Динамика пузырьков в сферическом кластере при повышении давления жидкости
- Авторы: Нигматулин Р.И.1, Аганин А.А.1, Аганин И.А.1, Давлетшин А.И.1
-
Учреждения:
- Институт механики и машиностроения ‒ ОСП ФГБУН “Федеральный исследовательский центр “КазНЦ РАН”
- Выпуск: Том 61, № 5 (2023)
- Страницы: 744-751
- Раздел: Тепломассообмен и физическая газодинамика
- URL: https://ogarev-online.ru/0040-3644/article/view/252368
- DOI: https://doi.org/10.31857/S0040364423050101
- ID: 252368
Цитировать
Полный текст
Аннотация
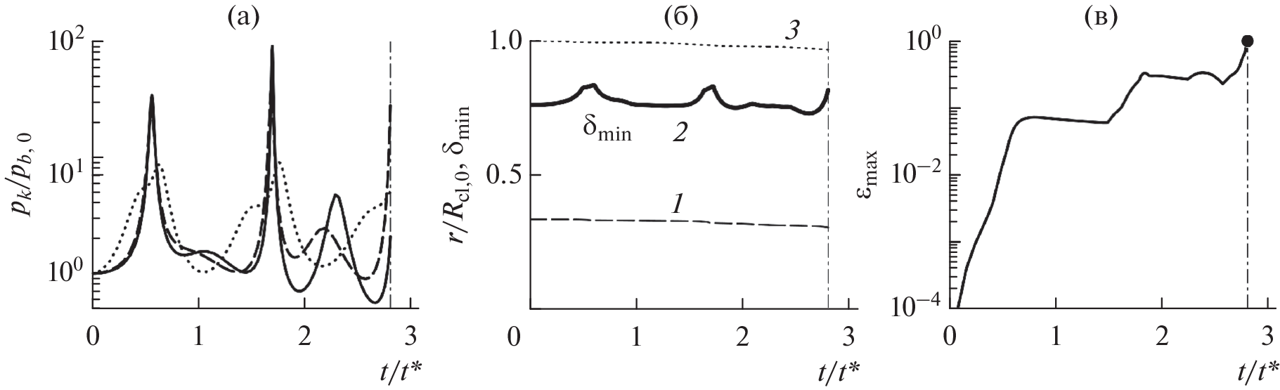
Рассматривается отклик газовых (воздушных) пузырьков в сферическом кластере на повышение давления окружающей жидкости (воды). Наблюдение проводится лишь до тех пор, пока какой-либо пузырек кластера не разрушится или не столкнется с другим пузырьком. Исследуется влияние амплитуды повышения давления жидкости, а также положения пузырьков в кластере, взаимодействия между пузырьками. Центры пузырьков кластера располагаются в узлах кубической сетки, один из которых находится в центре кластера. Влияние взаимодействия пузырьков оценивается сравнением с откликом одиночного пузырька. Кластер состоит из 123 пузырьков, давление жидкости ‒ 1 бар. Первоначально пузырьки сферические с радиусом 0.1 мм, радиус кластера ‒ около 3 мм. Применяется дискретная модель, в которой наряду с радиальными колебаниями пузырьков моделируются также их перемещения в жидкости и их малые деформации. Установлено, что максимум давления в пузырьках, достигаемый до разрушения или столкновения каких-либо из них, реализуется при повышении давления жидкости на 10 бар и оказывается примерно в 6500 раз больше их начального давления и примерно в 30 раз больше, чем при отклике одиночного пузырька.
Об авторах
Р. И. Нигматулин
Институт механики и машиностроения ‒ ОСП ФГБУН“Федеральный исследовательский центр “КазНЦ РАН”
Email: aganel@gmail.com
Россия, г. Казань
А. А. Аганин
Институт механики и машиностроения ‒ ОСП ФГБУН“Федеральный исследовательский центр “КазНЦ РАН”
Email: aganel@gmail.com
Россия, г. Казань
И. А. Аганин
Институт механики и машиностроения ‒ ОСП ФГБУН“Федеральный исследовательский центр “КазНЦ РАН”
Email: aganel@gmail.com
Россия, г. Казань
А. И. Давлетшин
Институт механики и машиностроения ‒ ОСП ФГБУН“Федеральный исследовательский центр “КазНЦ РАН”
Автор, ответственный за переписку.
