@bk.ru
Russia, 660022, Krasnoyarsk; Russia, 660022, Krasnoyarsk
O. L. Lopatina
Department of Outpatient Pediatrics and Propaedeutics of Childhood Diseases with a Postgraduate Course,Voino-Yasenetsky Krasnoyarsk State Medical University
Email: yana_20@bk.ru
Russia, 660022, Krasnoyarsk
A. B. Salmina
Research Institute of Molecular Medicine and Pathobiochemistry, Voino-Yasenetsky Krasnoyarsk State Medical University; Laboratory of Neurobiology and Tissue Engineering, Brain Institute, Scientific Center of Neurology
Email: yana_20@bk.ru
Russia, 660022, Krasnoyarsk; Russia, 125367, Moscow
References
- Горина Я.В., Комлева Ю.К., Лопатина О.Л., Черных А.И., Салмина А.Б. 2017. Влияние инсулинорезистентности на нарушение метаболизма глюкозы в миндалине головного мозга при экспериментальной болезни Альцгеймера. Бюлл. сибирской мед. № 6. С. 1. (Gorina Ya.V., Komleva Yu.K., Lopatina O.L., Chernykh A.I., Salmina A.B. 2017. Influence of insulin resistance on increased risk of brain amygdala development in experimental Alzheimer’s disease. Bulletin of Siberian medicine. № 6. Р. 1.)
- Комлева Ю.К., Малиновская Н.А., Горина Я.В., Лопатина О.Л., Волкова В.В., Салмина А.Б. 2015. Экспрессия молекул CD38 и CD157 в ольфакторных луковицах головного мозга при экспериментальной болезни Альцгеймера. Сибирское медицинское обозрение. № 5. С. 45. (Komleva Yu.K., Malinovskaya N.A., Gorina Ya.V., Lopatina O.L., Volkova V.V., Salmina A.B. 2015. Expression of CD38 and CD157 molecules in the olfactory bulbs of the brain in experimental Alzheimer’s disease. Siberian Med. Rev. № 5. Р. 45.)
- Лобзин В.Ю., Одинак М.М., Фокин В.А., Воробьев С.В., Емелин А.Ю., Лупанов И.А., Кудяшева А.В., Соколов А.В. 2013. Метаболические изменения головного мозга при болезни Альцгеймера, сосудистой и смешанной деменции. Биомед. журнал медлайн.ру. С. 1085. (Lobzin V.Yu., Odinak M.M., Fokin V.A., Vorobyov S.V., Emelin A.Yu., Lupanov I.A., Kudyasheva A.V., Sokolov A.V. 2013. Brain metabolic changes in Alzheimer’s disease, vascular and mixed dementia. Biomed. J. Medline.ru. P. 1085.)
- Моргун А.В., Кувачева Н.В., Комлева Ю.К., Кутищева И.А., Окунева О.С., Дробушевская А.И., Хилажева Е.Д., Черепанов С.М., Салмина А.Б. 2013. Дифференцировка эмбриональных прогениторных клеток мозга крыс в астроциты и нейроны. Сибирское мед. обозрение. № 6. С. 9. (Morgun A.V., Kuvacheva N.V., Komleva Yu.K., Kutishcheva I.A., Okuneva O.S., Drobushevskaya A.I., Khilazheva E.D., Cherepanov S.M., Salmina A.B. 2013. Differentiation of rat brain embryonic progenitor cells into astrocytes and neurons. Siberian Med. Rev. № 6. Р. 9.)
