Электросопротивление жидкого гафния при температурах до 5000 К при низких и повышенных давлениях
- Authors: Савватимский А.И.1,2, Онуфриев С.В.2
-
Affiliations:
- Физический институт им. П.Н. Лебедева
- Объединенный институт высоких температур РАН
- Issue: Vol 62, No 3 (2024)
- Pages: 358 - 362
- Section: Thermophysical Properties of Materials
- URL: https://ogarev-online.ru/0040-3644/article/view/274409
- DOI: https://doi.org/10.31857/S0040364424030042
- ID: 274409
Cite item
Full Text
Abstract
Выполнены сравнительные эксперименты при быстром нагреве (5–10 мкс) фольги гафния электрическим током как в воде (низкие давления), так и между толстыми пластинами стекла ТФ-5 (повышенные давления, по оценке не более 10 кбар). Сравнительный анализ результатов показал, что под давлением электросопротивление жидкого гафния монотонно повышается с ростом температуры, в то время как при малых внешних давлениях – монотонно падает в том же диапазоне температур. Результат отличается от поведения электросопротивления жидкого углерода, которое остается константой в диапазоне температур 5000–9000 К (примерно при том же уровне давлений).Отмечено существование единых для твердой и жидкой фаз линейных зависимостей плотности гафния и циркония от удельной энергии (энтальпии) импульсного токового нагрева.
Full Text
Введение
В двух научных центрах ([1, 2] в 1945 и 1963 гг. соответственно)независимо были опубликованы результаты по электросопротивлению ртути, стационарно нагреваемой в ограниченном объеме (в капиллярных трубках: из окиси бериллия [1], в кварцевой [2]). В обоих случаях фиксировалось постоянство электросопротивления жидкой ртути, нагреваемой в таких условиях, при температурах порядка 300°С.
Впоследствии в [3] были опубликованы данные о постоянстве электросопротивления жидкого углерода при ограничении объема. Тонкие пластинки графита высокой исходной плотности зажимались между двумя толстостенными (10 мм каждая) пластинами из стекла ТФ-5 (тяжелый флинт). С боков такой ячейки к торцам графита подводились электроды, которые поджимались струбциной. В таких условиях ограничения объема и быстром (5 мкс) нагреве импульсом тока было получено постоянство электросопротивления жидкого углерода в диапазоне температур 5000–9000 К. Импульсные эксперименты с жидким углеродом показали его достаточно высокую проводимость.
В связи с прикладным значением гафния в ядерной энергетике и космических технологиях исследовался жидкий гафний в условиях ограничения объема, подобно тому, как это было выполнено ранее для жидкого углерода [4].
Подготовка образцов для импульсного эксперимента
Исследовался гафний марки ГФИ-1 в виде полосы толщиной 0.1 мм с массовыми долями контролируемых примесей:
Zr | N | Fe | Si | C | O |
0.9 | 0.008 | 0.034 | 0.016 | 0.02 | 0.022 |
Измерение электросопротивления жидкого гафния при малом давлении выполнялось в воде в диапазоне температур 2000–5000 К при импульсном нагреве пластинки гафния 0.1 × 2 × 11 мм3. Пластинка гафния зажималась между латунными электродами, и все устройство заливалось дегазированной водой для предотвращения шунтирующего разряда вдоль образца и обеспечения невысокого давления в течение 5–10 мкс. Эксперимент с гафнием при повышенном давлении был более сложен.
На рис. 1а представлен исходный блок, состоящий из двух стекол ТФ-5 (тяжелый флинт), между которыми размещалась пластинка гафния 0.1 × 2 × 15 мм3. На рис. 1б показана струбцина, в которой зажимался стеклянный блок с образцом гафния.
Рис. 1. Стеклянный блок с образцом гафния (а): 1 – кончик фольги гафния; 2 – образец гафния, видимый сквозь верхнее стекло; 3 – боковые наклеенные тонкие пластины стеклотекстолита; 4 – верхнее стекло (толщина – 11 мм); 5 – нижнее стекло (толщина – 11 мм); (б) – струбцина, сжимающая стекла ТФ-5: 6 – пластины стеклотекстолита, 7 – отверстие для вывода излучения, 8 – болтовая стяжка.
На рис. 2 представлен общий вид сборки для проведения импульсного нагрева током металлического гафния. Были приняты меры по ограничению объема фольги гафния: через медные прокладки торцы образца сжимались винтовыми подводящими электродами 1.