Email: aganel@gmail.com
Россия, г. Казань
Список литературы
- Escaler X., Egusquiza E., Farhat M., Avellan F., Coussirat M. Detection of Cavitation in Hydraulic Turbines // Mech. Syst. Signal Pr. 2006. V. 20 № 4. P. 983.
- Van Terwisga T.J.C., van Wijngaarden H.C.J., Bosschers J., Kuiper G. Cavitation Research on Ship Propellers a Review of Achievements and Challenges // CAV 2006: 6th Int. Symp. on Cavitation. Wageningen. The Netherlands. 2006. Rep. 1543-P.
- Hubballi B.V., Sondur V.B. Review on the Prediction of Cavitation Erosion Inception in Hydraulic Control Valves // Int. J. Emerging Technol. Adv. Eng. 2013. V. 3. № 1. P. 110.
- Brennen C.E. Hydrogynamics of Pumps. N.Y.: Concepts NREC and Oxford Univ. Press, 1994. 293 p.
- Kieser B., Phillion R., Smith S., McCartney T. The Application of Industrial Scale Ultrasonic Cleaning to Heat Exchangers // Proc. Int. Conf. on Heat Exchanger Fouling and Cleaning. 2011. Crete Island, Greece. P. 336.
- Idris A.I.M., Omar R., Idris A. Ultrasonication Effects on Ultrafiltration Membrane Cleaning and Fouling Mitigation // Int. J. Adv. Chem. Eng. Biolog. Sci. (IJACEBS). 2016. V. 3, № 1. P. 151.
- Song W.D., Hong M.H., Lukyanchuk B., Chong T.C. Laser-induced Cavitation Bubbles for Cleaning of Solid Surfaces // J. Appl. Phys. 2004. V. 95. № 6. P. 2952.
- Skorb E.V., Möhwald H. Ultrasonic Approach for Surface Nanostructuring // Ultrason. Sonochem. 2016. V. 29. P. 589.
- Choi J., Kim T.-H., Kim H.-Y., Kim W. Ultrasonic Washing of Textiles // Ultrason. Sonochem. 2016. V. 29. P. 563.
- Pishchalnikov Y.A., Sapozhnikov O.A., Bailey M.R., Williams J.C., Cleveland R.O., Colonius T., Crum L.A., Evan A.P., McAteer J.A. Cavitation Bubble Cluster Activity in the Breakage of Kidney Stones by Lithotripter Shockwaves // J. Endourology. 2003. V. 17. № 7. P. 435.
- Rudenko O.V. Nonlinear Acoustics in Medicine: A Review // Phys. Wave Phen. 2022. V. 30. P. 73.
- Averina Yu.M., Moiseeva N.A., Shuvalov D.A., Nyrkov N.P., Kurbatov A.Yu. Cavitation Water Treatment. Properties of Water and Efficiency of Treatment // Adv. Chem. Chem. Technol. 2018. V. 32. № 14. P. 17.
- Нигматулин Р.И. Динамика многофазных сред. Т. 1. М.: Наука, 1987. 464 с.
- Нигматулин Р.И. Динамика многофазных сред. Т. 2. М.: Наука, 1987. 360 с.
- Кедринский В.К. Гидродинамика взрыва: эксперимент и модели. Новосибирск: Изд-во СО РАН, 2000. 434 с.
- Аганин А.А., Халитова Т.Ф. Деформация ударной волны при сильном сжатии несферических пузырьков // ТВТ. 2015. Т. 53. № 6. С. 923.
