Generation of the Second Optical Harmonic under the Action of Narrowband Terahertz Pulses in the Antiferromagnet NiO
- Authors: Chefonov O.V.1, Ovchinnikov A.V.1, Agranat M.B.1
-
Affiliations:
- Joint Institute for High Temperatures, Russian Academy of Sciences
- Issue: Vol 61, No 6 (2023)
- Pages: 920-925
- Section: New energy and modern technologies
- URL: https://ogarev-online.ru/0040-3644/article/view/252393
- DOI: https://doi.org/10.31857/S0040364423060042
- ID: 252393
Cite item
Full Text
Abstract
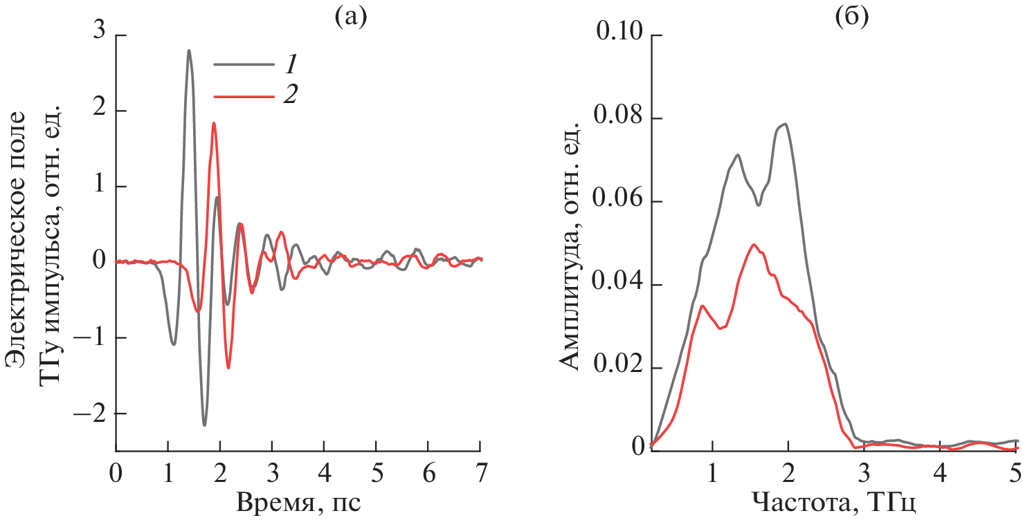
The study examines aspects of the generation of the second optical harmonic in the centrosymmetric antiferromagnet NiO when exposed to narrowband terahertz pulses with an electric field strength on the order of 1 MV/cm. It was found that when exposed to terahertz pulses with a frequency of 1 THz, which corresponds to the antiferromagnetic resonance frequency of NiO, a significant decrease in the intensity of the second harmonic is observed versus exposure to pulses with a frequency of 1.5 THz. It is shown that the observed decrease in the intensity of second harmonic generation can be explained by multipath interference during the propagation of a narrowband terahertz pulse in a thin sample.
About the authors
O. V. Chefonov
Joint Institute for High Temperatures, Russian Academy of Sciences
Email: oleg.chefonov@gmail.com
Moscow, Russia
A. V. Ovchinnikov
Joint Institute for High Temperatures, Russian Academy of Sciences
Email: a.ovtch@gmail.com
Moscow, Russia
M. B. Agranat
Joint Institute for High Temperatures, Russian Academy of Sciences
Author for correspondence.
Email: agranat2004@mail.ru
Moscow, Russia
References
- Баранова И.М., Долгова Т.В., Колмычек И.А., Майдыковский А.И., Мишина Е.Д., Мурзина Т.В., Федянин А.А. Генерация оптической второй гармоники: роль симметрии и локальных резонансов (обзор) // Квантовая электроника. 2022. Т. 52. № 5. С. 407.
- Fiebig M., Pavlov V.V., Pisarev R.V. Second-harmonic Generation as a Tool for Studying Electronic and Magnetic Structures of Crystals: Review // J. Opt. Soc. Am. B. 2005. V. 22. P. 96.
- Cornet M., Degert J., Abraham E., Freysz E. Terahertz-field-induced Second Harmonic Generation Through Pockels Effect in Zinc Telluride Crystal // Opt. Lett. 2014. V. 39. P. 5921.
- Kirilyuk A., Rasing T. Magnetization-induced-second-harmonic Generation from Surfaces and Interfaces // J. Opt. Soc. Am. B. 2005. V. 22. P. 148.
- Grishunin K.A., Ilyin N.A., Sherstyuk N.E., Mishina E.D., Kimel A., Mukhortov V.M., Ovchinnikov A.V., Chefonov O.V., Agranat M.B. THz Electric Field-induced Second Harmonic Generation in Inorganic Ferroelectric // Sci. Rep. 2017. V. 7. P. 687.
- Бодров С.Б., Корытин А.И., Сергеев Ю.А., Степанов А.Н. Генерация второй гармоники оптического излучения в кристаллах типа цинковой обманки при комбинированном воздействии фемтосекундного оптического и сильного терагерцевого полей // Квантовая электроника. 2020. Т. 50. № 5. С. 496.
