Theoretical Investigation on Thermophysical, Mechanical, and Ultrasonic Properties of NbN Layers Deposited on MgO(001) Substrates at High Temperature
- 作者: Prajapati A.K.1, Chaurasiya V.1, Yadawa P.K.1
-
隶属关系:
- Department of Physics, Prof. Rajendra Singh (Rajju Bhaiya) Institute of Physical Sciences for Study and Research, Veer Bahadur Singh Purvanchal University
- 期: 卷 61, 编号 6 (2023)
- 页面: 877-885
- 栏目: Thermophysical Properties of Materials
- URL: https://ogarev-online.ru/0040-3644/article/view/252387
- DOI: https://doi.org/10.31857/S0040364423060121
- ID: 252387
如何引用文章
全文:
详细
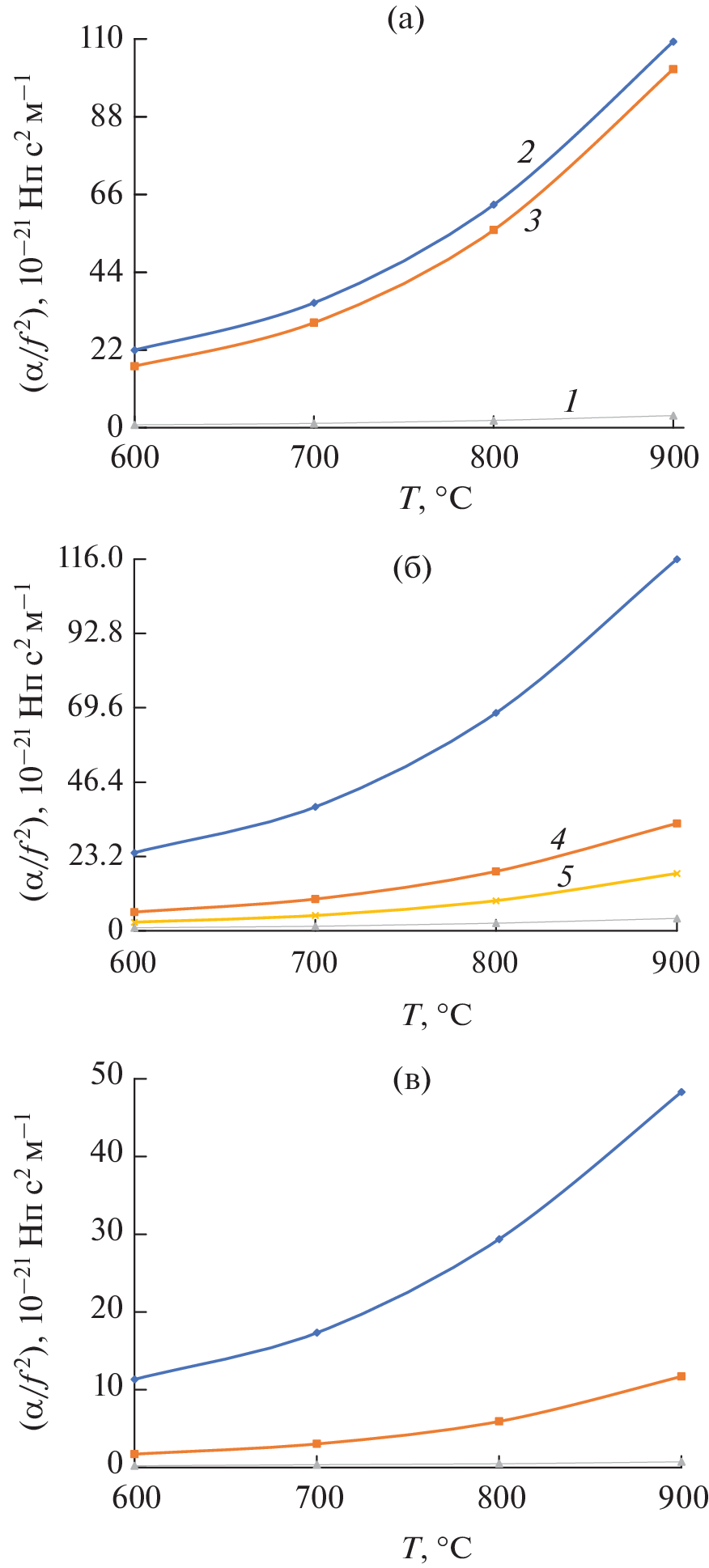
In the present paper, we calculated the elastic, mechanical, and thermophysical properties of NbN/MgO(001) layers in the temperature range 600–900°C using higher order elastic constants. With two fundamental factors, nearest-neighbour distance as well as hardness parameter, the second and third order elastic constants are estimated using the Born–Mayer potential approaches. The computed values of second order elastic constant are used to calculate Young modulus, thermal conductivity, Zener anisotropy, bulk modulus, thermal energy density, shear modulus as well as Poisson ratio in order to assess the thermal and mechanical properties of NbN/MgO(001) layers. Additionally, the second order elastic constant is also used to calculate the wave velocities for shear and longitudinal modes of propagation along crystalline orientations [100], [110], [111]. Temperature dependent Debye average velocity, hardness, and ultrasonic Grüneisen parameters are evaluated. The fracture/toughness B/G ratio in the current investigation is more than 1.75, indicating that the NbN/MgO(001) nanostructured layer is ductile in nature in this temperature range. The selected materials are fully satisfying the Born mechanical stability requirement. The time required for thermal relaxation is calculated and how ultrasonic waves are attenuated by thermo-elastic relaxation and phonon–phonon interaction mechanisms. The findings with other well-known physical features are helpful for industrial applications.