Рис. 2. Сборка (без верхней крышки с отверстием для вывода излучения): 1 – подводящие электроды (с возможностью поступательного перемещения для поджатия контактов), 2 – струбцина с образцом, 3 – блок импульсного нагрева со снятой верхней крышкой, 4 – отверстие для вывода излучения для измерения температуры.
Монтаж сборки (рис. 2) во взрывной камере (с достаточно длинными подводящими медными шинами) создавал дополнительную петлю в электрической цепи. При записи напряжения V на образце возникало дополнительное индуктивное падение напряжения DV = LdI/dt на этой петле (L – индуктивность этого участка, I – ток, t – время). Падение напряжения определялось в отдельном эксперименте (в той же геометрии и для того же напряжения) при замене образца на медную пластинку, нагревом которой под действием импульсного тока можно было пренебречь. Далее этот дополнительный начальный выброс DV вычитался из сигнала напряжения на образце.
Результаты импульсного эксперимента
Импульсный нагрев током обеспечивался конденсаторной батареей емкостью 15 мкФ и зарядным напряжением 12 кВ. В качестве высоковольтного ключа применялся разрядник рязанского производства (фирма «Импульсные технологии»), который успешно запускается однократным сигналом от стандартного генератора.
Результаты импульсных экспериментов представлены на рис. 3. Пиковое значение 4.5 кВ (рис. 3а) соответствует области взрыва, т.е. резкому росту напряжения при потере проводимости жидкого расширенного металла. Область постоянного напряжения на кривой 2 (в диапазоне 3.5–6 мкс, рис. 3а) – существование жидкой фазы гафния. На рис. 3б область жидкой фазы гафния – от 4 до 8 мкс. Давление в этом эксперименте оценивалось так же, как в [4], и составляло единицы килобар. Рассчитанное по этим кривым электросопротивление жидкого гафния (от момента завершения плавления), отнесенное к исходным размерам образца, приведено на рис. 4.
Рис. 3. Зависимости тока (1) и напряжения (2) от времени: (а) – для быстрого нагрева гафния в воде, (б) – быстрого нагрева гафния под давлением (в стекле).
Наблюдается отличие эксперимента при повышенном давлении (рис. 4б) от эксперимента при малом давлении(рис. 4а): 1) при Тпл = 2504 К сопротивление несколько ниже, чем на рис. 4а; 2) на рис. 4б виден слабый рост сопротивления во всем диапазоне температур в отличие от слабого падения на рис. 4а.
Рис. 4. Зависимости удельного электросопротивления жидкого гафния от температуры: (а) – при нагреве в воде (Тпл = 2504 К), (б) – при нагреве под давлением (в стекле).
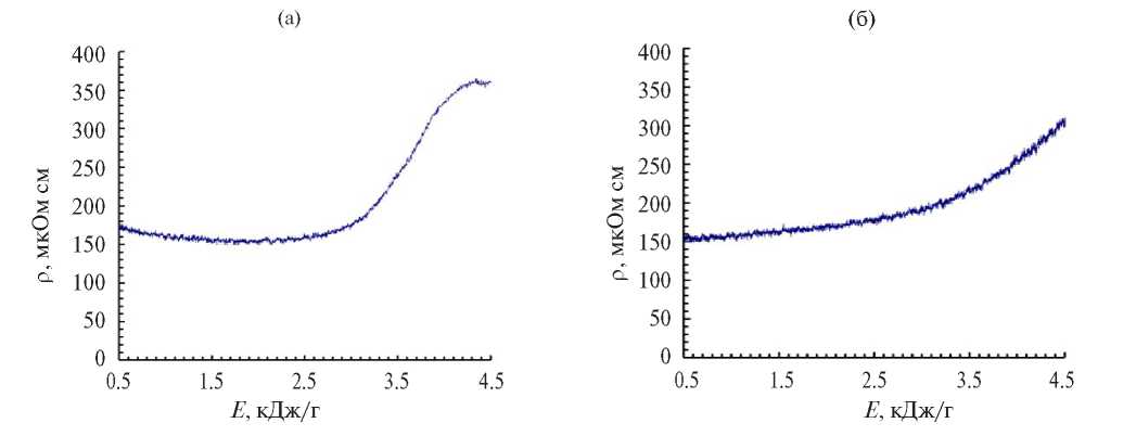
Для более полного анализа влияния давления представим удельное электросопротивление гафния в зависимости от введенной энергии (рис. 5). По этим рисункам можно составить более определенное суждение о влиянии ограничения объема (повышенном давлении) на электросопротивление жидкого гафния. Видны характерные изменения электросопротивления для разных условий нагрева.