- Allaman I., Gavillet M., Bélanger M., Laroche T., Viertl D., Lashuel H.A., Magistretti P.J. 2010. Amyloid-beta aggregates cause alterations of astrocytic metabolic phenotype: impact on neuronal viability. J. Neurosci. V. 30. P. 3326. https://doi.org/10.1523/JNEUROSCI.5098-09.2010
- Bartolotti N., Lazarov O. 2019. CREB signals as PBMC-based biomarkers of cognitive dysfunction: a novel perspective of the brain-immune axisBrain Behav. Immun. V. 78. P. 9. https://doi.org/10.1016/j.bbi.2019.01.004
- Bekinschtein P., Cammarota M., Katche C., Slipczuk L., Rossato J.I., Goldin A., Izquierdo I., Medina J.H. 2008. BDNF is essential to promote persistence of long-term memory storage. Proc. Natl. Acad. Sci. USA. V. 105. P. 2711. https://doi.org/10.1073/pnas.0711863105
- Bergersen L.H. 2015. Lactate transport and signaling in the brain: potential therapeutic targets and roles in body-brain interaction. J. Cereb. Blood Flow. Metab. V. 35. P. 176. https://doi.org/10.1038/jcbfm.2014.206
- Berthet C., Castillo X., Magistretti P.J., Hirt L. 2012. New evidence of neuroprotection by lactate after transient focal cerebral ischaemia: extended benefit after intracerebroventricular injection and efficacy of intravenous administration. Cerebrovasc Dis. V. 34. P. 329. https://doi.org/10.1159/000343657
- Bolaños J.P., Almeida A., Moncada S. 2010. Glycolysis: a bioenergetic or a survival pathway? Trends Biochem. Sci. V. 35. P. 145. https://doi.org/10.1016/j.tibs.2009.10.006
- Bondi M.W., Edmonds E.C., Salmon D.P. 2017. Alzheimer’s disease: past, present, and future. J. Int. Neuropsychol. Soc. V. 23. P. 818. https://doi.org/10.1017/S135561771700100X
- Boury-Jamot B., Carrard A., Martin J.L., Halfon O., Magistretti P.J., Boutrel B. 2016. Disrupting astrocyte-neuron lactate transfer persistently reduces conditioned responses to cocaine. Mol. Psychiatry. V. 21. P. 1070. https://doi.org/10.1038/mp.2015.157
- Coco M., Caggia S., Musumeci G., Perciavalle V., Graziano A.C.E., Pannuzzo G., Cardile V. 2013. Sodium L-lactate differently affects brain-derived neurothrophic factor, inducible nitric oxide synthase, and heat shock protein 70 kDa production in human astrocytes and SH-SY5Y cultures. J. Neurosci. Res. V. 91. P. 313. https://doi.org/10.1002/jnr.23154
- Correia S.C., Santos R.X., Carvalho C., Cardoso S., Candeias E., Santos M.S., Oliveira C.R., Moreira P.I. 2012. Insulin signaling, glucose metabolism and mitochondria: major players in Alzheimer’s disease and diabetes interrelation. Brain Res. V. 1441. P. 64. https://doi.org/10.1016/j.brainres.2011.12.063
- Croteau E., Castellano C.A., Fortier M., Bocti C., Fulop T., Paquet N., Cunnane S.C. 2018. A cross-sectional comparison of brain glucose and ketone metabolism in cognitively healthy older adults, mild cognitive impairment and early Alzheimer’s disease. Exp. Gerontol. V.107. P.18. https://doi.org/10.1016/j.exger.2017.07.004
- Cunnane S., Nugent S., Roy M., Courchesne-Loyer A., Croteau E., Tremblay S., Castellano A., Pifferi F., Bocti C., Paquet N., Begdouri H., Bentourkia M., Turcotte E., Allard M., Barberger-Gateau P., Fulop T., Rapoport S.I. 2011. Brain fuel metabolism, aging, and Alzheimer’s disease. Nutrition. V. 27. P. 3. https://doi.org/10.1016/j.nut.2010.07.021
- Ding F., Yao J., Rettberg J.R., Chen S., Brinton R.D. 2013. Early decline in glucose transport and metabolism precedes shift to ketogenic system in female aging and Alzheimer’s mouse brain: implication for bioenergetic intervention. PLoS One. V. 8. P. e79977. https://doi.org/10.1371/journal.pone.0079977
- Encinas J.M., Enikolopov G. 2008. Identifying and quantitating neural stem and progenitor cells in the adult brain. Methods Cell Biol. V. 85. P. 243. https://doi.org/10.1016/S0091-679X(08)85011-X
- Epelbaum S., Youssef I., Lacor P.N., Chaurand P., Duplus E., Brugg B., Duyckaerts C., Delatour B. 2015. Acute amnestic encephalopathy in amyloid-β oligomer-injected mice is due to their widespread diffusion in vivo. Neurobiol Aging. V. 36. P. 2043. https://doi.org/10.1016/j.neurobiolaging.2015.03.005
- Falkowska A., Gutowska I., Goschorska M., Nowacki P., Chlubek D., Baranowska-Bosiacka I. 2015. Energy metabolism of the brain, including the cooperation between astrocytes and neurons, especially in the context of glycogen metabolism. Int. J. Mol. Sci. V. 16. P. 25959. https://doi.org/10.3390/ijms161125939
- Forlenza O.V., Diniz B.S., Gattaz W.F. 2010. Diagnosis and biomarkers of predementia in Alzheimer’s disease. BMC Med. V. 8. P. 89. https://doi.org/10.1186/1741-7015-8-89
- Gordon G.R., Howarth C., MacVicar B.A. 2016. Bidirectional control of blood flow by astrocytes: a role for tissue oxygen and other metabolic factors. Adv. Exp. Med. Biol. V. 903. P. 209. https://doi.org/10.1007/978-1-4899-7678-9_15
- Harris J.J., Attwell D. 2012. The energetics of CNS white matter. J. Neurosci. V. 32. P. 356. https://doi.org/10.1523/JNEUROSCI.3430-11.2012
- Harris R.A. 2017. Cerebral lactate metabolism and memory: Implications for Alzheimer’s disease. Electronic Thesis and Dissertation Repository. P. 4529.