作者简介
A. Prajapati
Department of Physics, Prof. Rajendra Singh (Rajju Bhaiya) Institute of Physical Sciences for Study and Research, Veer Bahadur Singh Purvanchal University
Email: pkyadawa@gmail.com
222003, Jaunpur, India
V. Chaurasiya
Department of Physics, Prof. Rajendra Singh (Rajju Bhaiya) Institute of Physical Sciences for Study and Research, Veer Bahadur Singh Purvanchal University
Email: pkyadawa@gmail.com
222003, Jaunpur, India
P. Yadawa
Department of Physics, Prof. Rajendra Singh (Rajju Bhaiya) Institute of Physical Sciences for Study and Research, Veer Bahadur Singh Purvanchal University
编辑信件的主要联系方式.
Email: pkyadawa@gmail.com
222003, Jaunpur, India
参考
- Hultman L. Thermal Stability of Nitride Thin Films // Vacuum. 2000. V. 57. № 1. P. 1.
- Johansson B.O., Sundgren J.E., Greene J.E., Rockett A., Barnett S.A. Growth and Properties of Single Crystal TiN Films Deposited by Reactive Magnetron Sputtering // J. Vac. Sci. Technol., A. 1985. V. 3. № 2. P. 303.
- Papaconstantopoulos D., Pickett W., Klein B., Boyer L. Electronic Properties of Transition-metal Nitrides: The Group-V and Group-VI Nitrides VN, NbN, TaN, CrN, MoN, and WN // Phys. Rev. B. 1985. V. 31. № 2. P. 752.
- Musil J. Hard and Superhard Nanocomposite Coatings // Surf. Coat. Technol. 2000. V. 125. P. 322.
- Keskar K.S., Yamashita T., Onodera Y. Superconducting Transition Temperatures of R. F. Sputtered NbN Films // Jpn. J. Appl. Phys. 1971. V. 10. № 3. P. 370.
- Shin C.-S., Rudenja S., Gall D., Hellgren N., Lee T.-Y., Petrov I., Greene J.E. Growth, Surface Morphology, and Electrical Resistivity of Fully Strained Substoichiometric Epitaxial TiNx (0.067 ≤ x < 1.0) Layers on MgO(001) // J. Appl. Phys. 2004. V. 95. № 1. P. 356.
- Seo H.-S., Lee T.-Y., Wen J.G., Petrov I., Greene J.E., Gall D. Growth and Physical Properties of Epitaxial HfN Layers on MgO(001) // J. Appl. Phys. 2004. V. 96. № 1. P. 878.
- Wang Z., Terai H., Qiu W., Makise K., Uzawa Y., Kimoto K., Nakamura Y. High-quality Epitaxial NbN/AlN/NbN Tunnel Junctions with a Wide Range of Current Density // Appl. Phys. Lett. 2013. V. 102. № 14. P. 142604.
- Wang Z., Kawakami Y., Uzawa Y., Komiyama B. Superconducting Properties and Crystal Structures of Single-crystal Niobium Nitride Thin Films Deposited at Ambient Substrate Temperature // J. Appl. Phys. 1996. V. 79. № 1. P. 7837.
- Treece R.E., Osofsky S.F., Skelton E.F., Qadri S.B., Chrisey D.B. New Phase of Superconducting NbN Stabilized by Heteroepitaxial Film Growth // Phys. Rev. B. 1995. V. 51. № 14. P. 9356.
- Kidszun M., Hühne R., Holzapfel B., Schultz L. Ion-beam-assisted Deposition of Textured NbN Thin Films // Supercond. Sci. Technol. 2010. V. 23. № 2. 025010.
- Treece R.E., Horwitz J.S., Qadri S.B., Skelton E.F., Donovan E.P. Metastable Nitride Synthesis by Pulsed Laser Deposition: A New Phase in the NbNx System // J. Solid State Chem. 1995. V. 117. № 2. P. 294.
- Villars P., Calvert L.D. Person’s Handbook of Crystallographic Data for Intermetallic Phases. Materials Park OH: ASM Int., 1991.