Рассмотрим различия до введенных энергий 3 кДж/г, когда можно рассматривать жидкую фазу наверняка до разрушения стеклянной ячейки. Электросопротивление жидкого гафния (при нагреве в воде, т.е. при малом давлении) медленно падает до величины 150 мкОм см и далее растет до 175 мкОм см (рис. 5а). При высоком давлении электросопротивление жидкого гафния слабо растет, начиная с r = 150 мкОм см вплоть до r ≈ 200 мкОм см при введенной удельной энергии ~3 кДж/г (рис. 5б). Оценка уровня температуры при введенной энергии Е ≈ 3 кДж/г, выполненная по зависимости введенной энергии от температуры (экстраполяция), дает приблизительно 7000 К для двух случаев нагрева в воде и в стекле. При температуре 5000 К введенная энергия, определенная по тем же кривым, составляет 1.5 и 1.6 кДж/г.
В целом вся кривая сопротивления гафния на рис. 5б растет, начиная от момента плавления (Тпл = 2504 К) вплоть до ~7000 К. Таким образом, повышенное давление явно увеличивает электросопротивление жидкого гафния. И этим жидкий гафний отличается от жидкого углерода при сравнимом уровне давлений. Жидкий углерод (в схожих условиях эксперимента) показывает константу электросопротивления при давлениях порядка 10 кбар (но не более 20 кбар).
Рис. 5. Зависимости удельного электросопротивления жидкого гафния от введенной удельной энергии Е при нагреве в воде (а), при нагреве в стекле (б) (повышенное давление): начало жидкого состояния – E ≈ 0.6 кДж/г.
Электросопротивление проводников при более высоком давлении (до 100 кбар)
В отличие от жидкого углерода и ртути (которые под давлением показывают постоянное электросопротивление r [1, 2, 4]), жидкий гафний демонстрирует слабый, но все-таки рост электросопротивления r с ростом давления. Подчеркнем, что речь идет о сравнительно малом уровне давлений, порядка нескольких кбар (до 10 кбар).
Более высокий уровень давлений – десятки кбар (вплоть до 100 кбар) – может быть получен при импульсном нагреве проволочных образцов в сапфировых капиллярных трубках. Такие измерения выполнены для жидкого углерода в ограниченном объеме сапфировой трубки [5], где показано, что при высоких значениях введенной энергии (высоких давлениях) с увеличением плотности жидкого углерода его электросопротивление возрастает. Фактически это новый физический эффект, который ранее был предсказан для лития [6] и в дальнейшем был получен при давлении 600 кбар и выше (обсуждение приведено в [7]). Тот факт, что подобный эффект наблюдался для углерода при гораздо меньших давлениях (порядка 50–100 кбар [5], а не 600 кбар [7]), чем для лития, позволяет с оптимизмом ожидать получения новых результатов при исследовании ряда металлов методом быстрого нагрева импульсом тока при давлениях в диапазоне 50–100 кбар. Отметим еще одну особенность в поведении жидкого углерода. Согласно [8], удельное электросопротивление жидкого углерода на линии плавления сначала линейно снижается с ростом давления от 14 до 40 кбар, а затем линейно растет при давлениях 56–94 кбар (последнее качественно согласуется с [5]), что предполагает наличие структурного перехода жидкость–жидкость при давлении 56 кбар.
О зависимости плотности металлов в твердом и жидком состояниях от введенной энергии при быстром импульсном нагреве током
В экспериментальных исследованиях с помощью лазерной имульсной подсветки были получены данные о плотности гафния [9] и циркония [10] как в твердом, так и в жидком состояниях. Проволочные образцы гафния и циркония нагревались импульсом электрического тока в течение единиц микросекунд. В процессе нагрева диаметр проволок измерялся при подсветке импульсным лазером (длительность подсветки – 7 нс). Теневые фотографии расширяющейся проволоки фиксировались в различные моменты времени. Каждый импульсный нагрев сопровождался получением одной фотографии при определенной введенной энергии. Надо отметить, что при этом фиксировалось объемное расширение металла, так как торцы образцов были зажаты и расширение происходило только по радиусу образца. Таким образом, получение полной зависимости плотности g твердого и жидкого гафния от введенной энергии потребовало выполнения девяти «выстрелов», с получением девяти точек (рис. 6а). Для получения подобной зависимости (рис. 6б) для циркония выполнено 20 «выстрелов».