- Chefonov O.V., Ovchinnikov A.V., Sitnikov D.S., Agranat M.B. Focal Spot Imaging of Terahertz Subpicosecond Pulse by THz-field-induced Optical Second Harmonic Generation // High Temp. 2019. V. 57. № 1. P. 137.
- Bodrov S.B., Stepanov A.N., Burova E.A., Sergeev Yu.A., Korytin A.I., Bakunov M.I. Terahertz-field-induced Second Harmonic Generation for Nonlinear Optical Detection of Interfaces Buried in Transparent Materials // Appl. Phys. Lett. 2021. V. 119. P. 221109.
- Овчинников А.В., Чефонов О.В., Агранат М.Б., Гришунин К.А., Ильин Н.А., Писарев Р.В., Кимель А.В., Калашникова А.М. Генерация второй оптической гармоники под действием пикосекундных терагерцовых импульсов в центросимметричном антиферромагнетике NiO // Письма в ЖЭТФ. 2016. Т. 104. № 7. С. 467.
- Чефонов О.В., Овчинников А.В., Агранат М.Б. Исследование генерации второй оптической гармоники в антиферромагнетике NiO, индуцированной терагерцевыми импульсами // Квантовая электроника. 2022. Т. 52. № 3. С. 269.
- Агранат М.Б., Ашитков С.И., Иванов А.А., Конященко А.В., Овчинников А.В., Фортов В.Е. Тераваттная фемтосекундная лазерная система на хром-форстерите // Квантовая электроника. 2004. Т. 34. № 6. С. 506.
- Vicario C., Jazbinsek M., Ovchinnikov A., Chefonov O., Ashitkov S., Agranat M., Hauri C. High Efficiency THz Generation in DSTMS, DAST and OH1 Pumped by Cr: Forsterite Laser // Opt. Exp. 2015. V. 23. P. 4573.
- Ovchinnikov A.V., Chefonov O.V., Agranat M.B., Fortov V.E., Jazbinsek M., Hauri C.P. Generation of Strong-field Spectrally Tunable Terahertz Pulses // Opt. Exp. 2020. V. 28. P. 33921.
- Чефонов О.В., Овчинников А.В., Агранат М.Б. Электрооптический эффект в кремнии, наведенный импульсом терагерцевого излучения // ТВТ. 2021. Т. 59. № 6. С. 844.
- Шен И.Р. Принципы нелинейной оптики. М.: Наука, 1989. 560 с.
- Ovchinnikov A.V., Chefonov O.V., Mishina E.D., Agranat M.B. Second Harmonic Generation in the Bulk of Silicon Induced by an Electric Field of a High Power Terahertz Pulse // Sci. Rep. 2019. V. 9. P. 9753.
- Овчинников А.В., Чефонов О.В., Агранат М.Б. Генерация второй оптической гармоники в кремнии при воздействии терагерцевого импульса с высокой напряженностью электрического поля // ТВТ. 2022. Т. 60. № 5. С. 666.
- Grishunin K.A., Ilyin N.A., Sherstyuk N.E., Mishina E.D., Kimel A., Mukhortov V.M., Ovchinnikov A.V., Chefonov O.V., Agranat M.B. THz Electric Field-induced Second Harmonic Generation in Inorganic Ferroelectric // Sci. Rep. 2017. V. 7. P. 687.
- Kampfrath T., Sell A., Klatt G., Pashkin A., Mahrlein S., Dekorsy T., Wolf M., Fiebig M., Leitenstorfer A., Huber R. Coherent Terahertz Control of Antiferromagnetic Spin Waves // Nat. Photonics. 2011. V. 5. P. 31.
- Baierl S., Mentink J.H., Hohenleutner M., Braun L., Do T.-M., Lange C., Sell A., Fiebig M., Woltersdorf G., Kampfrath T., Huber R. Terahertz-driven Nonlinear Spin Response of Antiferromagnetic Nickel Oxide // Phys. Rev. Lett. 2016. V. 117. P. 197201.
- Chefonov O.V., Ovchinnikov A.V., Hauri C.P., Agranat M.B. Broadband and Narrowband Laser-based Terahertz Source and Its Application for Resonant and Non-resonant Excitation of Antiferromagnetic Modes in NiO // Opt. Exp. 2019. V. 27. P. 27273.
- Агранат М.Б., Ильина И.В., Ситников Д.С. Применение терагерцовой спектроскопии для дистанционного экспресс-анализа газов // ТВТ. 2017. Т. 55. № 6. С. 759.
- Розенберг Г.В. Многолучевая интерферометрия и интерференционные светофильтры. II // УФН. 1952. Т. XLVII. № 2. С. 173.
- Герасимов В.В., Князев Б.А., Рудыч П.Д., Черкасский В.С. Френелевское отражение в оптических элементах и детекторах для терагерцового диапазона // ПТЭ. 2007. № 4. С. 103.
- Kohmoto T., Moriyasu T., Wakabayashi S., Jinn H., Takahara M., Kakita K. Observation of Ultrafast Magnon Dynamics in Antiferromagnetic Nickel Oxide by Optical Pump-probe and Terahertz Time-domain Spectroscopies // J. Infrared, Millimeter, Terahertz Waves. 2018. V. 39. P. 77.
Supplementary files