- Brugger K. Thermodynamic Definition of Higher Order Elastic Coefficients // Phys. Rev. 1964. V. 133. № 6A. P. A1611.
- Ghate P.B. Third-order Elastic Constants of Alkali Halide Crystals // Phys. Rev. 1965. V. 139. № 6A. P. A1666.
- Mori Sh., Hiki Yo. Calculation of the Third- and Fourth-order Elastic Constants of Alkali Halide Crystals // J. Phys. Soc. Jpn. 1978. V. 45. № 5. P. 1449.
- Yadawa P.K., Yadav R.R. Multidiscipline Modeling in Materials and Structures // Multidiscip. Model. Mater. Struct. 2009. V. 5. № 1. P. 59.
- Hill R. The Elastic Behaviour of a Crystalline Aggregate // Proc. Phys. Soc. Sec. A. 1952. V. 65. № 5. P. 349.
- Singh D., Kaushik S., Tripathi S., Bhalla V., Gupta A.K. Temperature-dependent Elastic and Ultrasonic Properties of Berkelium Monopnictides // Arabian. J. Sci. Eng. 2014. V. 39. № 1. P. 485.
- Pugh S.F. XCII. Relations between the Elastic Moduli and the Plastic Properties of Polycrystalline Pure Metals // Philos. Mag. 1954. V. 45. № 367. P. 823.
- Pettifor D.G. Theoretical Predictions of Structure and Related Properties of Intermetallics // Mater. Sci. Technol. 1992. V. 8. № 4. P. 345.
- Bhajanker S., Srivastava V., Pagare G., Sanyal S.P. Mechanical and Thermal Properties of Praseodymium Monochalcogenides and Monopnictides under Pressure // J. Phys. Conf. Ser. 2012. V. 377. 012080.
- Chen X.Q., Niu H., Li D., Li Y. Modeling Hardness of Polycrystalline Materials and Bulk Metallic Glasses // Intermetallics. 2011. V. 19. № 9. P. 1275.
- Fine M.E., Brown L.D., Marcus H.L. Elastic Constants versus Melting Temperature in Metals // Scr. Metall. 1984. V. 18. № 9. P. 951.
- Bhalla V., Singh D., Jain S.K. Mechanical and Thermophysical Properties of Rare-Earth Monopnictides // Int. J. Comput. Mater. Sci. Eng. 2016. V. 5. № 3. 1650012.
- Physical Acoustics / Ed. Mason W.P. N.Y.: Acad. Press Inc., 1965. V. 1. P. 237.
- Mason W.P., Bateman T.B. Relation between Third-order Elastic Moduli and the Thermal Attenuation of Ultrasonic Waves in Nonconducting and Metallic Crystals // J. Acoustic Soc. 1966. V. 40. № 4. P. 852.
- American Institute of Physics Handbook / Ed. Gray D.E. 3rd ed. N.Y.: McGraw Hill Co., 1972. 2359 p.
- Oligschleger C., Jones R.O., Reimann S.M., Schober H.R. Model Interatomic Potential for Simulations in Selenium // Phys. Rev. B. 1996. V. 53. № 10. P. 6165.
- Zhang K., Balasubramanian K., Ozsdolay B.D., Mulligan C.P., Khare S.V., Zheng W.T., Gall D. Growth and Mechanical Properties of Epitaxial NbN(001) Films on MgO(001) // Surf. Coat. Technol. 2016. V. 288. P. 105.
- Landa M., Novák V., Sedlák P., Šittner P. Ultrasonic Characterization of Cu–Al–Ni Single Crystals Lattice Stability in the Vicinity of the Phase Transition // Ultrasonics. 2004. V. 42. № 1–9. P. 519.
- Singh D., Tripathi S., Pandey D.K., Gupta A.K., Singh Dh.K., Kumar J. Ultrasonic Wave Propagation in Semi-metallic Single Crystals // Mod. Phys. Lett. B. 2011. V. 25. № 31. P. 2377.
- Kanchana V., Vaitheeswaran G., Zhang X., Ma Y., Svane A., Erriksson O. Lattice Dynamics and Elastic Properties of the 4f Electron System: CeN // Phys. Rev. B. 2011. V. 84. № 20. 205135.
- Singh S.P., Yadawa P.K., Dhawan P.K., Verma A.K., Yadav R.R. Effect of Pressure and Electrical Resistivity on Ultrasonic Properties of MgB2 Single Crystal at Low Temperatures // Cryogenics. 2019. V. 100. P. 105.
- Yadawa P.K. Effect of Temperature Dependence Ultrasonic Velocities and Attenuation of GaP Nanowires // J. Theor. Appl. Phys. 2016. V. 10. № 3. P. 203.
- Singh D., Yadawa P.K., Sahu S.K. Effect of Electrical Resistivity on Ultrasonic Attenuation in NpTe // Cryogenics. 2010. V. 50. № 8. P. 476.