Экспериментально получено (рис. 6), что плотности гафния и циркония линейно зависят от энтальпии. Причем эти зависимости разные для Hf и Zr, но одинаковы для твердой и жидкой фаз каждого металла.
В [11] без проведения эксперимента сделано предположение о более крутом уменьшении плотности жидкого циркония(пунктир на рис. 6б).
Рис. 6. Зависимости плотности твердого и жидкого гафния от удельной введенной энергии Е (энтальпии) [9]: (а) – Е = 0 и исходная плотность – 13.09 г/см3 при комнатной температуре, остальные точки – результаты импульсных экспериментов, стрелки – область плавления; (б) – плотности твердого и жидкого циркония: 1 – эксперимент, 2 – линейная аппроксимация без учета начальной точки [10], 3 – оценка для жидкого циркония [11].
Заключение
Эксперименты с нагревом образцов гафния импульсом тока при давлении, близком к нормальному, и при повышенном давлении (единицы кбар) показали, что электросопротивление жидкого гафния в первом случае слабо снижается от 175 до 150 мкОм см при росте температуры от точки плавления до 5000 К, а во втором случае слабо растет от 150 до 165 мкОм см при тех же температурах. Углерод в близких условиях нагрева ведет себя иначе: при низких давлениях электросопротивление жидкого углерода увеличивается с ростом температуры, при повышенных давлениях – остается константой.
Показана линейная зависимость плотности гафния и циркония от энтальпии. Причем эти зависимости не изменяются при переходе от твердой к жидкой фазе каждого металла.
Работа поддержана Российским научным фондом (грант № 19-79-30086).
About the authors
А. И. Савватимский
Физический институт им. П.Н. Лебедева; Объединенный институт высоких температур РАН
Author for correspondence.
Email: savvatimskiy.alexander@gmail.com
Москва; Москва
С. В. Онуфриев
Объединенный институт высоких температур РАН
Email: savvatimskiy.alexander@gmail.com
Russian Federation, Москва
References
- Gubar F., Kikoin I. The Temperature Dependence of the Resistance of Liquid Metals at Constant Vo-lume // J. Phys. 1945. V. 9. № 1. P. 52.
- Bradley C.C. The Resistivity and Thermoelectric Power of Liquid Gallium and Mercury at Constant Volume // Phil. Mag. 1963. V. 8. № 93. P. 1535.
- Савватимский А.И., Онуфриев С.В. Исследование физических свойств углерода при высоких температурах(по материалам экспериментальных работ) // УФН. 2020. Т. 190. № 10. С. 1085.
- Онуфриев С.В., Савватимский А.И. Электросопротивление жидкого углерода (до 9000 К) и жидкого гадолиния (до 6000 К) при повышенном давлении и высоких температурах// ТВТ. 2023. Т. 61. № 5. С. 685.
- Savvatimskiy A.I. Experimental Electrical Resistivity of Liquid Carbon in the Temperature Range from 4800 to ~20000 K // Carbon. 2009. V. 47. P. 2322.
- Neaton J.B., Ashcroft N.W. Pairing in Dense Lithium// Nature (Letters to Nature).1999. V. 400. P. 141.
- Максимов Е.Г., Магницкая М.В., Фортов В.Е. Непростое поведение простых металлов при высоких давлениях // УФН. 2005. Т. 175. № 8. С. 793.
- Togaya M. Electrical Property Changes of Liquid Carbon under High Pressures // J. Phys.: Conf. Ser. 2010. V. 215. 012081.
- Савватимский А.И., Коробенко В.Н. Плотность жидкого гафния от точки плавления до точки кипения // ТВТ. 2007. Т. 45. № 2. С. 187.
- Korobenko V.N., Agranat М.В., Ashitkov S.I., Savvatimskiy A.I. Zirconium and Iron Densities in a Wide Range of Liquid States // Int. J. Thermophys. 2002. V. 23. № 1. P. 307.
- Шипков H.H., Костиков В.И., Непрошин Е.И., Демин А.В. Рекристаллизованный графит. М.: Металлургия, 1979.
Supplementary files