- Нигматулин Р.И., Аганин А.А., Ильгамов М.А., Топорков Д.Ю. Экстремальная фокусировка энергии при ударном сжатии парового пузырька в углеводородных жидкостях // ТВТ. 2019. Т. 57. № 2. С. 253.
- Chahine G.L. Pressure Generated by a Bubble Cloud Collapse // Chem. Eng. Commun. 1984. V. 28. № 4–6. P. 355.
- Brennen C.E. Bubbly Cloud Dynamics and Cavitation // Invited Lecture at the Acoustical Society of America Meeting. June 2007. Salt Lake City, Utah, 2007.
- Matsumoto Y. Bubble and Bubble Cloud Dynamics // AIP Conf. Proc. 2000. V. 524. P. 65.
- Nigmatulin R.I., Akhatov I.S., Topolnikov A.S., Bolotnova R.K., Vakhitova N.K., Lahey R.T., Taleyarkhan R.P. Theory of Supercompression of Vapor Bubbles and Nanoscale Thermonuclear Fusion // Phys. Fluids. 2005. V. 17. № 10. P. 107106.
- Нигматулин Р.И., Лэхи Р.Т. (мл.), Талейархан Р.П., Вест К.Д., Блок Р.С. О термоядерных процессах в кавитирующих пузырьках // УФН. 2014. Т. 184. № 9. С. 947.
- Brennen C., Reisman G., Wang Y.-C. Shock Waves in Cloud Cavitation // 21st Symposium on Naval Hydrodynamics. Washington, DC: National Acad. Press, 1997. P. 756.
- Reisman G.E., Wang Y.-C., Brennen C.E. Observations of Shock Waves in Cloud Cavitation // J. Fluid Mech. 1998. V. 355. P. 255.
- Shimada M., Matsumoto Y., Kobayashi T. Dynamics of the Cloud Cavitation and Cavitation Erosion // Nippon Kikai Gakkai Ronbunshu, B-hen. 1999. V. 65. № 634. P. 1934.
- Wang Y.-C. Effects of Nuclei Size Distribution on the Dynamics of a Spherical Cloud of Cavitation Bubbles // J. Fluids Eng. 1999. V. 121. № 4. P. 881.
- Губайдуллин А.А., Губкин А.С. Особенности динамического поведения пузырьков в кластере, вызванные их гидродинамическим взаимодействием // Теплофизика и аэромеханика. 2015. Т. 22. № 4. С. 471.
- Aganin I.A., Davletshin A.I. Dynamics of Interacting Bubbles Located in the Center and Vertices of Regular Polyhedra // J. Phys.: Conf. Ser. 2020. V. 1588. P. 012001.
- Aganin I.A., Davletshin A.I. Dynamics of Gas Bubbles Inside a Ball-like Area at the Nodes of a Uniform Cubic Mesh Under Sudden Liquid Pressure Rise // Lobachevskii J. Math. 2020. V. 41. № 7. P. 1148.
- Насибуллаева Э.Ш., Ахатов И.Ш. Исследование диффузионной устойчивости пузырьков в кластере // ПМТФ. 2007. Т. 48. № 4. С. 40.
- Nasibullaeva E.S., Akhatov I.S. Bubble Cluster Dynamics in an Acoustic Field // JASA. 2013. V. 133. № 6. P. 3727.
- Tiwari A., Pantano C., Freund J.B. Growth-and-collapse Dynamics of Small Bubble Clusters near a Wall // J. Fluid Mech. 2015. V. 775. P. 1.
- Aganin A.A., Davletshin A.I. Equations of Interaction of Weakly Non-spherical Gas Bubbles in Liquid // Lobachevskii J. Math. 2018. V. 39. № 8. P. 1047.
- Aganin I.A., Davletshin A.I. Dynamics of Spherical Gas Bubbles in a Cluster Under an Increase in the Surrounding Liquid Pressure // J. Phys.: Conf. Ser. 2021. V. 1923 P. 012010.
Дополнительные файлы