- Hashimoto T., Hussien R., Oommen S., Gohil K., Brooks G.A. 2007. Lactate sensitive transcription factor network in L6 cells: activation of MCT1 and mitochondrial biogenesis. FASEB J. V. 21. P. 2602. https://doi.org/10.1096/fj.07-8174com
- Hui S., Ghergurovich J.M., Morscher R.J., Jang C., Teng X., Lu W., Esparza L.A., Reya T., Le Z., Yanxiang Guo J., White E., Rabinowitz J.D. 2017. Glucose feeds the TCA cycle via circulating lactateNature. V. 551. P. 115. https://doi.org/10.1038/nature24057
- Jin N., Qian W., Yin X., Zhang L., Iqbal K., Grundke-Iqbal I., Gong C.-X., Liu F. 2013. CREB regulates the expression of neuronal glucose transporter 3: a possible mechanism related to impaired brain glucose uptake in Alzheimer’s disease. Nucleic Acids Res. V. 41. P. 3240. https://doi.org/10.1093/nar/gks1227
- Koenig M.K. 2008. Presentation and diagnosis of mitochondrial disorders in children. Pediatr. Neurol. V. 38. P. 305. https://doi.org/10.1016/j.pediatrneurol
- Liguori C., Chiaravalloti A., Sancesario G., Stefani A., Sancesario G.M., Mercuri N.B., Schillaci O., Pierantozzi M. 2016. Cerebrospinal fluid lactate levels and brain [18F]FDG PET hypometabolism within the default mode network in Alzheimer’s disease. Eur. J. Nucl. Med. Mol. Imaging. V. 43. P. 2040. https://doi.org/10.1007/s00259-016-3417-2
- Liguori C., Stefani A., Sancesario G., Sancesario G.M., Marciani M.G., Pierantozzi M. 2015. CSF lactate levels, τ proteins, cognitive decline: a dynamic relationship in Alzheimer’s disease. J. Neurol. Neurosurg. Psychiatry. V. 86. P. 655. https://doi.org/10.1136/jnnp-2014-308577
- Liu Y., Xue Q., Tang Q., Hou M., Qi H., Chen G., Chen W., Zhang J., Chen Y., Xu X. 2013. A simple method for isolating and culturing the rat brain microvascular endothelial cells. Microvasc. Res. V. 90. P. 199. https://doi.org/10.1016/j.mvr.2013.08.004
- Lu W., Huang J., Sun S., Huang S., Gan S., Xu J., Yang M., Xu S., Jiang X. 2015. Changes in lactate content and monocarboxylate transporter 2 expression in Aβ25−35-treated rat model of Alzheimer’s disease. Neurol Sci. V. 36. P. 871. https://doi.org/10.1007/s10072-015-2087-3
- Mohamed A., Posse de Chaves E. 2011. Aβ internalization by neurons and glia. Int. J. Alzheimers Dis. P. 127984. https://doi.org/10.4061/2011/127984
- Moreira T.J., Pierre K., Maekawa F., Repond C., Cebere A., Liljequist S., Pellerin L. 2009. Enhanced cerebral expression of MCT1 and MCT2 in a rat ischemia model occurs in activated microglial cells. J. Cereb. Blood Flow Metab. V. 29. P. 1273. https://doi.org/10.1038/jcbfm.2009.50
- Mosconi L., Mistur R., Switalski R., Tsui W.H., Glodzik L., Li Y., Pirraglia E., De Santi S., Reisberg B., Wisniewski T., de Leon M. 2009. FDG-PET changes in brain glucose metabolism from normal cognition to pathologically verified Alzheimer’s disease. J. Eur. J. Nucl. Med. Mol. Imaging. V. 36. P. 811. https://doi.org/10.1007/s00259-008-1039-z
- Muraleedharan R., Gawali M.V., Tiwari D., Sukumaran A., Oatman N., Anderson J., Nardini D., Bhuiyan M.A.N., Tkáč I., Ward A.L., Kundu M., Waclaw R., Chow L.M., Gross C., Rao R., Schirmeier S., Dasgupta B. 2020. AMPK-Regulated Astrocytic lactate shuttle plays a non-cell-autonomous role in neuronal survival. Cell Rep. V. 32. P. 108092. https://doi.org/10.1016/j.celrep.2020.108092
- Nagase M., Takahashi Y., Watabe A.M., Kubo Y., Kato F. 2014. On-site energy supply at synapses through monocarboxylate transporters maintains excitatory synaptic transmission. J. Neurosci. V. 34. P. 2605. https://doi.org/10.1523/JNEUROSCI.4687-12.2014
- Newman L.A., Korol D.L., Gold P.E. 2011. Lactate produced by glycogenolysis in astrocytes regulates memory processing. PLoS One. V. 6. P. e28427. https://doi.org/0.1371/journal.pone.0028427
- Nielsen H.M., Veerhuis R., Holmqvist B., Janciauskiene S. 2009. Binding and uptake of A beta1-42 by primary human astrocytes in vitro. Glia. V. 57. P. 978. https://doi.org/10.1002/glia.20822
- Pérez-Escuredo J., Van Hée V.F., Sboarina M., Falces J., Payen V.L., Pellerin L., Sonveaux P. 2016. Monocarboxylate transporters in the brain and in cancer Biochim. Biophys. Acta. V. 1863. P. 2481. https://doi.org/10.1016/j.bbamcr.2016.03.013
- Pierre K., Pellerin L. 2005. Monocarboxylate transporters in the central nervous system: distribution, regulation and function. J. Neurochem. V. 94. P. 1. https://doi.org/10.1111/j.1471-4159.2005.03168.x
- Pinheiro C., Longatto-Filho A., Azevedo-Silva J., Casal M., Schmitt F.C., Baltazar F. 2012. Role of monocarboxylate transporters in human cancers: state of the art. J. Bioenerg. Biomembr. V. 44. P. 127–139. https://doi.org/10.1007/s10863-012-9428-1
- Salmina A.B., Kuvacheva N.V., Morgun A.V., Komleva Y.K., Pozhilenkova E.A., Lopatina O.L., Gorina Y.V., Taranushenko T.E., Petrova L.L. 2015. Glycolysis-mediated control of blood-brain barrier development and function. Int. J. Biochem. Cell Biol. V. 64. P. 174. https://doi.org/10.1016/j.biocel.2015.04.005
- Shin B.K., Kang S., Kim D.S., Park S. 2018. Intermittent fasting protects against the deterioration of cognitive function, energy metabolism and dyslipidemia in Alzheimer’s disease-induced estrogen deficient rats. Exp. Biol. Med. (Maywood). V. 243. P. 334. https://doi.org/10.1177/1535370217751610
- Shin Y., Choi S.H., Kim E., Bylykbashi E., Kim J.A., Chung S., Kim D.Y., Kamm R.D., Tanzi R.E. 2019. Blood-brain barrier dysfunction in a 3D in vitro model of Alzheimer’s disease. Adv. Sci. V. 6. P.1900962. https://doi.org/10.1002/advs.201900962
- Sipos E., Kurunczi A., Kasza A., Horvath J., Felszeghy K., Laroche S., Toldi J., Parducz A., Penke B., Penke Z. 2007. Beta-amyloid pathology in the entorhinal cortex of rats induces memory deficits: implications for Alzheimer’s disease. Neurosci. V. 147. P. 28. https://doi.org/10.1016/j.neuroscience.2007.04.011
- Suzuki A., Stern S.A., Bozdagi O., Huntley G.W., Walker R.H., Magistretti P.J., Alberini C.M. 2011. Astrocyte-neuron lactate transport is required for long-term memory formation. Cell. V. 144. P. 810. https://doi.org/10.1016/j.cell.2011.02.018
- Tadi M., Allaman I., Lengacher S., Grenningloh G., Magistretti P.J. 2015. Learning-induced gene expression in the hippocampus reveals a role of neuron-astrocyte metabolic coupling in long term memory. PLoS One. 2015. V. 10. P. e0141568. https://doi.org/10.1371/journal.pone.0141568
- Tang B.L. 2018. Brain activity-induced neuronal glucose uptake/glycolysis: is the lactate shuttle not required? Brain Res. Bull. V. 137. P. 225. https://doi.org/10.1016/j.brainresbull.2017.12.010
- Wang Y., Shang Y., Mishra A., Bacon E., Yin F., Brinton R. 2020. Midlife chronological and endocrinological transitions in brain metabolism: system biology basis for increased Alzheimer’s risk in female brain. Sci. Rep. V. 10. P. 8528. https://doi.org/10.1038/s41598-020-65402-5
- Yamanishi S., Katsumura K., Kobayashi T., Puro D.G. 2006. Extracellular lactate as a dynamic vasoactive signal in the rat retinal microvasculature. Am. J. Physiol. Heart Circ. Physiol. V. 290. P. 925H. https://doi.org/10.1152/ajpheart.01012.2005
- Zhang M., Cheng X., Dang R., Zhang W., Zhang J., Yao Z. 2018. Lactate deficit in an Alzheimer disease mouse model: the relationship with neuronal damage. J. Neuropathol. Exp. Neurol. V. 77. P. 1163. https://doi.org/10.1093/jnen/nly102
Supplementary files
















